Ингаляционные анестетики
Источник:
Клиническая фармакология по Гудману и Гилману том 1.
Редактор: профессор А.Г. Гилман Изд.: Практика, 2006 год.
Содержание
Ингаляционные анестетики[править | править код]
Введение[править | править код]
Множество газов и летучих жидкостей могут вызывать анестезию. Первым ингаляционным анестетиком, нашедшим широкое применение, был этиловый эфир. В дальнейшем появились ингаляционные анестетики иного химического строения: циклопропан, ксенон, закись азота, а недавно и короткоцепочечные галогензамещенные алканы и простые эфиры. Формулы современных ингаляционных анестетиков приведены на рис. 14.4. Один из основных недостатков ингаляционных анестетиков — низкий порог токсического действия. Терапевтический индекс (рассчитанный как отношение LD50 к средней эффективной дозе EDS0 у экспериментальных животных) колеблется от 2 до 4, что делает ингаляционные анестетики одними из самых опасных препаратов. Токсичность этих веществ обусловлена преимущественно побочными эффектами, причем у разных препаратов побочные эффекты различаются (см. ниже). Таким образом, выбор ингаляционного анестетика часто зависит от того, какие именно из побочных эффектов особенно нежелательны у данного больного. Ингаляционные анестетики существенно отличаются друг от друга и своими физическими свойствами; наиболее важные (с клинической точки зрения) из этих свойств приведены в табл. 14.1. Физические свойства определяют фармакокинетику ингаляционных анестетиков (см. ниже). В идеале препараты должны обеспечивать быстрое наступление анестезии и быстрый выход из нее.
Описание к рис. 14.4. Ингаляционные анестетики. Видно, что все эти препараты, за исключением закиси азота и галотана, представляют собой эфиры и что в новых анестетиках фтор заменяет другие галогены. Эти структурные различия сопровождаются и существенными различиями в фармакологических свойствах.
Принципы фармакокинетики[править | править код]
Ингаляционные анестетики — одни из немногих препаратов, применяемых в виде газов, и это в значительной степени определяет особенности их всасывания и распределения. Газы распределяются между различными средами (в организме — между альвеолярным воздухом, артериальной кровью и разными тканями) таким образом, что по достижении равновесия парциальное давление каждого газа становится везде одинаковым. Таким образом, если вдыхать ингаляционный анестетик достаточнодолго, то его парциальное давление во всех тканях в конце концов станет таким же, как во вдыхаемой смеси. В то же время его концентрации в разных тканях могут быть разными в связи с различной растворимостью. Отношение концентраций газа в двух средах при одинаковом парциальном давлении данного газа в этих средах называется коэффициентом распределения. Коэффициенты распределения кровь/газовая смесь, мозг/кровь и жировая ткань/кровь для различных ингаляционных анестетиков приведены в табл. 14.1. Из этой таблицы видно, что: 1) ингаляционные анестетики более растворимы в одних тканях (например, в жировой) и менее в других (например, в крови), 2) разные анестетики по-разному растворяются в одних и тех же тканях.
Парциальное давление ингаляционного анестетика во всех тканях выравнивается, когда его парциальное давление в альвеолярном воздухе становится таким же, как во вдыхаемой смеси. В этот момент анестетик перестает поступать из альвеолярного воздуха в кровь. Для ингаляционных анестетиков с невысокой растворимостью в крови и других тканях равновесие наступает быстро. Примером может служить закись азота (рис. 14.5). Если же ингаляционный анестетик хорошо растворим в некоторых тканях, например в жировой, равновесие может наступить лишь через несколько часов. Для таких анестетиков жировая ткань играет роль обширного депо, которое медленно заполняется из-за плохого кровоснабжения. Примером может быть галотан, парциальное давление которого в альвеолярном воздухе очень медленно становится равным парциальному давлению во вдыхаемой смеси (рис. 14.5).
Важная характеристика анестетиков — скорость наступления анестезии. При использовании ингаляционных препаратов анестезия развивается, когда парциальное давление анестетика в головном мозге становится равным парциальному давлению при 1 МАК. Благодаря высокому мозговому кровотоку парциальное давление препарата в головном мозге быстро (в течение нескольких минут) становится таким же, как в крови и альвеолярном воздухе. Таким образом, анестезия развивается вскоре после того, как концентрация препарата в альвеолярном воздухе достигает 1 МАК. Скорость нарастания концентрации препарата в альвеолярном воздухе ниже у хорошо растворимых в крови и других тканях анестетиков. Наступление анестезии в таких случаях можно ускорить, увеличив парциальное давление анестетика во вдыхаемой смеси.
Выведение ингаляционного анестетика — процесс, в значительной степени обратный его поглощению. Выход из общей анестезии при использовании плохо растворимых в крови и других тканях препаратов как бы зеркально отражает наступление анестезии независимо от ее длительности. А для хорошо растворимых в крови и тканях ингаляционных анестетиков продолжительность выхода из анестезии определяется длительностью введения анестетика. Это обусловлено накоплением препарата в жировой ткани, препятствующим быстрому снижению парциального давления препарата в крови и, следовательно, в альвеолярном воздухе. Сознание начинает восстанавливаться, когда концентрация препарата в альвеолярном воздухе достигает 1 МАКбодрствования, которая несколько ниже 1 МАК (табл. 14.1).
