Спорт-вики — википедия научного бодибилдинга
Список файлов
Эта служебная страница показывает все загруженные файлы.
| Дата | Имя файла | Миниатюра | Размер | Описание | Версий |
|---|---|---|---|---|---|
| 16:49, 30 ноября 2016 | GlutaminRis 9.jpg (файл) | 24 КБ | Влияние 56-дневного однократного перорального приема нестероидного хелатного магниевого соединения Глицил-L-Глутамина (40 мг Mg, 240 мг L-Глут… | 1 | |
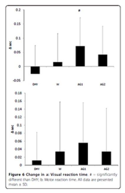
| 16:48, 30 ноября 2016 | GlutaminRis 8.jpg (файл) | 26 КБ | Изменение показателей времени визуальной и моторной реакции в процессе 40-минутной баскетбольной игры в четырех исследованиях: DHY – без р… | 1 | |
| 16:46, 30 ноября 2016 | GlutaminRis 7.jpg (файл) | 34 КБ | Изменение показателей времени визуальной и моторной реакции в процессе 40-минутной баскетбольной игры в четырех исследованиях: DHY – без р… | 1 | |
| 16:38, 30 ноября 2016 | GlutaminRis 6.jpg (файл) | 44 КБ | Изменение показателей времени реакции (левая диаграмма) и точности бросков (правая диаграмма) в процессе 40-минутной баскетбольной игры в… | 1 | |
| 16:35, 30 ноября 2016 | GlutaminRis 5.jpg (файл) | 22 КБ | Изменение показателей времени моторной реакции (диаграммы слева), времени визуальной реакции (диаграммы посередине) и времени физическо… | 1 | |
| 16:35, 30 ноября 2016 | GlutaminRis 4.jpg (файл) | 16 КБ | Потеря веса тела у спортсменов за 1 час бега (по оси ординат в кг) без периодического восполнения потерь (DHY) и на фоне употребления спортна… | 1 | |
| 16:34, 30 ноября 2016 | GlutaminRis 3a.jpg (файл) | 50 КБ | Протокол исследования G.J.Pruna (2014) | 1 | |
| 16:32, 30 ноября 2016 | Glutamin Ris 1a.jpg (файл) | 37 КБ | Рис.1. Показатели устойчивости L-Аланил-L-Глутамина (AlaGln) и L-Глутамина (Gln) при температуре 37 гр.С (графики слева) и 122 гр.С (диаграммы справа). Н… | 1 | |
| 16:30, 30 ноября 2016 | GlutaminRis 3.jpg (файл) | 29 КБ | Динамика изменения концентрации L-Глутамина в плазме крови (ммол/л, ось ординат) здоровых добровольцев после однократного перорального в… | 1 | |
| 16:30, 30 ноября 2016 | GlutaminRis 2a.jpg (файл) | 11 КБ | Mg-Глицил-L-Глутамин | 1 | |
| 16:29, 30 ноября 2016 | GlutaminRis 2.jpg (файл) | 33 КБ | Динамика изменения концентрации L-Глутамина в плазме крови здоровых добровольцев | 1 | |
| 16:28, 30 ноября 2016 | Ris 1 khim struktura.jpg (файл) | 21 КБ | Химическая структура L-Глутамина и двух основных его дипептидов: L-Аланил-L-Глутамин и Глицил-L-Глутамин | 1 | |
| 18:45, 23 ноября 2016 | Tablitsa 14 sportivnye napitki.jpg (файл) | 68 КБ | Показатели гидратированности организма спортсмена для практического применения (Ch.A.Machado-Moreira и соавт., 206) | 1 | |
| 18:44, 23 ноября 2016 | Ris 9 sportivnye napitki.jpg (файл) | 71 КБ | Результаты исследований влияния напитка «Recharge» | 1 | |
| 18:43, 23 ноября 2016 | Ris 8 sportivnye napitki.jpg (файл) | 68 КБ | Результаты исследований влияния напитка «Recharge» | 1 | |
| 18:42, 23 ноября 2016 | Ris 7 sportivnye napitki.jpg (файл) | 85 КБ | Влияние напитка "Recharge" на мышечные функции футболистов в сравнении с другими смесями (J.D.Philpott и соавт., 2016). | 1 | |
| 18:42, 23 ноября 2016 | Ris 6 sportivnye napitki.jpg (файл) | 76 КБ | Методы и дизайн исследований мышечных функций футболистов высшего дивизиона английской Премьер-лиги в работе J.D.Philpott и соавторов в 2016 го… | 1 | |
| 17:26, 23 ноября 2016 | Ris 10 sportivnye napitki.jpg (файл) | 68 КБ | Инновационные «системы контроля гидратации» | 1 | |
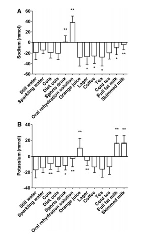
| 17:14, 23 ноября 2016 | Ris 5 sportivnye napitki.jpg (файл) | 34 КБ | Влияние различных напитков при приеме внутрь на выделение натрия и калия | 1 | |
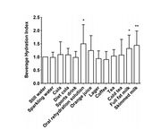
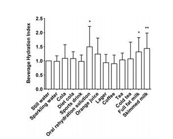
