Спорт-вики — википедия научного бодибилдинга
Список файлов
Эта служебная страница показывает все загруженные файлы.
| Дата | Имя файла | Миниатюра | Размер | Описание | Версий |
|---|---|---|---|---|---|
| 21:30, 20 октября 2016 | НМВ11.jpg (файл) | 40 КБ | Дизайн исследования (экспериментальный протокол) раздельного и совместного перорального приема НМВ и WP в отношении болезненности мышц и… | 1 | |
| 21:26, 20 октября 2016 | НМВ10.jpg (файл) | 16 КБ | Изменение абдоминальных жировых отложений (в %, по оси ординат) в четырех группах мужчин (n=48) категории 65+ после 12-недельного приема НМВ в с… | 1 | |
| 21:25, 20 октября 2016 | НМВ9.jpg (файл) | 19 КБ | Изменение тощей массы тела (ТМТ – LBM) в % от исходных величин до исследования (ось ординат) у испытуемых в процессе 12-недельного приема НМВ+… | 1 | |
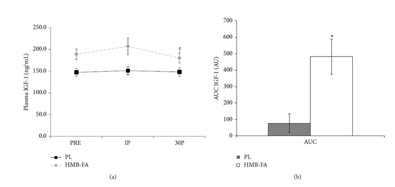
| 21:21, 20 октября 2016 | НМВ8.jpg (файл) | 24 КБ | (a) Концентрации инсулиноподобного фактора роста (IGF-1) в плазме крови испытуемых при приеме плацебо (PL) и HMB-FA до нагрузки (PRE), сразу после на… | 1 | |
| 21:21, 20 октября 2016 | НМВ7.jpg (файл) | 25 КБ | (a) Концентрации инсулина в сыворотке крови испытуемых при приеме плацебо (PL) и HMB-FA до нагрузки (PRE), сразу после нагрузки (IP) и через 30 минут… | 1 | |
| 21:20, 20 октября 2016 | НМВ6.jpg (файл) | 34 КБ | (a) Концентрации гормона роста в плазме крови испытуемых при приеме плацебо (PL) и HMB-FA до нагрузки (PRE), сразу после нагрузки (IP) и через 30 мину… | 1 | |
| 21:19, 20 октября 2016 | НМВ5.jpg (файл) | 26 КБ | Концентрации тестостерона в плазме крови испытуемых при приеме плацебо (PL) и HMB-FA до нагрузки (PRE), сразу после нагрузки (IP) и через 30 минут п… | 1 | |
| 21:19, 20 октября 2016 | НМВ4.jpg (файл) | 76 КБ | Метаболизм и гипотетические механизмы действия бета-гидрокси-бета-метилбутирата (НМВ) в контексте влияния на показатели физической гото… | 1 | |
| 21:17, 20 октября 2016 | НМВ3.jpg (файл) | 33 КБ | Предположительный механизм действия НМВ (по J.M.Wilson и соавт., 2013). Мишени для НМВ: 1) активация mTOR (от англ. mammalian target of rapamycin, имеет также другое… | 1 | |
| 21:16, 20 октября 2016 | НМВ2.jpg (файл) | 52 КБ | Метаболизм бета-гидрокси-бета-метилбутирата (НМВ) в организме (по J.M.Wilson и соавт., 2013). Остальные объяснения в тексте. | 1 | |
| 21:11, 20 октября 2016 | НМВ1.jpg (файл) | 31 КБ | Фармакокинетика двух различных форм НМВ при остром (однократном пероральном) применении в дозе 1 грамм: НМВ-FA (кислотная форма) и НМВ-Са (ка… | 1 | |
| 21:11, 20 октября 2016 | Структура НМВ.jpg (файл) | 14 КБ | 2 | ||
| 19:11, 19 октября 2016 | Nutrend2.jpg (файл) | 53 КБ | Спортивное питание Nutrend | 1 | |
| 19:10, 19 октября 2016 | Logo nutrend.jpg (файл) | 14 КБ | Спортивное питание Nutrend | 1 | |
| 18:58, 19 октября 2016 | USN-Ultimate-Sports-Nutrition.png (файл) | 4 КБ | Спортивное питание Ultimate Sports Nutrition (USN) | 1 | |
| 18:56, 19 октября 2016 | USN-Ultimate-Sports-Nutrition-logo.jpg (файл) | 26 КБ | Спортивное питание Ultimate Sports Nutrition (USN) | 1 | |
| 18:54, 19 октября 2016 | EPIQ2.jpg (файл) | 53 КБ | Спортивное питание EPIQ | 1 | |
| 18:48, 19 октября 2016 | EPIQ.jpg (файл) | 9 КБ | Спортивное питание EPIQ | 1 | |