Галотан[править | править код]
Химические свойства. Галотан, или 2-бром-2-хлор-1,1,1-трифторэтан (рис. 14.4), представляет собой летучую жидкость, испаряющуюся при комнатной температуре. Хранят его в герметичных флаконах темного стекла, поскольку он разрушается на свету. В качестве консерванта к галотану добавляют тимол. Смесь галотана с кислородом или воздухом не взрывоопасна и не воспламеняется.
Фармакокинетика. Галотан характеризуется относительно высоким коэффициентом распределения кровь/газовая смесь и очень высоким коэффициентом распределения жировая ткань/кровь (табл. 14.1). В связи с этим анестезия при использовании галотана наступает сравнительно медленно, а его парциальное давление в альвеолярном воздухе остается ниже, чем во вдыхаемой смеси, в течение многих часов. Поскольку галотан растворим в жировой и других тканях, он накапливается при длительном введении. Таким образом, чем продолжительнее анестезия, тем медленнее восстанавливается сознание (Stoeltingand Eger, 1969).
Приблизительно 60—80% галотана выводится в неизмененном виде легкими в течение суток после введения. Значительная часть оставшегося галотана метаболизируется в печени с участием цитохрома Р450. Основной метаболит галотана — трифторуксусная кислота — образуется путем отщепления ионов брома и хлора (Gruenke et al., 1988). Трифторуксусную кислоту, а также бром и хлор можно обнаружить в моче. Промежуточный продукт окислительного метаболизма галотана трифторацетилхлорид может модифицировать некоторые белки печени с образованием трифторацетилированных производных. Иммунная реакция на эти измененные белки может быть причиной редких случаев вызванного галотаном молниеносного некроза печени (Kenna et al., 1988). Приблизительно 1% галотана подвергается восстановительным реакциям, причем это происходит в основном при гипоксии (Van Dyke et al., 1988).
Применение. Галотан стали применять в 1956 г. Он был первым галогензамещенным ингаляционным анестетиком, который стали использовать в клинической практике. Галотан — сильный анестетик, обычно применяемый для поддержания анестезии. Он не обладает едким запахом, поэтому хорошо переносится и как средство для вводной ингаляционной анестезии. С этой целью его чаще используют у детей, когда установка венозного катетера затруднена. Анестезия наступает при концентрации галотана в альвеолярном воздухе 0,7—1%; при комбинации галотана с закисью азота анестезия развивается при значительно меньшей концентрации. В США в последнее десятилетие галотан стали использовать реже, поскольку появились новые ингаляционные анестетики, характеризующиеся лучшей фармакокинетикой и меньшими побочными эффектами. Галотан по-прежнему широко применяется у детей, так как он хорошо переносится при вводной анестезии и реже, чем у взрослых, вызывает тяжелые побочные эффекты. Галотан дешев, поэтому продолжает часто использоваться в развивающихся странах.
Побочные эффекты. Сердечно-сосудистая система. Самый частый побочный эффект галотана — дозозависимое снижение АД: при концентрации галотана в альвеолярном воздухе, равной 1 МАК, среднее АД снижается на 20—25%. Это объясняется прежде всего прямым отрицательным инотропным влиянием, приводящим к уменьшению сердечного выброса (рис. 14.6). Полагают, что этот эффект обусловлен подавлением медленного кальциевого тока (Lynch, 1997). Артериальная гипотония обычно сочетается с брадикардией или нормальной ЧСС. Отсутствие компенсаторного повышения ЧСС (и сократимости) при падении АД объясняют угнетением эфферентной части барорефлекса. Увеличить ЧСС во время анестезии галотаном можно введением катехоламинов или стимуляцией симпатоадреналовой системы. Артериальная гипотония и брадикардия обычно исчезают через несколько часов постоянного введения галотана. Полагают, что это обусловлено нарастающей стимуляцией симпатоадреналовой системы (Egeret al., 1970).
Галотан не вызывает существенных изменений ОПСС. Тем не менее он изменяет сопротивление и ауторегуляторные реакции отдельных сосудистых бассейнов, что ведет к перераспределению кровотока. Сосуды кожи и головного мозга расширяются, и в результате мозговой и кожный кровоток возрастают. С другой стороны, галотан нарушает ауторегуляцию мозгового и почечного кровотока, а также кровотока в органах брюшной полости. На фоне сниженного АД это приводит к ухудшению кровоснабжения соответствующих органов. Ауторегуляция коронарного кровообращения меняется мало. Наконец, галотан подавляет гипоксическую легочную вазоконст-рикцию, что приводит к повышению перфузии плохо вентилируемых участков легких и росту РО2.
