Местные противогрибковые средства — различия между версиями
Dormiz (обсуждение | вклад) (→Полиеновые противогрибковые средства) |
Lmass (обсуждение | вклад) (→Препараты для местного применения) |
||
| Строка 5: | Строка 5: | ||
[[Противогрибковые средства (препараты)|Противогрибковых средств]] для местного применения -великое множество. Многие из старых препаратов, таких, как генциановый фиолетовый, карболовый фуксин, акризорцин, триацетин, сера, йод и аминакрин, теперь почти не используют; сведения о них можно найти в предыдущих изданиях этой книги. Из рассматриваемых здесь средств для нанесения на кожу предпочтение отдается кремам и растворам. Мази помимо того, что пачкают одежду слишком герметично закрывают кожу, препятствуя доступу воздуха и испарению влаги, особенное складках, где и так часто возникает мацерация и образуются трещины. Порошки (в виде присыпок или аэрозолей) используют в основном при поражении стоп и при мокнущих очагах в складках кожи (например, в паху). | [[Противогрибковые средства (препараты)|Противогрибковых средств]] для местного применения -великое множество. Многие из старых препаратов, таких, как генциановый фиолетовый, карболовый фуксин, акризорцин, триацетин, сера, йод и аминакрин, теперь почти не используют; сведения о них можно найти в предыдущих изданиях этой книги. Из рассматриваемых здесь средств для нанесения на кожу предпочтение отдается кремам и растворам. Мази помимо того, что пачкают одежду слишком герметично закрывают кожу, препятствуя доступу воздуха и испарению влаги, особенное складках, где и так часто возникает мацерация и образуются трещины. Порошки (в виде присыпок или аэрозолей) используют в основном при поражении стоп и при мокнущих очагах в складках кожи (например, в паху). | ||
| − | |||
| − | |||
== Имидазолы и триазолы для местного применения == | == Имидазолы и триазолы для местного применения == | ||
Текущая версия на 13:10, 8 июля 2015
Источник:
Клиническая фармакология по Гудману и Гилману том 3.
Редактор: профессор А.Г. Гилман Изд.: Практика, 2006 год.
Содержание
Препараты для местного применения[править | править код]
При многих поверхностных грибковых инфекциях (ограниченных роговым слоем эпидермиса, эпителием слизистых или роговицей) с успехом применяют местное лечение. К таким инфекциям относятся дерматофитии, поверхностный кандидоз, отрубевидный лишай, пьедра, кладоспориоз и грибковый кератит. При поражении ногтей и волос (онихомикозы, дерматофития волосистой части головы) препараты для местного применения часто неэффективны, а при поражении подкожной клетчатки (споротрихоз, хромомикоз) эти препараты вовсе не используют. Эффективность местного лечения поверхностных грибковых инфекций зависит не только от возбудителя и действующего вещества, но и от вязкости, гидрофобности и pH лекарственной формы. При гиперкератозе проникновение препаратов в очаг поражения (вне зависимости от их лекарственной формы) затруднено. В таких случаях полезно сначала удалить роговые наслоения, например с помощью мази Уитфилда (см. ниже).
Противогрибковых средств для местного применения -великое множество. Многие из старых препаратов, таких, как генциановый фиолетовый, карболовый фуксин, акризорцин, триацетин, сера, йод и аминакрин, теперь почти не используют; сведения о них можно найти в предыдущих изданиях этой книги. Из рассматриваемых здесь средств для нанесения на кожу предпочтение отдается кремам и растворам. Мази помимо того, что пачкают одежду слишком герметично закрывают кожу, препятствуя доступу воздуха и испарению влаги, особенное складках, где и так часто возникает мацерация и образуются трещины. Порошки (в виде присыпок или аэрозолей) используют в основном при поражении стоп и при мокнущих очагах в складках кожи (например, в паху).
Имидазолы и триазолы для местного применения[править | править код]
Как уже было сказано выше, имидазолы и триазолы — близкие по структуре синтетические противогрибковые средства, применяемые как местно, так и системно. Местно их назначают при дерматофитиях, отрубевидном лишае, кандидозе кожи и слизистых. У дерматофитов устойчивость к этим противогрибковым средствам возникает очень редко. При выборе препарата следует ориентироваться на стоимость и доступность, поскольку от чувствительности возбудителя in vitro успех лечения почти не зависит.
