АТФ: научный обзор
Содержание
- 1 АТФ как универсальный эргогенный фармаконутриент в спортивной медицине (научный обзор)
- 2 Метаболизм АТФ в организме
- 3 Фармакокинетика пероральной формы АТФ при однократном и курсовом введении у человека
- 4 Изучение эргогенных свойств пероральных пищевых добавок АТФ
- 5 Комбинированные формы АТФ с другими веществами
- 6 Заключение
- 7 Читайте также
- 8 Ссылки
АТФ как универсальный эргогенный фармаконутриент в спортивной медицине (научный обзор)[править | править код]
Авторы: д.м.н. Александр Дмитриев, врач-эндокринолог Алексей Калинчев
Известная биохимическая роль аденозин-5-трифосфата в метаболизме клеток скелетной мускулатуры как источника энергии для процессов сокращения мышечных волокон чисто теоретически предполагает возможность использования этого вещества для увеличения силы и мощности в спорте. В процессе мышечного сокращения нити актина проникают глубоко в промежутки между нитями миозина, при этом требуется энергия, которая освобождается в результате взаимодействия актомиозина с АТФ с расщеплением последнего на аденозиндифосфат (АДФ) и H3PO4, и далее - повторение цикла с образованием аденозинмонофосфата (АМФ) (подробности – в Руководствах по биохимии и физиологии спорта). Однако, такой упрощенный подход к прямой активации мышечного сокращения за счет дополнительного введения в организм АТФ, наталкивается на ряд существенных препятствий. Прежде всего, существует запрет на применение инъекционной формы АТФ (согласно антидопинговой стратегии WADA любые инъекции, кроме проводимых по специальным медицинским показаниям, незаконны). Кроме того, дозировки в фармакопейной форме ампульного раствора (1% 1 мл) настолько малы (10 мг на дозу), что не могут оказать какого-либо влияния на метаболические процессы в организме спортсмена, что косвенно подтверждается отсутствием доказательных клинических исследований для этой формы выпуска даже на раннем этапе развития спортивной нутрициологии. Формы АТФ для приема внутрь имеют гораздо большую дозировку – от 50 до 200 мг в международной практике, но очень низкую – в российской – 10-20 мг (АТФ лонг). Однако считается общепризнанным, что АТФ не может быть доставлена к мышцам, независимо от доз и пути введения, поскольку это вещество разрушается еще в желудочно-кишечном тракте до конечного продукта, и не всасывается в каком-либо заметном количестве в кровяное русло для последующей транспортировки к органам-мишеням, включая скелетную мускулатуру. На этом основании рекомендованы другие группы БАДов, которые увеличивают синтез АТФ в мышцах из разных источников. Правомерность такого подхода, казалось бы, подтверждена и в подробных фармакокинетических исследованиях АТФ при приеме внутрь у человека, выполненных в период 2010-2012 гг.
Метаболизм АТФ в организме[править | править код]
Внутриклеточная роль АТФ как источника энергии для клеток организма констатирована очень давно и подробно описана во всех руководствах по биохимии и физиологии. Однако его внеклеточные метаболические функции исследуются относительно недавно, в частности сигнальная роль за счет активации пуринергических рецепторов, имеющихся на поверхности мембран большинства типов клеток (G.Burnstock и соавт., 2012). Установлено внеклеточное участие АТФ в регуляции боли и расширении сосудов, нейромедиаторных и нейромодуляторных процессах в центральной и периферической нервной системах (J.Sawynok, M.I.Sweeney, 1989; B.S.Khakh, G. Henderson, 1998; H.J.Agteresch и соавт., 1999; H.Yajima и соавт., 2005). Имеется существенный градиент концентраций АТФ: внутриклеточная концентрация достаточно высока – 1-10 mM, внеклеточная – на очень низком уровне - 10-100 nM (M.W.Gorman, 2007). При инфузии в артериальный мышечный кровоток время полужизни АТФ составляет менее 1 секунды из-за быстрой деградации до аденозина под влиянием целого ряда ферментов. АТФ из крови первично захватывается эритроцитами (M.W.Gorman, 2007). У крыс хроническое пероральное потребление АТФ в дозе 5 мг/кг/день увеличивает концентрацию АТФ в портальной вене и поступление нуклеозидов в эритроциты, что приводит к усилению синтеза АТФ в эритроцитах (K.Kichenin, М.Seman, 2000). Таким образом, при пероральном приеме АТФ метаболический эффект развивается независимо от того, повышается или нет концентрация АТФ в кровяном русле. Аденозин, который образуется в результате метаболических превращений АТФ, также может выполнять роль сигнального вещества, взаимодействуя с пуринергическими рецепторами клеток (I.Heinonen и соавт. 2012) организма (нервные, мышечные, эндотелиальные и т.д.). Такая лабильность АТФ и его дериватов может явиться причиной некоторых важных в спортивной практике эффектов, в частности, гиперполяризации возбудимых мембран и расширения сосудов с последующим повышением кровотока через органы и ткани. Повышение кровотока способствует выведению продуктов жизнедеятельности мышц (лактат, аммиак и другие азотистые соединения), особенно при интенсивных физических нагрузках. Действие аденозина также опосредуется увеличением продукции оксида азота и уровней простациклинов в эндотелиальных клетках микрососудов (M.Nyberg и соавт., 2010). Эти изменения обеспечивают перераспределение кровотока и лучшее снабжение работающих мышц кислородом и нутриентами. Экспериментальные и клинические данные легли в основу гипотезы, что пищевые добавки АТФ (и/или аденозина) могут дать дополнительные преимущества в НМП спортсменов и лиц, ведущих активный образ жизни.
Фармакокинетика пероральной формы АТФ при однократном и курсовом введении у человека[править | править код]
Первые данные о биодоступности АТФ при пероральном приеме получены в работе A.N.Jordan и соавторов (2004). Они не выявили изменений концентрации АТФ в плазме крови при приеме АТФ в средних дозах (150 или 225 мг в день). Исследования у животных при пероральном введении АТФ в течение 30 дней также не выявили повышения концентрации этого вещества в плазме или эритроцитах (K.Kichenin и соавт., 2000a,b). Однако, что очень важно для дальнейшего обсуждения и объяснения эргогенных свойств АТФ, концентрация АТФ в плазме крови, взятой из портальной вены после введения вещества в тонкий кишечник крыс, быстро возрастала и превысила базовые значения в 1000 раз ! (K.Kichenin и соавт., 2000b). Прямое внутривенное введение АТФ (H.J.Agteresch и соавт., 2000) путем продолжительной инфузии также приводит к дозо-зависимому повышению концентрации АТФ в эритроцитах, достигавшее 60% от базовых значений через 24 часа. Более поздняя работа (M.Pastor-Anglada и соавт., 2007), посвященная идентификации кишечных транспортеров нуклеозидов, подтвердила предположение о возможности перорально введенного АТФ абсорбироваться и утилизироваться организмом человека.