Галотан существенно влияет на сердечный ритм. Во время анестезии галотаном часто развивается синусовая брадикардия или АВ-узловой ритм, однако эти нарушения обычно бывают доброкачественными. Нарушения ритма сердца главным образом обусловлены угнетением синусового узла. Кроме того, галотан повышает чувствительность миокарда к аритмогенному действию адреналина (Sumikawa et al., 1983). В связи с этим введение на фоне галотана адреналина или повышение уровня эндогенных катехоламинов может привести к желудочковой экстрасистолии или устойчивой желудочковой тахикардии. Полагают, что эти аритмии обусловлены синергичным действием галотана и катехоламинов на а1- и β1-адренорецепторы (Hayashi et al., 1988).
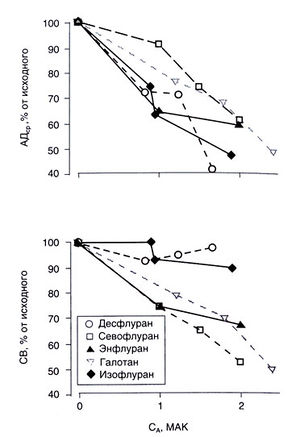
Описание к рис. 14.6. Действие ингаляционных анестетиков на сердечно-сосудистую систему. Все ингаляционные анестетики вызывают дозозависимое снижение АД (вверху), однако сердечный выброс под действием изофлурана и десфлурана существенно не меняется (внизу). Следовательно, причина снижения АД — разная. Данные получены в исследованиях на человеке; посевофлурану — в опытах на свиньях. АД.Р — среднее артериальное давление, СВ — сердечный выброс, СА — концентрация препарата в альвеолярном воздухе. Bahlmanetal., 1972; Cromwell etal., 1971; Weiskopfetal., 1991; Calverley etal., 1978; Stevens etal., 1971; Eger etal., 1970; Weiskopf etal., 1988.
Дыхательная система. Дыхание на фоне галотана становится частым и поверхностным. В результате снижается альвеолярная вентиляция, а РаС02 при концентрации галотана в 1 МАК повышается с 40 до 50 мм рт. ст. и выше (рис. 14.7). Повышение РаС02 не приводит к компенсаторному увеличению вентиляции, поскольку галотан вызывает дозозависимое подавление вентиляторной реакции на гиперкапнию (Knill and Gelb, 1978). Этот эффект, по-видимому, обусловлен тормозным действием на центральные хеморецепторы. Кроме того, галотан угнетает и ответ на активацию периферических хеморецепторов, реагирующих на гипоксемию. Таким образом, во время анестезии галотаном не наблюдается ни гемодинамической (тахикардия, повышение АД), ни вентиляторной реакции на гипоксемию, и поэтому рекомендуется следить за оксигенацией артериальной крови. Галотан — эффективный прямой бронходилататор (Yamakage, 1992), поэтому его используют при астматическом статусе, когда другие средства не помогают (Gold and Helrich, 1970). ЦНС. Галотан расширяет церебральные сосуды и в большинстве случаев увеличивает мозговой кровоток. В результате при внутричерепных объемных образованиях, отеке головного мозга или внутричерепной гипертензии может повышаться внутричерепное давление. В связи с этим галотан относительно противопоказан при подозрении на повышение внутричерепного давления. Кроме того, галотан ослабляет ауторегуляцию мозгового кровотока, поэтому при значительном снижении АД кровоснабжение головного мозга может уменьшаться. Однако галотан снижает и потребность мозга в кислороде, и поэтому умеренное снижение мозгового кровотока обычно хорошо переносится.
Описание к рис. 14.7. Действие ингаляционных анестетиков на дыхательную систему. Все галогензамешенные ингаляционные анестетики вызывают дозозависимое снижение МОД (внизу) и, как следствие, повышение Р„С02 (вверху). СА — концентрация препарата в альвеолярном воздухе. Doi and Ikeda, 1987; Lockhart etal., 1991; Munson et al., 1966; Calverley et al., 1978; Fourcade et al., 1971.
Мышцы. Благодаря центральному действию галотан вызывает некоторое мышечное расслабление. Кроме того, онусиливает действие недеполяризующих миорелаксантов (гл. 9), увеличивая как силу, так и продолжительность их действия. У предрасположенных лиц галотан может провоцировать злокачественную гипертермию — смертельно опасное состояние, характеризующееся выраженной мышечной ригидностью, быстрым развитием гипертермии и значительным повышением основного обмена. При первых признаках злокачественной гипертермии прекращают введение галотана и назначают дантролен.
Галотан вызывает расслабление матки, что используется при наружном повороте плода и при ручном отделении плаценты и выделении последа. В то же время, угнетая сокращения матки, галотан удлиняет период родов и увеличивает кровопотерю; поэтому его не используют в качестве обезболивающего средства или анестетика при родах. Почки. На фоне галотана диурез уменьшается, а моча становится более концентрированной. Это объясняется уменьшением почечного кровотока и СКФ, которые при концентрации галотана в 1 МАК могут снизиться на 40— 50% (Mazze et al., 1963). Вызванные галотаном изменения функции почек полностью обратимы; длительного нефротоксического действия он не оказывает.