Средства для нанесения на кожу[править | править код]
Эти препараты эффективны при дерматофитии туловища и стоп, паховой дерматофитии, отрубевидном лишае и кандидозе кожи. Их следует наносить 2 раза в сутки в течение 3—6 нед. In vitro такие средства проявляют небольшую антибактериальную активность, но клинического значения она не имеет. Средства для нанесения на кожу не годятся для лечения грибковых инфекций влагалища, глаз и полости рта. Средства для интравагинального применения. Влагалищные кремы, свечи и таблетки — препараты выбора при кандидозном вульвовагините. Несмотря на некоторую активность in vitro в отношении трихомонад, при трихомонадном вагините эти средства неэффективны. Все они вводятся 1 раз в сутки, обычно на ночь, чтобы обеспечить более длительное нахождение препарата во влагалище. Большинство влагалищных кремов вводят в количестве 5 г. Таблетки клотримазола, свечи с миконазолом и терконазоловый крем производятся в двух вариантах: с высоким и низким содержанием препарата. Чем выше содержание препарата, тем короче курс лечения. Все средства для интравагинального применения вводят в течение 3—7 сут, за исключением таблеток клотримазола по 500 мг и тиоконазоловой мази, которые назначают однократно. Примерно 3—10% препарата попадает из влагалища в системный кровоток. Хотя у грызунов имидазолы эмбриотоксичны, у человека вредного воздействия азолов на плод не отмечено. Самый частый побочный эффект — зуд и жжение во влагалище. Возможно легкое раздражение полового члена у партнера. Из-за химического сходства все эти препараты, по-видимому, способны вызывать перекрестные аллергические реакции.
Средства для местного применения в полости рта[править | править код]
Пастилки с клотримазолом (10 мг) показаны только при кандидозном стоматите и не оказывают системного действия. Больных предупреждают, что пастилки нужно рассасывать до конца. Клотримазол. Структурная формула клотримазола следующая:
обычно вводят по 100 мг на ночь в течение 7 сут, 200 мг на ночь в течение 3 сут или 500 мг на ночь однократно; влагалищный крем — по 5 г на ночь в течение 3 сут (2% крем) или в течение 7 сут (1% крем). Беременным назначают по 1 влагалищной таблетке (100 мг) в течение 7 сут. Пастилки нужно медленно рассасывать во рту 5 раз в сутки в течение 2 нед.
Эффективность клотримазола при дерматофитиях колеблется от 60 до 100%, при кандидозе кожи — от 80 до 100%. При кандидозном вульвовагините после 7-дневного курса лечения (100 мг/сут) выздоровление наступает более чем в 80% случаев. Результаты 3-дневного курса лечения (200 мг/сут) и однократного введения (500 мг) примерно одинаковы. При всех схемах лечения вульвовагинит часто рецидивирует. При кандидозном стоматите в отсутствие иммунодефицита эффективность пастилок достигает 100%.
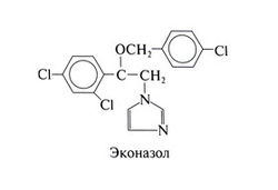
Эконазол. Этот препарат представляет собой производное миконазола и отличается от последнего лишь отсутствием одного атома хлора. Структурная формула эконазола следующая:
Эконазол легко проникает в роговой слой эпидермиса. В терапевтических концентрациях он обнаруживается и глубже, вплоть до средних слоев дермы, однако в кровь всасывается менее 1% нанесенного на кожу препарата. Примерно у 3% больных в месте нанесения возникают гиперемия, жжение, покалывание и зуд.
Эконазола нитрат выпускают в виде 1% крема на гидрофильной основе, который наносится на кожу 2 раза в сутки.
Миконазол. Этот препарат очень близок по структуре к эконазолу:
При нанесении на неповрежденную кожу клотримазол всасывается менее чем на 0,5%, а из влагалища — на 3—10%. Во влагалище фунгицидная концентрация сохраняется в течение 3 сут после введения. Всосавшийся препарат метаболизируется в печени и выводится с желчью. У взрослых после приема в дозе 200 мг/сут сывороточная концентрация клотримазола сначала достигает 0,2—0,35 мкг/мл, после чего постепенно снижается.
У небольшой части больных при нанесении на кожу клотримазол может вызвать покалывание, покраснение, отек, образование пузырей, шелушение, зуд и крапивницу. При введении во влагалище 1,6% женщин жалуются на легкое жжение; в редких случаях возникают боль внизу живота, незначительное учащение мочеиспускания и сыпь. У полового партнера иногда наблюдаются раздражение полового члена и боль при мочеиспускании. При употреблении пастилок у 5% больных возникают желудочно-кишечные нарушения.
Применение. Клотримазол выпускают в виде 1% крема, лосьона и раствора, 1 и 2% влагалищного крема и влагалищных таблеток по 100,200 и 500 мг, а также в виде пастилок по 10 мг. На кожу препарат наносится дважды в сутки.
Миконазол хорошо проникает в роговой слой эпидермиса и сохраняется там в течение 4 сут после нанесения. При нанесении на кожу в кровь всасывается менее 1%, из влагалища — менее 1,3%.