Детальная оценка фармакокинетики АТФ в широком диапазоне доз при пероральном приеме у человека проведена международной научной группой из Голландии и Бельгии (Е.J.Coolen и соавт., 2008; Е.J.Coolen, 2011; Е.J.Coolen и соавт., 2011; I.C.Arts и соавт., 2012).
Фармакокинетика АТФ при однократном пероральном приеме у человека[править | править код]
I.C.Arts и соавторы (2012) выполнили рандомизированное плацебо-контролируемое перекрестное исследование (n=8) пищевых добавок АТФ при однократном назначении в дозе 5 г. Использовались три типа кишечно-растворимых таблеток (пеллеты): 1) с целевым высвобождением АТФ в проксимальном отделе тонкого кишечника; 2) с целевым высвобождением АТФ в дистальном отделе; 3) плацебо с высвобождением в проксимальном отделе. В течение 14 дней каждый испытуемый получал однократно в нулевой, 7-ой и 14-ый дни добавки в такой последовательности: 5 г АТФ проксимального назначения; 5 г АТФ дистального назначения; 5 г плацебо. Прием добавок осуществлялся в 200 мл воды с pH<5 за счет добавления небольшого количества лимонной кислоты. На 21-й и 28-ой дни испытуемые получали последовательно 5 г АТФ в 100 мл воды (30 ± 4°C), или только 100 мл воды (плацебо) через назодуоденальный зонд. Основной целью работы было определение биодоступности АТФ после целевой доставки в тонкий кишечник в высокой дозе 5000 мг (55,6-83,3 мг/кг). Ни в одном случае не выявлено изменений концентрации АТФ в крови, что согласуется с результатами подавляющего большинства ранее выполненных исследований. К сожалению, для человека нет неинвазивного способа определения концентрации АТФ в портальной венозной системе, где в эксперименте выявлено тысячекратное ее повышение после энтерального введения АТФ. При внутривенном введении у человека в диапазоне доз от 36 до 108 мг/кг в день наблюдается существенное (до 60% от исходных величин) повышение концентрации АТФ в системном кровотоке (C.M.Haskell и соавт., 1996; H.J.Agteresch и соавт., 2002). Из всех метаболитов АТФ только в отношении мочевой кислоты наблюдалось значительное возрастание концентраций в крови в зависимости от используемой формы АТФ (рис.2). Рост концентраций в крови был статистически значимым при приеме пеллет с высвобождением АТФ в проксимальных отделах тонкого кишечника и введении АТФ через назо-дуоденальный зонд, но не пеллет с дистальным высвобождением АТФ. Под влиянием комплекса ферментов, локализующихся на наружной (кишечной) поверхности мембран энтероцитов, происходит последовательное и быстрое разрушение АТФ сначала до АДФ и далее до АМФ, а АМФ, в свою очередь метаболизирует до аденозина (G.R.Strohmeier и соавт., 1997).
Исходя из введенной дозы, распределения АТФ во внеклеточной жидкости и расчетного количества образующейся из АТФ мочевой кислоты (5000 мг – 9,06 ммол мочевой кислоты), условная «биодоступность» АТФ оценена авторами исследования как 16,6 ± 2,3% для назо-дуоденального пути введения, 14,9 ± 2,5% для пеллет с проксимальным высвобождением АТФ, и 3,2 ± 0,6% - для пеллет с дистальным высвобождением.
Авторы сделали заключение, что однократный пероральный прием АТФ не обеспечивает необходимую биодоступность этого вещества. Наблюдаемое 50% повышение концентрации в крови мочевой кислоты подтверждает тот факт, что АТФ или один из его метаболитов абсорбируется в кишечнике, но при этом немедленно подвергаются ферментативному расщеплению. Мочевая кислота обладает определенными фармакологическими эффектами, которые требуют специального изучения. В то же время, данное фармакокинетическое исследование проведено без сопутствующих физических нагрузок, что не позволяет осуществить прямую экстраполяцию данных, полученных в условиях покоя, на регулярно тренирующихся лиц.
Фармакокинетика АТФ при курсовом пероральном приеме у человека[править | править код]
Следующим этапом работы стало изучение биодоступности АТФ при курсовом применении. В рандомизированном исследовании у 32 здоровых лиц (E.J.Coolen и соавт., 2011) использовались дозы АТФ 0 (контроль), 250, 1250 и 5000 мг/день в виде кишечно-растворимых таблеток (пеллет). Дополнительно в день начала исследования и на 28 день все 32 испытуемых получали 5 г АТФ для определения адаптационных изменений в биодоступности АТФ. Четыре недели приема АТФ не привели к каким-либо изменениям концентрации АТФ в крови и плазме. Из всех метаболитов АТФ, как и в случае с однократным приемом этого вещества, наблюдалось повышение в крови концентраций только мочевой кислоты (рис.3). Как видно из представленных графиков, в группе, получавшей плацебо (А), тестировочная доза 5000 мг как в первый день, так и в последний день курса, вызывала одинаковые количественные изменения концентрации мочевой кислоты (максимум +30%) практически на всех временных отрезках (30-420 мин). Те же закономерности, включая абсолютные значения прироста, прослеживаются и в группах с курсовым назначением АТФ в дозах 250 мг/день и 1250 мг/день (В и С, соответственно). Однако, в группе с курсовым приемом высокой дозы АТФ – 5000 мг/день (рис.3D), - количественные изменения концентрации мочевой кислоты на 27 день курса, после введения тестировочной дозы АТФ, были примерно в 2 раза ниже, чем в первый день исследования. Это свидетельствует, что к высоким дозам АТФ постепенно развивается устойчивость, природа которой требует дальнейшего анализа. Вместе с тем, анализ биохимических показателей функции печени и почек подтвердил безопасность применения дозы АТФ 5000 мг в течение 28 дней.
Таким образом, фармакокинетические исследования перорального приема АТФ в широком диапазоне доз (250-5000 мг/день) нетренированными людьми без сопутствующих физических нагрузок не показали повышения концентраций АТФ, АДФ и АМФ в цельной крови и плазме как при однократном, так и при курсовом использовании. В процессе абсорбции в кишечнике происходит деградация АТФ до аденозина. В крови нарастает концентрация мочевой кислоты примерно на 30% от исходных величин. В экспериментальных условиях имеет место многократное увеличение концентрации АТФ в портальной вене при энтеральном введении АТФ.