Печень и ЖКТ. Как уже отмечалось, галотан вызывает снижение кровотока в органах брюшной полости вследствие уменьшения АД; на функции печени и органов ЖКТ это существенно не отражается.
Изредка (1 на 10 ООО анестезий галотаном; Subcommittee on the National Halothane Study, 1966) галотан может вызвать молниеносный некроз печени. При этом через несколько суток после анестезии галотаном повышается температура, исчезает аппетит, появляются тошнота и рвота, иногда — сыпь и эозинофилия. Быстро нарастает печеночная недостаточность. Смертность составляет около 50%. Полагают (см. выше), что это осложнение развивается из-за иммунной реакции на белки гепатоцитов, связанные с трифторуксусной кислотой.
Изофлуран[править | править код]
Химические свойства. Изофлуран, или 1-хлор-2,2,2-трифтор-этилдифторметиловый эфир (рис. 14.4), при комнатной температуре представляет собой летучую жидкость. Смесь изофлурана с кислородом или воздухом не взрывоопасна и не воспламеняется.
Фармакокинетика. Коэффициент распределения кровь/газовая смесь у изофлурана ниже, чем у галотана или энфлурана (табл. 14.1). Следовательно, анестезия под действием изофлурана развивается сравнительно быстро, а после прекращения его введения быстро восстанавливается сознание. Глубину анестезии также удается менять быстрее, чем при использовании галотана или энфлурана. Более 99% изофлурана выводится в неизмененном виде легкими; примерно 0,2% окисляется с участием изофермента IIE1 цитохрома Р450 (Kharasch et al., 1993). Столь малое количество метаболитов недостаточно для того, чтобы оказать повреждающее действие на печень, почки или другие органы. Изофлуран, видимо, не обладает также мутагенным, тератогенным или канцерогенным действием (Eger et al., 1978).
Применение. Изофлуран — самый распространенный ингаляционный анестетик в США. Анестезия развивается менее чем за 10 мин; для вводной анестезии применяют дыхательную смесь, содержащую 3% изофлурана в кислороде. Для поддержания анестезии концентрацию изофлурана уменьшают до 1,5—2,5%. Комбинация с другими препаратами, например наркотическими анальгетиками или закисью азота, позволяет еще больше снизить концентрацию изофлурана.
Побочные эффекты. Сердечно-сосудистая система. Изофлуран вызывает дозозависимое снижение АД. В отличие от галотана, изофлуран не уменьшает сердечный выброс, а артериальная гипотония обусловлена снижением ОПСС (рис. 14.6). Изофлуран вызывает расширение большинства сосудов, но особенно — кожных, мышечных и коронарных. Поскольку изофлуран еще и уменьшает потребление миокардом кислорода, теоретически он должен быть особенно показан при ИБС. Высказывались опасения, что он может вызывать феномен обкрадывания — перераспределение кровотока из плохо кровоснабжаемых участков миокарда в хорошо кровоснабжаемые (Buffington et al., 1988), однако это предположение не было подтверждено ни в опытах на животных, ни в клинических исследованиях. Изофлуран обычно несколько повышает ЧСС. Быстрое изменение концентрации изофлурана может вызвать преходящую тахикардию и артериальную гипертонию вследствие прямого активирующего влияния на симпатическую нервную систему.
Дыхательная система. Изофлуран вызывает дозозависимое уменьшение вентиляции. При этом ЧДД остается нормальной, но снижается дыхательный объем, что приводит к значительному уменьшению МОД и повышению РаС02 (рис. 14.7). Изофлуран особенно сильно подавляет вентиляторную реакцию на гиперкапнию и гипоксию (Hirshman et al., 1977). Изофлуран — мощный бронходилататор, но в то же время он оказывает раздражающее действие на дыхательные пути и может вызвать рефлекторный кашель и ларингоспазм во время вводной анестезии. ЦНС. Подобно галотану, изофлуран расширяет сосуды головного мозга, повышает мозговой кровоток и может увеличить внутричерепное давление. Кроме того, изофлуран уменьшает потребление головным мозгом кислорода. Расширение сосудов головного мозга менее выражено, чем под действием энфлурана или галотана, что позволяет использовать изофлуран при нейрохирургических вмешательствах (Drummond et al., 1983). Повышение мозгового кровотока под действием изофлурана легко устраняется гипервентиляцией (McPherson et al., 1989). Мышцы. Благодаря центральному действию изофлуран вызывает некоторую миорелаксацию. Кроме того, он усиливает действие деполяризующих и недеполяризующих миорелаксантов, причем в большей степени, чем галотан. Подобно другим галогензамещенным ингаляционным анестетикам, изофлуран расслабляет матку и не рекомендуется в качестве обезболивающего средства или анестетика при родах.