При введении во влагалище примерно в 7% случаев возникают жжение, зуд и раздражение; реже наблюдаются схваткообразная боль внизу живота (0,2%), головная боль, крапивница и сыпь. При нанесении на кожу изредка отмечаются раздражение, жжение и мацерация. Миконазол считается безопасным во время беременности, хотя некоторые авторы не рекомендуют назначать его в I триместре.
Применение. Миконазола нитрат выпускают в виде мази, крема, раствора, аэрозоля, присыпки и лосьона. При поражении кожных складок во избежание мацерации следует использовать только лосьон. Для интравагинального применения производят 2 и 4% крем и влагалищные свечи по 100 и 200 мг. Препарат вводят глубоко во влагалище на ночь в течение 7 сут (2% крем или свечи по 100 мг) или 3 сут (4% крем или свечи по 200 мг).
При отрубевидном лишае, паховой дерматофитии и дерматофитии стоп эффективность миконазола достигает 90%. У больных, лечившихся по поводу кандидозного вульвовагинита, через 1 мес возбудителя не обнаруживают в 80—95% случаев, а зуд иногда проходит уже после введения первой дозы. Миконазол может оказаться эффективным и при вагините, вызванном Candida glabrata.
Терконазол и бутоконазол. Терконазол — кетопроизводное триазола — близок по структуре к кетоконазолу. Химическая формула терконазола следующая:
По механизму действия терконазол ближе к имидазолам. Влагалищные свечи по 80 мг вводят на ночь в течение 3 сут, а 0,4 и 0,8% влагалищный крем — соответственно в течение 7 и 3 сут. При кандидозном вульвовагините по переносимости и эффективности терконазол не уступает клотримазолу.
Бутоконазол представляет собой имидазол, близкий по свойствам к клотримазолу. Структурная формула бутоконазола следующая:
Бутоконазола нитрат выпускают в виде 2% влагалищного крема, который вводят на ночь в течение 3 сут. При беременности требуется более длительное лечение — в течение 6 сут (в I триместре препарат противопоказан).
Тиоконазол. Этот препарат тоже применяют при кандидозном вульвовагините. Мазь, содержащая 6,5% препарата, вводится во влагалище однократно на ночь в количестве 4,6 г. Оксиконазол и сулконазол. Эти имидазолы используют для местного лечения дерматофитий. Оксиконазола нитрат выпускают в виде крема и лосьона, а сулконазола нитрат — в виде крема и раствора.
Циклопирокс[править | править код]
Циклопирокс (циклопирокс оламин) обладает широким противогрибковым спектром. Его структурная формула следующая:
Циклопирокс фунгициден в отношении Candida albicans, Epidermophyton floccosum, Microsporum canis, Trichophyton mentagrophytes и Trichophyton rubrum. Кроме того, препарат подавляет рост Pityrosporum ovale (старое название — Malassezia furfur). Препарат применяют при кандидозе кожи, паховой дерматофитии, дерматофитии туловища и стоп, отрубевидном лишае. Эффективность препарата при этих инфекциях, по разным данным, колеблется от 81 до 94%. После нанесения на кожу циклопирокс проникает в дерму, но даже под окклюзионной повязкой в кровь всасывается менее чем на 1,5%. В организме он не накапливается, так как Т1/2 равен 1,7 ч. Циклопирокс проникает в волосяные фолликулы и сальные железы. Местных побочных эффектов не вызывает; иногда возникают аллергические реакции. Препарат выпускают в виде 1% крема и лосьона.
Галопрогин[править | править код]
Галопрогин представляет собой эфир трихлорфенола со следующей структурой:
Галопрогин фунгициден в отношении многих видов Epidermophyton spp., Pityrosporum spp., Microsporum spp., Trichophyton spp. и Candida spp. Из побочных эффектов возможны раздражение, зуд, жжение, везикулы и мацерация. Иногда на фоне лечения поражение прогрессирует, особенно на ногах при ношении закрытой обуви. Галопрогин плохо всасывается через кожу; в организме он превращается в трихлорфенол. Системная токсичность при нанесении на кожу незначительна.
Крем или раствор с галопрогином наносят дважды в сутки в течение 2—4 нед. Основное показание — дерматофития стоп; при этом заболевании галопрогин по эффективности (около 80%) сравним с толнафтатом (см. ниже). Кроме того, галопрогин используют при паховой дерматофитии, дерматофитии туловища и кистей, отрубевидном лишае.
Толнафтат[править | править код]
Толнафтат относится к тиокарбаматам и имеет следующую структуру:
Толнафтат эффективен при большинстве грибковых инфекций кожи, вызванных Trichophyton rubrum. Trichophyton men-tagrophytes, Trichophyton tonsurans, Epidermophyton floccosum, Microsporum canis, Microsporum audounii, Microsporum gypseum и Pityrosporum ovale. При кандидозе он бесполезен. При дерматофитии стоп эффективность толнафтата составляет около 80% (для сравнения, у миконазола этот показатель составляет около 95%). Ни токсических, ни аллергических реакций на толнафтат не отмечено.