Изучение эргогенных свойств пероральных пищевых добавок АТФ[править | править код]
Эргогенные свойства пищевых добавок АТФ проявляются исключительно при курсовом приеме, начиная с дозы 400 мг в сутки, и в комбинации с постоянными силовыми тренировочными нагрузками. Более низкие дозы (150-225 мг/день в виде кишечно-растворимых таблеток), как уже отмечалось выше, даже при курсовом приеме в течение 15 дней не улучшают показатели в таких упражнениях как жим лежа или Wingate-тест (выносливость, пик средней мощности). Так, в рандомизированном двойном слепом исследовании у 27 здоровых мужчин A.N.Jordan и соавторы (2004) оценили влияние перорального приема двух разных доз АТФ (низкая – 150 мг, и средняя – 225 мг) в виде таблеток, покрытых оболочкой (для предотвращения распада в желудке и абсорбции в кишечнике), на концентрацию АТФ в плазме крови и цельной крови, анаэробную мощность в двух Wingate-тестах (30 секунд) и мышечную силу (1RM и три сета повторений до развития усталости при 70% 1RM). Все показатели регистрировались при следующих условиях: 1) базовые значения; 2) однократное 7-дневное наблюдение без предварительного приема АТФ и через 75 минут после приема АТФ; 3) через 14 дней ежедневного приема АТФ. Статистический анализ не выявил различий между и внутри групп испытуемых в отношении концентраций АТФ в крови и плазме, показателей в Wingate-тесте, включая потребление кислорода, общую выполненную работу, накопление лактата и параметры мышечной силы. Единственными, но важными, положительными изменениями было достоверное увеличение на 18,5% числа повторений до развития усталости и на 22% - общий поднимаемый вес при выполнении силовых упражнений. Авторы сделали заключение, что АТФ при однократном пероральном приеме в диапазоне доз 150-225 мг/день обладает слабым эргогенным эффектом в отношении мышечной силы.
За период с 2010 по 2016 годы в Университете г.Тампа (Флорида, США) проведена последовательная серия исследований эргогенных свойств пероральной формы АТФ. Высокие дозы АТФ (400 мг/день в течение 15 дней) в виде динатриевой соли без покрытия специальной оболочкой повышают нижние границы максимального крутящего момента в последних двух подходах при выполнении динамометрического теста (J.A.Rathmacher и соавт., 2012) и увеличивают посттренировочный кровоток в дозе 400 мг в виде динатриевой соли АТФ при назначении в течение 12 недель (R.Jager и соавт., 2014). Полученные данные дают серьезные основания полагать, что пероральное применение АТФ может снижать мышечную усталость и включать механизмы повышения силы при повторяющихся циклах высокоинтенсивных нагрузок.
В 2012 году J.A.Rathmacher и соавторы провели рандомизированное двойное-слепое плацебо-контролируемое перекрестное исследование у 8 мужчин и 8 женщин (возраст 21-34 года). Пищевые добавки АТФ (капсулы динатриевой соли АТФ по 200 мг, Peak ATP® производства TSI Inc., Missoula, MT, США) в суточной дозе 400 мг (2 капсулы) принимались участниками 15 дней. После недели «отмывочного» периода повторялся 15-дневный цикл приема плацебо. После каждого цикла приема добавок осуществлялось тестирование на силу и выносливость, а также взятие образцов крови для исследования. Само тестирование состояло из трех циклов (сетов) по 50 разгибаний в коленном суставе на ножном динамометре, вызывающих усталость, с перерывом в 2 минуты между циклами. Участники были инструктированы осуществлять разгибания с максимальным усилием со скоростью 120 градусов в секунду. Регистрировалось максимальное значение крутящего момента. Высокое значение этого показателя – максимальная сила, генерируемая в процессе каждого из 50 разгибаний; низкое значение – самый минимальный крутящий момент из 10 последних разгибаний в цикле. Оценивались также в каждом цикле из 50 движений средняя мощность и выполненная работа. Процент усталости рассчитывался как процент снижения высокого крутящего момента к низкому, а также как процент снижения работы за первую треть цикла к снижению аналогичного показателя за последнюю треть цикла из 50 движений. Полученные результаты представлены на рис.4. На фоне АТФ не происходило изменений максимального крутящего момента при его высоких значениях (рис.4А). Главными положительными эффектами пищевых добавок АТФ было возрастание максимального крутящего момента при его низких значениях (рис.4В) и снижение усталости (рис.4С). Математический анализ показал большую эффективность АТФ во 2 и 3-ем сетах, т.е. по мере накопления усталости. При этом, однако, не происходило изменения средней мощности и общего объема выполненной работы. Биохимия и клеточный состав крови несколько отличались в группе с АТФ и плацебо, но эти различия трудно связать с изменениями других клинических показателей. На основе полученных данных авторы сделали заключение, что пищевые добавки АТФ в дозе 400 мг в день в течение 15 дней способствуют снижению мышечной усталости и повышают показатели выполнения повторяющихся циклов истощающих физических упражнений за счет улучшения выполнения низкоэффективных движений. Это может приводить к повышению общего уровня физической подготовки.
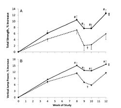
Следующей работой, которая, пожалуй, внесла решающий вклад в признание эргогенного действия перорального приема высоких доз АТФ, стало рандомизированое двойное-слепое плацебо-контролируемое и дието-контролируемое исследование в параллельных группах из 24 участников (средний возраст 24 года), проведенное J.M.Wilson и соавторами в 2013 году. Протокол 12-недельного исследования состоял из трех фаз. Первая фаза продолжалась 8 недель и включала силовые тренировки три раза в неделю по модифицированной методике W.J.Kraemer и соавторов (2009). Вторая фаза длилась две недели (9 и 10) и включала циклические возрастающие нагрузки. Третья фаза (11 и 12 недели) характеризовалась снижением нагрузок. Мышечная масса и состав тела тестировались до начала приема пищевых добавок, а также в конце 4, 8 и 12 недель. Мышечная сила и мощность вертикальных прыжков, пик мощности в Wingate-тесте, креатин-киназа, С-реактивный белок, свободный и общий тестостерон, субъективное ощущение восстановления тестировались до приема добавок, а также в конце 4, 8, 9, 10 и 12 недель после приема. Полученные результаты отражены в таблице 1 и на рисунке 5.