Почки. Изофлуран уменьшает почечный кровоток и СКФ. В результате диурез уменьшается, а концентрация мочи возрастает. Эти изменения наблюдаются только во время анестезии, а затем быстро исчезают. Изофлуран не обладает длительным неф-ротоксическим действием.
Печень и ЖКТ. Печеночный кровоток и кровоток в органах ЖКТ уменьшаются по мере увеличения дозы изофлурана и снижения ДД. Биохимические показатели функции печени под действием изофлурана почти не меняются. Изофлуран не обладает гепатотоксичностью.
Энфлуран[править | править код]
Химические свойства. Энфлуран, или 2-хлор-1,1,2-трифтор-этилдифторметиловый эфир (рис. 14.4), при комнатной температуре представляет собой прозрачную бесцветную жидкость с легким сладковатым запахом. Как и другие ингаляционные анестетики, энфлуран легко испаряется и должен храниться в герметичных флаконах. Смесь энфлурана с кислородом или воздухом не взрывоопасна и не воспламеняется.
Фармакокинетика. Коэффициент распределения кровь/газовая смесь у энфлурана относительно высок (табл. 14.1), поэтому анестезия наступает сравнительно медленно и столь же медленно восстанавливается сознание после окончания анестезии. Энфлуран на 2—8% окисляется в печени с участием изофермента IIE1 цитохрома Р450 (Kharasch et al., 1994). При метаболизме энфлурана образуются ионы фтора, однако их концентрация в плазме не достигает токсического уровня. Изониазид ускоряет метаболизм энфлурана, вследствие чего уровень фтора в плазме может существенно повышаться (Mazze et al., 1982).
Применение. Хирургическая стадия анестезии при использовании 4% энфлурана в кислороде достигается менее чем за 10 мин. Для поддержания анестезии концентрацию энфлурана снижают до 1,5—3%. Сочетание с закисью азота или наркотическими анальгетиками позволяет уменьшить концентрацию энфлурана. С появлением новых ингаляционных анестетиков с лучшими фармакокинетическими свойствами и меньшими побочными эффектами энфлуран стал применяться реже.
Побочные эффекты. Сердечно-сосудистая система. Энфлуран вызывает дозозависимое снижение АД, обусловленное как снижением сократимости миокарда, так и некоторым расширением сосудов (рис. 14.6). Энфлуран почти не влияет на ЧСС, не вызывая ни брадикардии (как галотан), ни тахикардии (как изофлуран).
Дыхательная система. По действию на дыхательную систему энфлуран напоминает галотан. Дыхание учащается и становится поверхностным. МОД значительно снижается, а РаС02 при концентрации энфлурана в 1 МАК возрастает до 60 мм рт. ст. (рис. 14.7). Энфлуран в большей степени, чем галотан и изофлуран, подавляет вентиляторную реакцию на гипоксию и гиперкапнию (Hirshman et al., 1977). Как и другие ингаляционные анестетики, энфлуран является мощным бронходипататором.
ЦНС. Энфлуран расширяет церебральные сосуды и, в некоторых случаях, может повышать внутричерепное давление. Как и другие ингаляционные анестетики, энфлуран уменьшает потребление головным мозгом кислорода. Особенностью энфлурана является то, что он вызывает судорожную активность на ЭЭГ. При высоких концентрациях энфлурана или выраженной гипокапнии развивается характерный высокоамплитудный высокочастотный ритм, затем появляются комплексы пик-волна, иногда сопровождающиеся типичными судорожными разрядами. Во время последних могут возникать судороги, которые самостоятельно прекращаются и не возобновляются после окончания анестезии. Полагают, что энфлуран не провоцирует припадки у больных эпилепсией. Тем не менее при эпилепсии энфлуран, как правило, не используется.
Мышцы. Энфлуран вызывает значительное расслабление скелетных мышц даже в отсутствие миорелаксантов. Кроме того, он значительно усиливает действие недеполяризующих миорелаксантов. Как и другие ингаляционные анестетики, энфлуран вызывает расслабление матки и потому редко применяется в акушерской практике. Почки. Подобно другим ингаляционным анестетикам, энфлуран уменьшает почечный кровоток, СКФ и диурез. После прекращения введения препарата эти показатели быстро возвращаются к исходному уровню. Как уже говорилось, при метаболизме энфлурана повышается концентрация фтора в плазме (до 20—40 мкмоль/л). При длительном введении может временно нарушаться концентрирующая способность почек (Mazze et al.,1977). Длительные расстройства функции почек под действием энфлурана не описаны, поэтому, если не требуется слишком глубокая или продолжительная анестезия, его можно использовать при заболеваниях почек.
Печень и ЖКТ. Энфлуран уменьшает печеночный кровоток и кровоток в органах ЖКТ пропорционально снижению АД. В то же время он не ухудшает функцию печени и не обладает гепатотоксическим действием.