| 17:13, 23 ноября 2016 | Ris 4 sportivnye napitki.jpg (файл) | 22 КБ | Величины Гидратационного Индекса Напитка - ГИН для серии стандартных напитков | 1 | |
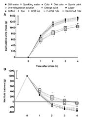
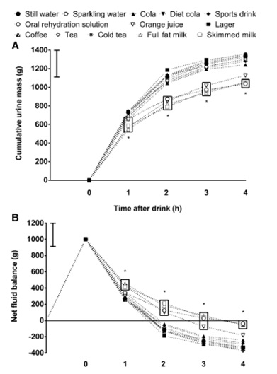
| 17:12, 23 ноября 2016 | Ris 3 sportivnye napitki.jpg (файл) | 40 КБ | Влияние различных напитков при приеме внутрь на кумулятивный объем мочи и жидкостной баланс | 1 | |
| 17:10, 23 ноября 2016 | Ris 2 sportivnye napitki.jpg (файл) | 40 КБ | Средние величины потоотделения мл/час (ось ординат) в различных видах спорта (ось абсцисс). | 1 | |
| 16:55, 23 ноября 2016 | Ris 1 sportivnye napitki.jpg (файл) | 22 КБ | Сравнительная характеристика регидратирующих растворов (черный столбик – вода, синий – раствор с глюкозой, красный – раствор смеси угл… | 1 | |
| 19:31, 17 ноября 2016 | Ris 1 Farmakokinetika kreatina.jpg (файл) | 20 КБ | Профиль концентрация/время креатина в крови после введения 5 г. креатина моногидрата здоровым добровольцам. | 1 | |
| 19:26, 17 ноября 2016 | Khimicheskaya struktura kreatina.jpg (файл) | 43 КБ | Структура, физико-химические свойства и метаболизм креатина | 1 | |
| 18:59, 12 ноября 2016 | Kniga beg37.jpg (файл) | 135 КБ | Техника бега на длинные дистанции | 1 | |
| 18:56, 12 ноября 2016 | Kniga beg36.jpg (файл) | 73 КБ | Техника бега на средние дистанции | 1 | |
| 18:54, 12 ноября 2016 | Kniga beg35.jpg (файл) | 56 КБ | Старт на 200 м | 1 | |
| 18:53, 12 ноября 2016 | Kniga beg34.jpg (файл) | 25 КБ | Финиширование | 1 | |
| 18:53, 12 ноября 2016 | Kniga beg32.jpg (файл) | 23 КБ | Постановка стопы при спринтерском беге | 1 | |
| 18:52, 12 ноября 2016 | Kniga beg33.jpg (файл) | 23 КБ | Положение кистей рук во время бега | 1 | |
| 18:51, 12 ноября 2016 | Kniga beg31.jpg (файл) | 175 КБ | Бег по короткой дистанции | 1 | |
| 18:50, 12 ноября 2016 | Kniga beg30.jpg (файл) | 94 КБ | Техника стартового разгона | 1 | |
| 18:48, 12 ноября 2016 | Kniga beg29.jpg (файл) | 36 КБ | Команды низкого старта | 1 | |
| 18:14, 12 ноября 2016 | Kniga beg25.jpg (файл) | 85 КБ | 1 | ||
| 18:09, 12 ноября 2016 | Kniga beg28.jpg (файл) | 44 КБ | Глубокие приседания со штангой, Подъем ног из положения сидя и лежа | 1 | |
| 18:08, 12 ноября 2016 | Kniga beg27.jpg (файл) | 51 КБ | Жим ногами на тренажере «Ножной пресс», Приседания с гантелями, Полуприседания со штангой, Выпады со штангой | 1 | |
| 18:06, 12 ноября 2016 | Kniga beg26.jpg (файл) | 85 КБ | Упражнение на пресс, «Уголок» в висе, «Уголок» на наклонной скамье, поднятие ног, «Уголок» на наклонной скамье, поднятие туловища, Махи но… | 1 | |
| 18:03, 12 ноября 2016 | Kniga beg24.jpg (файл) | 65 КБ | Приседания на одной ноге, «Пистолетик», Поднимание туловища с колен | 1 | |
| 18:02, 12 ноября 2016 | Kniga beg23.jpg (файл) | 65 КБ | Выпады и Приседания на одной ноге с поддержкой | 1 | |
| 17:57, 12 ноября 2016 | Kniga beg22.jpg (файл) | 47 КБ | Приседания | 1 | |
| 17:41, 12 ноября 2016 | Kniga beg21.jpg (файл) | 36 КБ | Наклоны из положения барьерного шага | 1 | |
| 17:39, 12 ноября 2016 | Kniga beg20.jpg (файл) | 103 КБ | Наклоны к ноге | 1 | |
| 17:37, 12 ноября 2016 | Kniga beg19.jpg (файл) | 60 КБ | «Пружина» и Наклоны к ноге на перекладине | 1 | |
| 17:35, 12 ноября 2016 | Kniga beg18.jpg (файл) | 70 КБ | Растяжка бедра | 1 | |
| 17:34, 12 ноября 2016 | Kniga beg17.jpg (файл) | 15 КБ | Полуприседания | 1 | |
| 17:33, 12 ноября 2016 | Kniga beg16.jpg (файл) | 31 КБ | Наклоны к ногам | 1 | |
| 17:32, 12 ноября 2016 | Kniga beg15.jpg (файл) | 47 КБ | Положение тела при наклонах вперед — назад | 1 | |
| 17:31, 12 ноября 2016 | Kniga beg14.jpg (файл) | 28 КБ | Положения туловища при поворотах корпуса | 1 | |
| 17:26, 12 ноября 2016 | Kniga beg13.jpg (файл) | 36 КБ | Положение туловища при наклонах в стороны | 1 |