Таблица 1. Основные результаты рандомизированного двойного-слепого-плацебо-контролируемого исследования эргогенных свойств курсового 12-недельного перорального применения АТФ в дозе 400 мг/день (по J.M.Wilson и соавт., 2013).
|
Регистрируемый показатель |
Полученные изменения |
|
Изменение силы мышц |
Увеличение мышечной силы в первую фазу исследования (1-8 недели) под влиянием тренировок в обеих группах (плацебо и АТФ), однако в АТФ-группе оно было в 2-3 раза выше (по разным показателям 12,9%-16,4%), чем в группе плацебо (4,4%-8,5%). Во вторую циклическую фазу (9-10 недели) АТФ предупреждает временное снижение мышечной силы (в 2,5 раза). Увеличение суммарных показателей силы мышц за 12 недель составило в АТФ-группе 12,6% (55,3=6 кг), в плацебо-rpvime - 5,9% (22.4±7.1 кг) |
|
Изменение мощности мышц |
Повторяет в целом динамику- изменения силы мышц в обеих группах. За 12-недельный период увеличение мышечной мощности составило в АТФ-группе 15,7% (796 ± 75 ватт), в плацебо-группе - 11.6% (614 ± 52 ватт) |
|
Состав тела и мышечная гипертрофия |
Увеличение тощей (мышечной) массы тела (ТМТ) в обеих группах, с преобладанием в АТФ-группе по сравнению с плацебо (4=0,4 кг и 2,1±0,5 кг, соответственно). Увеличение толщины четырехглавой мышцы бедра в группе АТФ составило 9.4% (4,9=1 мм), в плацебо-группе - 4.9% (2,5=0,6 мм). |
|
Повреждения мышц |
АТФ не изменял повышенные уровни креатин-киназы в ходе тренировок, но значительно снижал деградацию протеинов на 9-10 неделе тренировок (возросшие нагрузки). |
|
Гормональный статус |
АТФ не изменял гормональные сдвиги, характерные для физических нагрузок |
|
Восстановление |
АТФ улучшает субъективные ощущения восстановления на поздних стадиях (10-12 недели) тренировочного цикла. |
|
Изменения клеточного и биохимического состава крови как показатель безопасности применения |
Не отмечено изменений биохимии и клеточного состава крови на фоне 12-недельного приема АТФ, которые могли бы быть расценены как побочные и или нежелательные. |
Подводя итог выполненным исследованиям, авторы делают заключение о несомненном наличии универсального эргогенного действия высоких доз АТФ (400 мг/день) при курсовом 12-недельном назначении в сочетании с высокоинтенсивными силовыми регулярными нагрузками. Эргогенный эффект включает повышение силы и мощности скелетных мышц, гипертрофию мышечных волокон, торможение распада белка (антикатаболическое действие) под влиянием физических нагрузок, снижение субъективного чувства усталости на поздних стадиях действия нагрузочного фактора. Применение высоких доз АТФ длительное время (14 дней – 12 недель) не только эффективно, но и безопасно.
Именно после окончания исследования J.M.Wilson и соавторов произошло окончательное маркетинговое позиционирование готовых коммерческих форм АТФ (патентованная формула PEAK ATP®, TSI США, Inc., Missoula, MT), которое выглядит примерно так: 1) увеличение мышечной силы (суммарный поднимаемый вес +55,3 кг против +22,4 кг для плацебо); 2) увеличение на 30% мощности мышц по сравнению с плацебо (796 ватт против 614 ватт для плацебо); 3) увеличение мышечной массы тела (4 кг по сравнению 2,1 кг для плацебо); 4) Увеличение толщины мышц (4,9 мм против 2,5 мм для плацебо, соответственно); 5) снижение катаболизма. Форма выпуска и дозирование: разовая доза 200 мг за 30-60 минут до начала тренировки в течение 12 недель.
Основываясь на вышеприведенных исследованиях, и сформулированной гипотезе о внеклеточном сигнальном механизме действия АТФ, M.Purpura и соавторы (2017) изучили влияние курсового приема пищевых добавок АТФ на уровни АТФ после физической нагрузки и концентрации его метаболитов, а также связанные изменения показателей работы мышц и ментальные функции в ответ на циклы повторяющихся спринтов у человека. Рандомизированное двойное-слепое плацебо-контролируемое исследование выполнено на 42 здоровых физически активных мужчинах (тренировки не менее 3-х раз в неделю на протяжении последних 6 месяцев) в возрасте от 18 до 30 лет. Участники имели фиксированную диету: 1) 15–20% протеина, 45–55% углеводов и 25–30% жиров; 2) не принимали пищевых добавок, обладающих эргогенным действием, включая аминокислоты; 3) не принимали анаболические или катаболические гормоны. Прием пищевых добавок динатриевой соли АТФ в дозе 400 мг/день (коммерческая патентованная формула PEAK ATP, TSI USA, Inc., Missoula, MT) или плацебо (400 мг на основе рисовой муки) осуществлялся в течение 14 дней за 30 минут до нагрузочного тестирования (цикл спринтов). Протокол нагрузочного спринта велся по методике, описанной в работе А.Mendez-Villanueva и соавторов (2007), при которой происходило последовательное снижение возбудимости скелетных мышц по мере выполнения десяти 6-секундных спринтов на велотренажере (велоэргометрия) с 30-секундными периодами отдыха между спринтами. Мышечная активация и возбудимость измерялись путем определения средней электрической активности мышц в мВ. Электромиографические датчики размещались над областью четырехглавой мышцы бедра. Образцы венозной крови для определения АТФ и его метаболитов брались в начале исследования (базовый показатель, день 0), через 15 дней после приема добавок АТФ (исходный уровень до нагрузки), через 30 минут после последнего приема АТФ и сразу после нагрузки. Основные результаты работы представлены суммарно в таблице 2 и рис. 6 и 7.
Таблица 2. Основные результаты исследования M.Purpura и соавторов (2017)
|
Регистрируемый показатель |
Полученные изменения |
|
Концентрация метаболитов в крови |
Между АТФ-группой и плацебо нет различий в концентрации метаболитов до периода приема добавок АТФ, после 15 дней приема в состоянии натощак и через 30 мин после приема АТФ в последний день. Ковариантный анализ показал, что постнагрузочные уровни АТФ, АДФ и АМФ в плазме крови были выше в АТФ-группе по сравнению с плацебо, а в плацебо-группе показатели АТФ и АДФ даже снижались по сравнению с базовыми значениями (рис.6). |
|
Изменения мощности в Wingate-тесте |
АТФ предотвращает падение показателей выполнения Wingate-теста в поздних (с 8 по 10) повторах спринта по сравнению с плацебо |
|
Мышечная активация и мышечная возбудимость |
АТФ предотвращает падение возбудимости мышц, наблюдаемое при выполнении Wingate-теста в поздних (с 8 по 10) повторах спринта по сравнению с плацебо (рис.7). |
|
Время реакции и мощность вертикальных прыжков |
Между АТФ-группой и плацебо-группой нет различий в динамике времени реакции и мощности прыжков (средние значения трех попыток) |
На основании полученных результатов авторы сделали заключение, что 14-дневный пероральный прием АТФ в дозе 400 мг/день увеличивает посттренировочные уровни в организме АТФ, АДФ и АМФ, улучшает показатели выполнения повторяющихся спринтов. Эти эргогенные эффекты дополняются снижением чувства усталости, вызываемого спринтерским циклом упражнений. На начальных (ранних) стадиях нагрузки АТФ повышает возбудимость мышц, а на поздних стадиях (в конце нагрузочного периода) - предотвращает ее снижение. Такие свойства пероральной формы АТФ могут иметь наибольшее практическое значение в игровых видах спорта (например, хоккей, баскетбол, футбол и т.д.).