Десфлуран[править | править код]
Химические свойства. Десфлуран, или дифторметил 1 -фтор-2,2, 2-трифторметиловый эфир (рис. 14.4), при комнатной температуре представляет собой легко испаряющуюся жидкость (давление паров при комнатной температуре 681 мм рт. ст). Хранится в плотно закрытых флаконах. Чтобы обеспечить строго необходимую концентрацию десфлурана, сначала с помощью специального термостатируемого испарителя получают пар этого вещества и затем в соответствующей пропорции смешивают его с другими газами (кислородом, воздухом, закисью азота). Смесь десфлурана с кислородом или воздухом не взрывоопасна и не воспламеняется.
Фармакокинетика. Коэффициент распределения кровь/газовая смесь у десфлурана очень низкий; препарат плохо растворяется также в жировой и других тканях (табл. 14.1). В связи с этим парциальное давление десфлурана в альвеолярном воздухе и в крови быстро становится таким же, как во вдыхаемой смеси (уже через 5 мин после начала ингаляции парциальное давление в альвеолярном воздухе достигает 80% давления во вдыхаемой смеси). Благодаря этому анестезия развивается очень быстро, а глубину ее можно легко регулировать, меняя концентрацию десфлурана во вдыхаемой смеси. Заканчивается анестезия так-жебыстро. Сознание восстанавливается в два раза быстрее, чем при введении галотана, как правило в течение 5—10 мин (Smiley etal., 1991).
Более 99% десфлурана выводится легкими в неизмененном виде, и лишь малая часть окисляется с участием цитохрома Р450. После введения десфлурана фтор в плазме не определяется, но в плазме и моче выявляется небольшое количество трифторуксусной кислоты (Koblin et al., 1988).
Применение. В связи с быстрым началом и быстрым окончанием действия десфлуран широко применяется при амбулаторных хирургических вмешательствах. Он оказывает раздражающее действие на дыхательные пути, вызывая кашель, слюнотечение и бронхоспазм. В связи с этим десфлуран используют для поддержания анестезии, а д ля вводной анестезии применяют неингаляционные средства. Концентрация препарата во вдыхаемой смеси для поддержания анестезии обычно составляет 6—8%. Ее можно уменьшить, сочетая десфлуран с закисью азота или наркотическими анальгетиками.
Побочные эффекты. Сердечно-сосудистая система. Как и прочие ингаляционные анестетики, десфлуран вызывает дозозависимое снижение АД. Оно обусловлено главным образом уменьшением ОПСС; отрицательное инотропное действие десфлурана очень слабое (рис. 14.6) (Eger, 1994), и поэтому он почти не снижает сердечный выброс, а также кровоток в различных органах (почках, головном мозге, сердце и органах брюшной полости). Гипотензивный эффект десфлурана (в отличие от ряда других ингаляционных анестетиков) сохраняется в течение всего времени его ингаляции (Weiskopf et al., 1991). Начало введения десфлурана, а также резкое увеличение его дозы часто сопровождаются значительным, но преходящим нарастанием ЧСС, обусловленным симпатикотоническим действием препарата (Ebert andMuzi, 1993).
Дыхательная система. Подобно галотану и энфлурану, десфлуран вызывает дозозависимое увеличение ЧДД и уменьшение дыхательного объема. При низких концентрациях десфлурана (менее 1 МАК) МОД меняется мало. Однако если концентрация десфлурана превышает 1 МАК, МОД существенно снижается, вследствие чего РаС02 повышается (рис. 14.7) (Lockhart et al., 1991). В отсутствие ИВЛ при концентрации десфлурана более 1,5 МАК РаС02 значительно возрастает; возможна остановка дыхания. Как и другие ингаляционные анестетики, десфлуран является бронходилататором. Однако он оказывает сильный раздражающий эффект на дыхательные пути, вызывая кашель, задержку дыхания, ларингоспазм и бронхорею, что не позволяет использовать его для вводной анестезии.
ЦНС. Десфлуран уменьшает сопротивление церебральных сосудов и потребление головным мозгом кислорода. В условиях нормокапнии и нормального АД десфлуран увеличивает мозговой кровоток и при сниженной внутричерепной податливости может повышать внутричерепное давление. Сужение сосудов в ответ на гипокапнию сохранено, и предотвратить повышение внутричерепного давления можно путем гипервентиляции. Мышцы. Десфлуран обладает прямым миорелаксирующим действием, а также усиливает эффекты недеполяризующих и деполяризующих миорелаксантов (Caldwell et al., 1991).
Почки. Десфлуран не обладает нефротоксичностью, поскольку большая часть препарата не метаболизируется, а выводится в неизмененном виде.
Печень и ЖКТ. Десфлуран не обладает гепатотоксичностью и не изменяет биохимические показатели функции печени.
Севофлуран[править | править код]
Химические свойства. Севофлуран, или фторметил 2,2,2-три-фтор-1-(трифторметил)этиловый эфир (рис. 14.4), при комнатной температуре представляет собой прозрачную, бесцветную летучую жидкость. Хранится в герметичных флаконах. Смесь севофлурана с кислородом или воздухом не взрывоопасна и не воспламеняется.