Толнафтат выпускают в виде крема, геля, присыпки, раствора и аэрозолей, содержащих препарат в жидкой или порошкообразной форме (спрей-пудры). Концентрация действующего вещества во всех лекарственных формах составляет 1%. Препарат наносят дважды в сутки. Зуд обычно уменьшается через 24—72 ч. Межпапьцевая дерматофития во многих случаях полностью излечивается через 1—3 нед.
Нафтифин[править | править код]
Нафтифин (нафтифина гидрохлорид) — представитель аллиламинов имеет следующую структурную формулу:
Аллиламины — синтетические препараты, подавляющие синтез эргостерина путем ингибирования скваленэпоксидазы. In vitro нафтифин оказывает фунгицидное действие на многие виды грибов. Нафтифин выпускают в виде 1% крема или геля. Препарат наносят 2 раза в сутки при паховой дерматофитии и дерматофитии туловища. Помимо официальных показаний нафтифин, вероятно, эффективен при кандидозе кожи и отрубевидном лишае. Препарат хорошо переносится, хотя в 3% случаев возникает местное раздражение. Есть сообщения об аллергическом контактном дерматите.
Тербинафин[править | править код]
Крем с тербинафином наносят 2 раза в сутки при дерматофитии стоп, туловища и паховой дерматофитии. Кроме того, препарат применяют при кандидозе кожи и отрубевидном лишае, хотя в отношении Candida spp. и Pityrosporum ovale тербинафин менее активен, чем в отношении дерматофитов. По данным европейских исследователей, при дерматофитиях (в том числе при онихомикозах) эффективен прием тербинафина внутрь. Системное применение тербинафина обсуждалось выше.
Бутенафин[править | править код]
Бутенафин (бутенафина гидрохлорид) — производное бензила-мина. По механизму действия и противогрибковой активности препарат близок к тербинафину и нафтифину.
Полиеновые противогрибковые средства[править | править код]
Нистатин. Этот препарат был разработан в Медицинской лаборатории штата Нью-Йорк, в честь которой он и назван (NY State). Нистатин представляет собой тетраеновый макролид, синтезируемый Streptomyces noursei. По строению и механизму действия он близок к амфотерицину В. В ЖКТ, во влагалище и с поверхности кожи нистатин не всасывается. Липосомная форма нистатина проходит испытания при фунгемии, вызванной Candida spp.
Нистатин используют только при кандидозе и выпускают в виде лекарственных форм для нанесения на кожу, интравагинального применения и приема внутрь. При поражении ногтей, гиперкератозе и корках нистатин неэффективен. Лекарственные формы для местного применения — мази, кремы и присыпки — содержат 100 ООО ед/r нистатина. При мокнутии предпочтительны присыпки, которые наносят 2—3 раза в сутки. Кремы и мази наносят 2 раза в сутки. Кроме того, нистатин входит в состав комбинированных препаратов, содержащих также антибактериальные средства и глюкокортикоиды. Аллергические реакции на нистатин крайне редки.
Влагалищные таблетки содержат 100 000 ед нистатина и вводятся 1 раз в сутки в течение 2 нед. Они хорошо переносятся, но менее эффективны при кандидозном вульвовагините, чем имидазолы и триазолы.
Суспензию нистатина (100 000 ед/мл) назначают 4 раза в сутки. Для недоношенных и маловесных новорожденных доза составляет 1 мл, для грудных детей — 2 мл, а для детей постарше и взрослых — 4—6 мл. Детям старшего возраста и взрослым следует рекомендовать прополоскать рот суспензией, а затем проглотить ее. Иначе горький вкус может заставить больного выплюнуть препарат, и последний не окажет действия на слизистую пищевода и задней стенки глотки. Суспензия нистатина имеет горький вкус и иногда вызывает тошноту, а в остальном переносится хорошо. Раньше нистатин применяли в виде таблеток для приема внутрь (по 500 000 ед) для снижения колонизации кишечника грибами рода Candida. Считалось, что таким образом можно предупредить рецидивы кандидозного вульвовагинита и снизить риск кандидоза ЖКТ у больных с нейтропенией. Однако тщательные исследования не подтвердили эффективность такого лечения.
Амфотерицин В. Препараты амфотерицина В для местного применения (лосьон, крем и мазь, содержащие 3% действующего вещества) назначают при кандидозе кожи и слизистых. Препарат наносят 2—4 раза в сутки. Системное применение амфотерицина В обсуждалось выше.