Отчетливые эргогенные свойства АТФ при приеме внутрь, подтвержденные в серии доказательных исследований самого высокого уровня, на первый взгляд, контрастируют с результатами фармакокинетических исследований (см. выше). И если при внутривенном введении АТФ получено значимое повышение уровней этого вещества в крови (E.Rapaport и соавт., 2015), то пероральная форма АТФ, включая кишечно-растворимые таблетки (не подвергаются ферментативному расщеплению в желудке) продемонстрировала крайне слабую биодоступность в условиях покоя (I.C.Arts и соавт., 2012; E.J.Coolen и соавт., 2011). В то же время, хотя системного возрастания АТФ в покое и не было выявлено, курсовой прием АТФ многократно увеличивал концентрацию АТФ в портальной вене и поступление нуклеозидов в эритроциты. Следствием было увеличение синтеза АТФ в эритроцитах (K.Kichenin, M.Seman, 2000), независимое от изменений системного содержания АТФ. Таким образом, неоспорим факт того, что пищевые интервенции АТФ приводят к усилению внутриклеточного синтеза эритроцитарного АТФ при неизменности его системной концентрации в плазме крови при отсутствии физической нагрузки. Следовательно, постоянное экзогенное поступление АТФ через ЖКТ имеет непрямое активирующее влияние (опосредованный механизм) на функцию эритроцитов. Этот механизм вполне способен поддерживать плазменные концентрации АТФ в условиях гипоксии, развивающейся при высокоинтенсивных тренировках. Было высказано предположение, что прием внутрь АТФ приводит к быстрой метаболизации, последующему увеличению синтеза АТФ в эритроцитарном пуле (E.Rapaport, J,Fontaine, 1989a,b) и потенциально, к предотвращению падения уровней АТФ в процессе физических нагрузок. Эта схема достаточно удовлетворительно объясняет, на сегодняшний день, эргогенные свойства пероральной формы АТФ.
Данные экспериментальных и клинических исследований, имеющиеся на сегодняшний день, предполагают следующую трактовку механизма действия пероральной формы АТФ при курсовом назначении: 1) в процессе прохождения различных отделов ЖКТ АТФ подвергается быстрой деградации с образованием аденозина и неорганических фосфатов, которые затем абсорбируются в тонком кишечнике, поступают в систему портальной вены и включаются в пул АТФ печени (K.Kichenin и соавт., 2000b); 2) отсутствие биодоступности самой АТФ при пероральном введении в состоянии покоя (без физических нагрузок), выявленное в фармакокинетических исследованиях, не исключает наличие непрямого механизма стимуляции эндогенного синтеза АТФ, который включается при интенсивной физической нагрузке (скрытая кумуляция резервов АТФ в возбудимых органах и тканях, включая скелетную мускулатуру). В пользу такого объяснения говорит и факт колоссального по величине возрастания концентрации АТФ в системе портальной вены и поступления нуклеозидов в эритроциты в эксперименте при пероральном приеме АТФ, с последующим возрастанием синтеза АТФ в эритроцитах, независимо от колебаний (или отсутствия таковых) концентраций АТФ в плазме крови. Надо также понимать, что, в отличие от экспериментальных условий, при исследовании у человека нет возможности определить концентрации АТФ в системе портальной вены. Поэтому курсовой пероральный прием АТФ может опосредованно увеличивать синтез АТФ в эритроцитах без повышения системной концентрации АТФ в плазме крови в покое. Гипоксия, создаваемая в организме при интенсивных физических нагрузках, является триггером этих биохимических процессов. АТФ и его метаболиты могут стимулировать внутриклеточные пути синтеза АТФ путем взаимодействия со специфическими АТФ- или аденозиновыми рецепторами на поверхности мембран клеток, имеющими сигнальную функцию (I.Heinonen и соавт., 2012). Другим потенциальным механизмом, менее вероятным с нашей точки зрения, является образование в процессе метаболизма АТФ мочевой кислоты, обладающей антиоксидантными свойствами.
Комбинированные формы АТФ с другими веществами[править | править код]
Изученность действия высокодозной формы АТФ для приема внутрь при физических нагрузках, доказанность ее универсальных эргогенных эффектов, определили возможность комбинированного применения АТФ с другими фармаконутриентами и создания коммерческих комбинированных составов.