Фармакокинетика. Низкая растворимость севофлурана в крови и других тканях (табл. 14.1) обеспечивает быстрое наступление анестезии, позволяет быстро регулировать ее глубину, изменяя концентрацию препарата в дыхательной смеси, и быстро заканчивать анестезию. Примерно на 3% севофлуран подвергается печеночному метаболизму с участием изофермента IIE1 цитохрома Р450. Основной продукт метаболизма севофлурана — гексафторизопропанол. Кроме того, образуется неорганический фтор. Концентрация фтора в плазме достигает максимума вскоре после окончания хирургического вмешательства и быстро снижается. Севофлуран может взаимодействовать с натронной известью, применяемой в качестве поглотителя углекислого газа. Это ведет к образованию ряда соединений, из которых наибольшее внимание привлекает вещество А, или пентафторизопропенилфторметиловый эфир (см. ниже) (Hanaki et al., 1987).
Применение. Севофлуран в течение нескольких лет широко применяется в Японии и все чаще используется в США. Из-за быстрого восстановления сознания препарат особенно удобен для анестезии при амбулаторных вмешательствах. Кроме того, его применяют для вводной ингаляционной анестезии (особенно у детей), поскольку он не раздражает дыхательные пути; при этом концентрация севофлурана во вдыхаемой смеси составляет 2—4%.
Побочные эффекты. Сердечно-сосудистая система. Подобно другим галогензамещенным ингаляционным анестетикам, севофлуран вызывает дозозависимое снижение АД. Этот эффект обусловлен преимущественно снижением ОПСС, хотя севофлуран может вызвать дозозависимое уменьшение сердечного выброса (рис. 14.6).
В отличие от изофлурана и десфлурана, севофлуран не вызывает тахикардию и потому считается препаратом выбора при ИБС.
Дыхательная система. Севофлуран вызывает дозозависимое уменьшение дыхательного объема и, в меньшей степени, увеличение ЧДД; в результате МОД уменьшается, а РаС02 повышается (Doi and Ikeda, 1987) (рис. 14.7). Севофлуран не раздражает дыхательные пути и обладает выраженным бронходилатирующим действием. Такое сочетание делает его самым эффективным бронходилататором среди ингаляционных анестетиков (Rooke et al.,1997).
ЦНС. По влиянию на церебральные сосуды, мозговой кровоток и потребление головным мозгом кислорода севофлуран очень похож на изофлуран и десфлуран. При сниженной внутричерепной податливости севофлуран может повышать внутричерепное давление, но не угнетает реакцию церебральных сосудов на гипокапнию; поэтому предотвратить рост внутричерепного давления можно с помощью гипервентиляции.
Мышцы. Влияние севофлурана на мышцы такое же, как и у других галогензамещенных ингаляционных анестетиков: он обладает прямым миорелаксирующим действием, а также усиливает эффекты недеполяризующих и деполяризующих миорелаксантов.
Почки. Сведения о нефротоксичности вещества А — продукта взаимодействия севофлурана с натронной известью — противоречивы. Исследование на добровольцах показало, что севофлуран может вызывать временное нарушение функции почек (Eger et al., 1997), однако данных о постоянном поражении почек получено не было. Поданным крупных исследований, введение севофлурана не сопровождается повышением уровня креатинина или мочевины в плазме, а также другими признаками повреждения почек (Mazze et al., 2000). ФДА рекомендует вводить севофлуран со свежей газовой смесью со скоростью по крайней мере 2 л/мин, что предотвращает накопление вещества А.
Печень и ЖКТ. Севофлуран не обладает гепатотоксичностью и не изменяет биохимические показатели функции печени.
Закись азота[править | править код]
Химические и физические свойства. Закись азота N20 при комнатной температуре представляет собой газ без цвета и запаха (рис. 14.4). Хранится в стальных баллонах и подается через специальные дозиметры, имеющиеся на всех аппаратах для общей анестезии. Закись азота не воспламеняется и не взрывается, однако в высоких концентрациях и в смеси с горючим анестетиком или иным веществом может поддерживать горение в той же степени,что и кислород.
Фармакокинетика. Закись азота чрезвычайно плохо растворяется в крови и других тканях (табл. 14.1). Благодаря этому быстро устанавливается равновесие между ее парциальным давлением во вдыхаемой смеси и альвеолярном воздухе; следовательно, анестезия быстро достигается и столь же быстро прекращается. Быстрое всасывание закиси азота из альвеолярного воздуха приводит к повышению концентрации в нем более медленно всасывающихся галогензамещенных анестетиков (при их совместном применении), что ускоряет наступление анестезии («эффект второго газа»). После прекращения введения закиси азота она поступает обратно из крови в альвеолярный воздух, снижая парциальное давление в нем кислорода. Это явление называется диффузионной гипоксией. Во избежание гипоксии после прекращения подачи закиси азота в течение некоторого времени вводят 100% кислород.