| 16:41, 19 октября 2016 | NOW-Foods2.jpg (файл) | 51 КБ | Спортивное питание NOW Foods | 1 | |
| 16:40, 19 октября 2016 | NOW Foods.png (файл) | ![]() |
8 КБ | Спортивное питание NOW Foods | 1 |
| 16:27, 19 октября 2016 | Dynamik-muscle-logo (1).jpg (файл) | 11 КБ | Спортивное питание Dynamik Muscle | 1 | |
| 15:26, 19 октября 2016 | Grenade.jpg (файл) | 5 КБ | Спортивное питание Grenade | 1 | |
| 15:19, 19 октября 2016 | Gifted-nutrition2.jpg (файл) | 56 КБ | Спортивное питание Gifted Nutrition | 1 | |
| 15:15, 19 октября 2016 | Gifted-nutrition.jpg (файл) | 15 КБ | Спортивное питание Gifted Nutrition | 1 | |
| 15:10, 19 октября 2016 | Nature's Best2.jpg (файл) | 46 КБ | Спортивное питание Nature's Best | 1 | |
| 15:08, 19 октября 2016 | Natures best.gif (файл) | 4 КБ | Спортивное питание Nature's Best | 1 | |
| 14:51, 19 октября 2016 | VPLab2.jpg (файл) | 50 КБ | Спортивное питание VPLab | 1 | |
| 14:50, 19 октября 2016 | VPLab.jpg (файл) | 40 КБ | Спортивное питание VPLab | 1 | |
| 00:00, 19 октября 2016 | ActivLab2.jpg (файл) | 51 КБ | Спортивное питание ActivLab | 1 | |
| 23:59, 18 октября 2016 | ActivLab.png (файл) | 29 КБ | Спортивное питание ActivLab | 1 | |
| 23:29, 18 октября 2016 | Real-Pharm2.jpg (файл) | 42 КБ | Спортивное питание Real Pharm | 1 | |
| 23:29, 18 октября 2016 | Real Pharm.jpg (файл) | 5 КБ | Спортивное питание Real Pharm | 1 | |
| 23:15, 18 октября 2016 | NutraClipse2.jpg (файл) | 45 КБ | Спортивное питание NutraClipse | 1 | |
| 23:15, 18 октября 2016 | NutraClipse.jpg (файл) | 9 КБ | Спортивное питание NutraClipse | 1 | |
| 21:59, 18 октября 2016 | Kevin-Levrone-Series2.jpg (файл) | 49 КБ | Спортивное питание Kevin Levrone Series | 1 | |
| 21:59, 18 октября 2016 | Kevin-Levrone-Series.jpg (файл) | 37 КБ | Спортивное питание Kevin Levrone Series | 1 | |
| 21:28, 18 октября 2016 | Fitness-Authority2.jpg (файл) | 51 КБ | Спортивное питание Fitness Authority | 1 | |
| 21:26, 18 октября 2016 | Fitness Authority.png (файл) | ![]() |
18 КБ | Спортивное питание Fitness Authority | 1 |
| 20:36, 18 октября 2016 | Jan Tana.png (файл) | ![]() |
7 КБ | Jan Tana Corporation | 1 |
| 20:31, 18 октября 2016 | ProMera Sports Nutrition.png (файл) | 15 КБ | Спортивное питание ProMera Sports Nutrition | 1 | |
| 19:58, 18 октября 2016 | MEX-Nutrition2.jpg (файл) | 47 КБ | Спортивное питание MEX Nutrition | 1 | |
| 19:55, 18 октября 2016 | MEX Nutrition.jpg (файл) | 29 КБ | Спортивное питание MEX Nutrition | 1 | |
| 19:51, 18 октября 2016 | Npc-wear.jpg (файл) | 12 КБ | Логотип NPC Active Wear | 1 | |
| 16:31, 18 октября 2016 | Ostrovitcom2.jpg (файл) | 49 КБ | Спортивное питание OstroVit Nutrition | 1 | |
| 16:29, 18 октября 2016 | Ostrovitcom-nutrition.jpg (файл) | 11 КБ | Спортивное питание OstroVit Nutrition | 1 | |
| 16:19, 18 октября 2016 | Oh-yeah-Nutrition.jpg (файл) | 56 КБ | OhYeah Nutrition | 1 | |
| 16:13, 18 октября 2016 | OhYeah Nutrition.png (файл) | 25 КБ | OhYeah Nutrition | 1 | |
| 14:49, 18 октября 2016 | Dr-hoffman2.jpg (файл) | 41 КБ | Спортивное питание DR.Hoffman | 1 | |
| 14:42, 18 октября 2016 | DR.Hoffman.png (файл) | 6 КБ | Логотип DR.Hoffman | 1 | |
| 14:25, 18 октября 2016 | Phenbuterol-(MuscleMeds).jpg (файл) | 48 КБ | Phenbuterol (MuscleMeds) | 1 |