АТФ+НМВ[править | править код]
Оценка комбинированного применения АТФ и бета-гидрокси-бета-метилбутирата (НМВ) было произведена и опубликована в двух последовательных работах в той же лаборатории, что и исследование курсового применения АТФ в отдельности (J.M.Wilson и соавт., 2013). R.P.Lowery и соавторы (2013, 2016) провели трехфазное (описание см. выше в разделе «Изучение эргогенных свойств пероральных пищевых добавок АТФ») рандомизированное двойное-слепое плацебо-контролируемое и дието-контролируемое исследование эффекта 12-недельного приема HMB-FA (свободная кислотная форма НМВ), ATФ в отдельности, а также их комбинации на тощую (мышечную) массу тела (ТМТ), силу и мощность у тренированных лиц (спортсмены), включая условия запредельных нагрузок. Дневные дозы фармаконутриентов составили: НМВ-FA – 3 г., Peak ATP® - 400 мг, а комбинация соответствовала сумме этих доз. Как и при исследовании АТФ в отдельности, 1-ая фаза – 8 недель – включала силовые периодические тренировки, 2-ая фаза – 2-недельные предельные циклические нагрузки возрастающей интенсивности и частоты, 3-я фаза – 2-недельные тренировки с линейным снижением по объему и частоте (выход). Оценка мышечной массы, силы и мощности производилась на нулевой, 4-ой, 8-ой и 12 неделях как показателей эффекта хронического приема АТФ, а на 9 и 10 неделях – как показателей эффективности АТФ в условиях гипернагрузок. Выявлено, что прирост мышечной силы за 12 недель приема пищевых добавок в сочетании с тренировками составляет следующий ряд (от максимального эффекта к минимальному) со статистически достоверной разницей (Р<0,05): 1) АТФ+НМВ-FA > 2) НМВ-FA > 3) АТФ > плацебо. В процессе 2-х недельных (9 и 10 недели) предельных циклических нагрузок максимальное падение силы зарегистрировано в группе с плацебо (-4,5%) group, и несколько меньше – в группах с АТФ в отдельности (-2%) и HMB-FA (-0,5 %) в отдельности. Самое удивительное, что в группе с комбинированным приемом АТФ+НМВ мышечный рост продолжался и в этот период (+1,2%). Это явление – продолжение роста мышечной силы в условиях сверхвысоких нагрузок, - никогда ранее не наблюдался при раздельном использовании нутраболиков (например, в ранее выполненной работе J.M.Wilson и соавторов, 2013). Как правило, отмечалось лишь замедление падения силы, но не ее рост. По прошествии всего 12-недельного периода приема пищевых добавок отмечено достоверное повышение мощности вертикальных прыжков с сохранением той же последовательности: максимум в группе с комбинацией АТФ+НМВ-FA (синергичность эффектов), далее – НМВ-FA, еще меньше – АТФ, и минимальный эффект в группе с плацебо. В процессе 2-х недельных (9 и 10 недели) предельных циклических нагрузок снижение мощности вертикальных прыжков имело обратную последовательность: максимум снижения в плацебо-группе (5,0±0,4%), и далее - HMB-FA, ATФ и HMB-FA+ATФ (в пределах 2%). Тощая (мышечная) масса за 12-недельный период исследования достоверно увеличилась в группе с плацебо на 2,1±0,5 кг, группе HMB-FA – на 7,4±0,4 кг, группе АТФ – на 4,0 ±0,4 кг, группе HMB-FA+ATP - на 8,5±0,8 кг (Р< 0,05). Процент жира в теле снизился только в группе с НМВ. Авторы сделали заключение, что HMB-FA и ATФ увеличивают тощую массу тела и силу мышц при раздельном приеме, а в комбинации проявляют отчетливый синергизм как в условиях стандартных силовых нагрузок, так и, особенно, при предельных циклических нагрузках.
Во второй, более поздней публикации с использованием того же дизайна исследования (R.P.Lowery и соавт., 2016), с одной стороны, подтверждены ранее выявленные закономерности положительного полимодального эргогенного действия комбинации НМВ-FA+АТФ (3 г/день и 400 мг/день, соответственно, в течение 12 недель), с другой – уточнены параметры влияния на показатели физической готовности. Увеличение ТМТ составило 12,7% (Р<0,001), прирост силы – 23,5% (Р<0,001). Показатели мощности при выполнении вертикальных прыжков и Wingate-теста увеличивались по сравнению с плацебо на 21,5% и 23,7%, соответственно. Подтвержден и продолжающийся рост мышечной силы под влиянием НМВ-FA+АТФ в условиях тренировок на предельной мощности. Таким образом, исследования большой группы авторов в течение четырех лет позволили сделать заключение о том, что комбинированное применение НМВ-FA (3 г/день) и АТФ (400 мг/день) в течение 12 недель у тренированных спортсменов высокого уровня в сочетании с силовыми постоянными тренировками увеличивает тощую массу тела, силу и мощность скелетных мышц. Эти эффекты дополняются способностью данной комбинации препятствовать падению мышечной силы и даже обеспечивать ее дальнейший рост в условиях предельных физических цикловых нагрузок. Эргогенные свойства комбинации НМВ-FA и АТФ могут быть использованы в тренировочной и соревновательной деятельности профессиональных спортсменов и военнослужащих частей специального назначения. На комбинацию НМВ и АТФ в широком диапазоне доз (0,5 – 30 г и 0-80 г, соответственно), с разными химическими формами и путями введения получен патент США WO 2014040067 A1 (United States Patent Application Serial No. 61/698,919, filed September 10, 2012) на состав и метод(ы) повышения физической готовности у животных и человека, включая увеличение силы, мощности, выносливости, предупреждения снижения таковых при физических нагрузках разной интенсивности.
АТФ+ВСАА[править | править код]
Коммерческая комбинация создана и анонсирована в апреле 2016 года на основе пищевых добавок ВСАА и АТФ. Компонент ВСАА содержит наиболее распространенное соотношение лейцина, изолейцина и валина 2:1:1 и АТФ в дозе 400 мг на одну порцию. Смесь сертифицирована компанией Klean Athlete™ в NSF-лаборатории в качестве добавки для спортивного питания. Одна порция смеси (8,6 г) содержит 2,5 г углеводов, 2 г лейцина, по 1 г изолейцина и валина, и 400 мг АТФ. Порция перед приемом растворяется в 200-250 мл воды и, как пишут производители, принимается за 30 минут до тренировки (хотя, с научной точки зрения, рекомендуемый 12-недельный курсовой прием смеси, не предполагает сиюминутного эффекта и не должен быть связан с тренировочным процессом). Оба компонента обладают эргогенным действием при курсовом назначении в отдельности. Однако в открытой печати нами не найдено исследований такой комбинации в спорте, и на сегодняшний день она имеет теоретическое обоснование.
АТФ+пропионил-L-карнитин[править | править код]
Коммерческая комбинация на основе производного L-карнитина (пропионил-L-карнитин – PLC - коммерческое название Glyco-Carn®,) (см. обзор по L-карнитину в спортивной медицине) и АТФ. Биохимические исследования показали, что PLC может корригировать дисбаланс между продукцией и утилизацией АТФ, увеличивать уровень АТФ в организме, включая сердечную мышцу. 1 доза (капсула) комбинированного продукта с коммерческим названием «Peak ATP® with GlycoCarn®» содержит: GlycoCarn® - 500 мг; PEAK ATP® - 100 мг. Производителем рекомендован прием 1 капсулы 2 раза в день натощак. В то же время, как отмечалось выше, эффективная доза АТФ составляет не менее 400 мг/день, на что следует обратить внимание тренеров, спортсменов и врачей.
Готовые формы АТФ с электролитами[править | править код]
Коммерческая готовая к употреблению смесь AIM Peak Endurance® создана на основе все той же формы АТФ - PEAK ATP®. Готовая смесь содержит основные электролиты (натрий, калий, хлор, кальций, магний, фосфор) с добавлением витаминов С, B1, B2, B3, B5, B6 и B12 (две порции обеспечивают рекомендованную суточную потребность). Этот порошкообразный состав соответствует современным требованием к полиионным растворам для возмещения потерь воды и электролитов в процессе тренировок и соревнований (компенсация не только натрия, калия и хлора) (см. обзор «Спортивные напитки»). Кроме того, магний является ключевым катионом для адекватного включения АТФ в энергетические процессы вне- и внутри клеток организма. Каждая порция AIM Peak Endurance® содержит 200 мг АТФ, таким образом две рекомендованные порции в день обеспечивают требуемые для эргогенного действия 400 мг АТФ. Производитель рекомендует прием смеси 2 раза в день на пустой желудок с разведением в воде (от 100 до 200 мл на порцию 8,33 г). Стандартная доза 300 г смеси (упаковка) после разведения дает в среднем 21 л готового напитка.