Закись азота почти полностью выводится легкими, и лишь небольшая часть — через кожу. Закись азота не метаболизируется и на 99,9% выводится в неизмененном виде. Она инактивирует витамин В12, образуемый кишечными бактериями. В результате при длительном введении закиси азота нарушается синтез метионина и развиваются симптомы дефицита витамина В12 (мегалобластная анемия, нейропатия) (O’Sullivan et al., 1981).
По этой причине закись азота не используется для длительного обезболивания или в качестве седативного средства.
Применение. Закись азота — слабый анестетик. Хирургическая стадия анестезии развивается лишь при введении под повышенным давлением. Если концентрация закиси азота во вдыхаемой смеси составляет 20%, то развивается выраженное обезболивание, если концентрация составляет 30—80% — седативное действие. В амбулаторной стоматологии закись азота часто используется в концентрации 50%. В концентрациях свыше 80% закисьазотане используется, так как при этом возникает дефицит кислорода. В связи с этим она применяется главным образом всочетании сдругими ингаляционными или неингаляционными анестетиками. Закись азота позволяет существенно уменьшить дозу ингаляционного анестетика. Так, при концентрации закиси азота 70%, МАК другого ингаляционного анестетика снижается примерно на 60%, что позволяет уменьшить его дозу и риск побочных эффектов.
Закись азота обменивается с азотом, содержащимся в воздушных полостях тела. Она проникает в такие полости быстрее, чем из них выходит азот, и в результате их объем увеличивается (или в них повышается давление). Примерами могут быть плевральная полость при пневмотораксе, среднее ухо при закупорке евстахиевой трубы, воздушные эмболы, петля кишки при кишечной непроходимости, пузырек воздуха внутри глазного яблока, буллы в легком, воздух в полости черепа. При этих состояниях закись азота противопоказана.
Побочные эффекты. Сердечно-сосудистая система. In vitro закись азота оказывает отрицательный инотропный эффект, но in vivo этот эффект не наблюдается, что объясняется симпатикотоническим действием препарата. Гемодинамические эффекты закиси азота существенно меняются при одновременном введении других анестетиков. Так, при сочетании закиси азота с галогензаме-щенными ингаляционными анестетиками ЧСС, АД и сердечный выброс обычно повышаются, а при сочетании с наркотическими анальгетиками АД и сердечный выброс снижаются. Закись азота повышает тонус вен большого и малого кругов. При легочной гипертензии увеличение легочного сосудистого сопротивления под действием закиси азота становится еще более выраженным (Schulte-Sasse et al., 1982), и поэтому у таких больных закись азота не применяют.
Дыхательная система. Закись азота вызывает умеренные увеличение ЧДД и снижение дыхательного объема. В результате МОД существенно не меняется и Р,С02 остается в пределах нормы. Однако даже в небольшой концентрации закись азота значительно подавляет вентиляторную реакцию на гипоксию (Yacoub et al., 1975). В связи с этим при введении закиси азота необходимо следить за Р,02.
ЦНС. Закись азота может существенно повышать мозговой кровоток и внутричерепное давление. При ее сочетании с неингаляционными анестетиками мозговой кровоток может увеличиваться не столь значительно или даже не меняться. Расширяющее действие закиси азота на церебральные сосуды несколько уменьшается также при одновременном введении ее с галоген замешенными ингаляционными анестетиками.
Мышцы. Закись азота не расслабляет скелетные мышцы и не усиливает действие миорелаксантов. В отличие от галогензамещенных анестетиков, закись азота не вызывает злокачественную гипертермию.
Почки, печень и ЖКТ. Закись азота не нарушает функцию почек и печени и не обладает нефро- или гепатотоксическим действием.
Ксенон[править | править код]
Ксенон — инертный газ, чьи анестезирующие свойства были впервые обнаружены в 1951 г. (Cullen and Gross, 1951). Ксенон не разрешен к применению в США и вряд ли будет широко использоваться, поскольку искусственно он не синтезируется и должен выделяться из воздуха, где содержится в очень малых количествах; поэтому он очень дорог. Тем не менее ксенон — почти идеальный ингаляционный анестетик, что позволяет использовать его в критических случаях (Lynch et al., 2000).
Ксенон крайне плохо растворяется в крови и других тканях, что обеспечивает быстрое наступление и окончание анестезии (табл. 14.1). Хирургическая стадия анестезии достигается при вдыхании ксенона в смеси с 30% кислорода. Особенно важно, что ксенон имеет очень мало побочных эффектов. Он не влияет на сердечный ритм и сердечный выброс, почти не меняет ОПСС, не нарушает дыхание и не обладает гепато- и нефротоксичностью. Наконец, ксенон не метаболизируется в организме. Таким образом, если бы удалось получать ксенон в достаточном количестве, он мог бы найти широкое применение.
Читайте также[править | править код]
- Анестезиология
- История анестезиологии
- Анестезия в предоперационный период
- Анестезия в интраоперационный период
- Местная анестезия
- Анестезия в послеоперационный период
- Общие анестетики
- Местные анестетики
- Средства для наркоза
- Вспомогательные обезболивающие средства
- Окись азота в организме
- Гелий (вдыхание)