Заключение[править | править код]
АТФ (аденозин-5-трифосфат) – известное вещество в метаболизме клеток организма, включая скелетную мускулатуру, является источником энергии. Теоретически предполагается возможность использования экзогенного введения АТФ для увеличения силы, мощности и выносливости в спорте (эргогенный эффект).
Однако, биохимические процессы, происходящие после перорального приема АТФ, приводят к быстрой деградации этого соединения с образованием последовательно АДФ, АМФ и аденозина. Фармакокинетические исследования приема АТФ в экспериментальных и клинических условиях в широком диапазоне доз (250-5000 мг/день) нетренированными людьми без сопутствующих физических нагрузок не показали повышения концентраций АТФ, АДФ и АМФ в цельной крови и плазме как при однократном, так и при курсовом использовании в состоянии покоя (без физических нагрузок). В процессе абсорбции в кишечнике происходит деградация АТФ до аденозина. В крови нарастает концентрация только одного из метаболитов АТФ - мочевой кислоты. С другой стороны, в эксперименте энтеральный прием АТФ многократно увеличивает концентрацию АТФ в портальной вене.
Серия рандомизированных двойных-слепых плацебо- и дието-контролируемых исследований эргогенного действия пищевых добавок АТФ (кишечно-растворимые таблетки) за период 2012-2016 годов позволила сделать следующие выводы:
- Эргогенные свойства пищевых добавок АТФ проявляются исключительно при курсовом приеме, начиная с дозы 400 мг в сутки, и в комбинации с постоянными силовыми тренировочными нагрузками. АТФ при однократном пероральном приеме в диапазоне доз 150-225 мг/день обладает слабым эргогенным эффектом в отношении мышечной силы.
- Пищевые добавки АТФ в дозе 400 мг в день в течение 15 дней способствуют снижению мышечной усталости и повышают показатели выполнения повторяющихся циклов истощающих физических упражнений за счет улучшения выполнения низкоэффективных движений. Это может приводить к повышению общего уровня физической подготовки.
- Эргогенный эффект курсового 12-недельного приема АТФ в дозе 400 мг/день в сочетании с высокоинтенсивными силовыми регулярными нагрузками носит универсальный характер: повышение силы и мощности скелетных мышц (от 30% и выше); гипертрофия мышечных волокон; торможение распада белка под влиянием физических нагрузок; снижение субъективного чувства усталости на поздних стадиях действия нагрузочного фактора; увеличение посттренировочного кровотока в скелетных мышцах, что может служить причиной уменьшения мышечной усталости и предотвращения снижения силы мышц при повторяющихся циклах высокоинтенсивных нагрузок.
- На начальных (ранних) стадиях нагрузки пищевые добавки АТФ повышают возбудимость мышц, а на поздних стадиях (в конце нагрузочного периода) - предотвращают ее снижение. Такие свойства пероральной формы АТФ могут иметь наибольшее практическое значение в игровых видах спорта (например, хоккей, баскетбол, футбол и т.д.).
- Применение высоких доз АТФ при курсовом применении сроком от 14 дней до 12 недель не только эффективно, но и безопасно.
- Эргогенный эффект приема пищевых добавок АТФ развивается не в результате повышения уровня АТФ в крови за счет внешнего источника, а по причине включения и прогрессивного нарастания синтеза эндогенного АТФ как ответа на биохимические сигналы с рецепторов наружной поверхности мембраны клеток. Такой сигнальный механизм стимуляции синтеза эндогенной АТФ носит полимодальный характер и, теоретически, может включать: 1) известную в научной литературе «gut-muscle axis» (ось кишечник- скелетная мускулатура) – концепцию, при которой процессы, происходящие в кишечнике, нейро-гуморальным путем активируют/тормозят тканевые метаболические процессы, включая энергетические в мышечных волокнах; 2) активацию метаболитами АТФ пуринергических рецепторов на мембране мышечных клеток, увеличение при курсовом приеме АТФ внутриклеточных процессов синтеза нуклеотидов, ускорение анаболических реакций. Реализация данных пусковых механизмов происходит только в условиях интенсивной физической нагрузки со всеми сопутствующими ей физиологическими и биохимическими сдвигами (гипоксия, сенсибилизация ряда рецепторных процессов и т.д.).
- Универсальный характер эргогенного действия пищевых добавок АТФ послужил основой для создания комбинированных форм АТФ с другими фармаконутриентами (НМВ, ВСАА, L-карнитин) и включения в состав смесей с электролитами для усиления эргогенных свойств (синергизм) и расширения спектра фармакологической активности. Наибольшей степенью доказательности обладает комбинация АТФ с НМВ. Комбинированное применение НМВ-FA (3 г/день) и АТФ (400 мг/день) в течение 12 недель у тренированных спортсменов высокого уровня в сочетании с силовыми постоянными тренировками синергично увеличивает тощую массу тела, силу и мощность скелетных мышц. Эти эффекты дополняются способностью данной комбинации препятствовать падению мышечной силы и даже обеспечивать ее дальнейший рост в условиях предельных физических цикловых нагрузок. Эргогенные свойства комбинации НМВ-FA и АТФ могут быть использованы в тренировочной и соревновательной деятельности профессиональных спортсменов и военнослужащих частей специального назначения.
Читайте также[править | править код]
- L-карнитин: научный обзор
- Бета-аланин: научный обзор
- Глутамин: научный обзор
- HMB: научный обзор
- Донаторы оксида азота: научный подход
- Креатин: научный обзор
- Нейростимуляторы и нейропротекторы в спортивном питании: научный обзор
- Омега-3 жирные кислоты: научный обзор
- Омега-5 жирные кислоты: научный обзор
- Омега-7 жирные кислоты: научный обзор
- Спортивные напитки: научный обзор
- Препараты витамина D в спортивной медицине: научный обзор
Ссылки[править | править код]
- Agteresch H.J., Dagnelie P.C., van den Berg J.W., Wilson J.H. Adenosine triphosphate: established and potential clinical applications. Drugs, 1999, 58:211–232.
- Agteresch H.J., Dagnelie P.C., Rietveld T. et al. Pharmacokinetics of intravenous ATP in cancer patients. Eur.J.Clin.Pharmacol., 2000, 56:49–55.
- Agteresch H.J., Rietveld T., Kerkhofs L.G. et al. Beneficial effects of adenosine triphosphate on nutritional status in advanced lung cancer patients: a randomized clinical trial. J.Clin.Oncol., 2002, 20:371–378.
- Arts I.C., Coolen J.С., Bours M.J. et al. Adenosine 5′-triphosphate (ATP) supplements are not orally bioavailable: a randomized, placebo-controlled cross-over trial in healthy humans. J.Intern.Soc.Sports Nutr., 2012, 9:16-25.
- Burnstock G., Knight G.E., Greig A.V. Purinergic signaling in healthy and diseased skin. J. Invest.Dermatol., 2012, 132:526–546.
- Coolen E.J., Arts I.C., Bekers O. et al. Oral bioavailability of ATP after prolonged administration. Br.J.Nutr., 2011, 105:357-366.
- Coolen E.J. Kinetics and effects of orally administered ATP. Thesis, Maastricht University, Maastricht, The Netherlands, 2011, 132 pp.
- Coolen E.J., Arts I.C., Swennen E.L. et al. Simultaneous determination of adenosine triphosphate and its metabolites in human whole blood by RP-HPLC and UV-detection. Journal of Chromatography, 2008, 864:43-51.
- Gorman M.W., Feigl E.O., Buffington C.W. Human plasma ATP concentration. Clin.Chem., 2007, 53:318–325.
- Haskell C.M., Wong M., Williams A., Lee L.Y. Phase I trial of extracellular adenosine 5′-triphosphate in patients with advanced cancer. Med Pediatr.Oncol., 1996, 27:165–173.
- Heinonen I., Kemppainen J., Kaskinoro K. et al. Effects of adenosine, exercise, and moderate acute hypoxia on energy substrate utilization of human skeletal muscle. Am.J.Physiol.Regul. Integr.Comp.Physiol., 2012, 302:R385–R390.
- Jager R., Roberts M.D., Lowery R.P. et al. Oral adenosine-50-triphosphate (ATP) administration improves blood flow following exercise in animals and humans. J.Int.Soc.Sports Nutr., 2014, 11:28.
- Jordan A.N., Jurca R., Abraham E.H. et al. Effects of oral ATP supplementation on anaerobic power and muscular strength. Med.Sci.Sports Exerc., 2004, 36:983–990.
- Khakh B.S., Henderson G. ATP receptor-mediated enhancement of fast excitatory neurotransmitter release in the brain. Mol.Pharmacol., 1998, 54:372–378.
- Kichenin K., Decollogne S., Angignard J., Seman M. Cardiovascular and pulmonary response to oral administration of ATP in rabbits. J.Appl.Physiol., 2000a, 88:1962–1968.
- Kichenin K., Seman M., Decollogne S., Angignard J. Chronic oral administration of ATP modulates nucleoside transport and purine metabolism in rats. J.Pharmacol.Exp.Ther., 2000b, 294:126–133.
- Klean BCAA + PEAK ATP®. Product Data. 02.2016, Klean Athlete. 600 Boyce Road Pittsburgh, PA 15205.
- Kraemer W.J., Hatfield D.L., Volek J.S. et al. Effects of amino acids supplement on physiological adaptations to resistance training. Med.Sci.Sports Exerc., 2009, 41(5):1111–1121.
- Lowery R.P., Joy J.M., Rathmacher J.A. et al. Effects of 12 weeks of beta-hydroxy-betamethylbutyrate free acid, adenosine triphosphate, or a combination on muscle mass, strength, and power in resistance trained individuals. J.Intern.Soc.Sports Nutr., 2013, 10(Suppl 1):P17.
- Lowery R.P., Joy J.M., Rathmacher J.A. et al. Interaction of Beta-Hydroxy-Beta-Methylbutyrate Free Acid and Adenosine Triphosphate on Muscle Mass, Strength, and Power in Resistance Trained Individuals. J.Strength Cond.Res., 2016, 30(7):1843-1854.
- Mendez-Villanueva A., Bishop D., Hamer P. Reproducibility of a 6-s maximal cycling sprint test. J.Sci.Med.Sport., 2007, 10:323–326.
- Nyberg M., Mortensen S.P., Thaning P. et al. Interstitial and plasma adenosine stimulate nitric oxide and prostacyclin formation in human skeletal muscle. Hypertension, 2010, 56:1102–1108.
- Pastor-Anglada M., Errasti-Murugarren E., Aymerich I., Casado F.J. Concentrative nucleoside transporters (CNTs) in epithelia: from absorption to cell signaling. J.Physiol.Biochem., 2007, 63:97–110.
- Purpura M., Rathmacher J.A., Sharp M.H. Oral Adenosine-50-triphosphate (ATP) Administration Increases Postexercise ATP Levels, Muscle Excitability, and Athletic Performance Following a Repeated Sprint Bout. J.Amer.Coll.Nutr., 2017, doi: 10.1080/07315724.2016.1246989.
- Rapaport E., Fontaine J. Anticancer activities of adenine nucleotides in mice are mediated through expansion of erythrocyte ATP pools. Proc.Natl.Acad.Sci., 1989a, U S A 86:1662–1666.
- Rapaport E., Fontaine J. Generation of extracellular ATP in blood and its mediated inhibition of host weight loss in tumor-bearing mice. Biochem.Pharmacol., 1989b, 38:4261–4266.
- Rapaport E., Salikhova A., Abraham E.H. Continuous intravenous infusion of ATP in humans yields large expansions of erythrocyte ATP pools but extracellular ATP pools are elevated only at the start followed by rapid declines. Purinergic Signal, 2015, 11:251–262.
- Rathmacher J.A., Fuller J.C., Baier S.M. et al. Adenosine-50-triphosphate (ATP) supplementation improves low peak muscle torque and torque fatigue during repeated high intensity exercise sets. J.Int.Soc.Sports Nutr., 2012, 9:48.
- Sawynok J., Sweeney M.I. The role of purines in nociception. Neuroscience 1989, 32:557–569.
- Strohmeier G.R., Lencer W.I., Patapoff T.W. et al. Surface expression, polarization, and functional significance of CD73 in human intestinal epithelia. J.Clin.Invest., 1997, 99:2588–2601.
- Wilson J.M., Joy J.M., Lowery R.P. et al. Effects of oral adenosine-5-triphosphate supplementation on athletic performance, skeletal muscle hypertrophy and recovery in resistance-trained men. Nutr.Metab. (Lond), 2013, 10:57-68.
- Yajima H., Sato J., Giron R. et al. Inhibitory, facilitatory, and excitatory effects of ATP and purinergic receptor agonists on the activity of rat cutaneous nociceptors in vitro. Neurosci.Res. 2005, 51:405–416.
