Спорт-вики — википедия научного бодибилдинга
Список файлов
Эта служебная страница показывает все загруженные файлы.
| Дата | Имя файла | Миниатюра | Размер | Описание | Версий |
|---|---|---|---|---|---|
| 17:43, 28 декабря 2016 | Omega3 Ris 4.jpg (файл) | 21 КБ | Влияние омега-3 ПНЖК в дозе 4 г/день в течение 8 недель на концентрацию мышечных протеинов | 1 | |
| 17:40, 28 декабря 2016 | Ris 3 mekhanizm d-ya omega-3 PNZhK.jpg (файл) | 60 КБ | Механизмы действия омега-3 ПНЖК на клеточном уровне. | 1 | |
| 17:35, 28 декабря 2016 | Ris 2 metabolizm omega-3 PNZhK.jpg (файл) | 37 КБ | Процесс образования ЕРА и DHA в организме из ALA. | 1 | |
| 17:33, 28 декабря 2016 | Ris 1 struktura omega-3 PNZhK.jpg (файл) | 30 КБ | Рис.1. Химическая структура основных омега-3 ПНЖК | 1 | |
| 19:51, 16 декабря 2016 | Summarnaya skhema.jpg (файл) | 80 КБ | Суммарная схема точек приложения и механизмов действия нейростимулирующих и нейропротективных БАДов в спортивной медицине | 1 | |
| 19:48, 16 декабря 2016 | Neirostimulyatori Ris 20.jpg (файл) | 5 КБ | Химическая структура L-теанина (THE) | 1 | |
| 19:47, 16 декабря 2016 | Neirostimulyatori Ris 19.jpg (файл) | 9 КБ | Химическая структура некоторых флавоноидов Гинко Билоба | 1 | |
| 19:46, 16 декабря 2016 | Neirostimulyatori Ris 18.jpg (файл) | 22 КБ | Влияние кверцетина на интенсивность гиперальгезии у мышей (ось ординат, в баллах) после плавательного теста в течение 48 часов (время в час… | 1 | |
| 19:44, 16 декабря 2016 | Neirostimulyatori Ris 17.jpg (файл) | 21 КБ | Изменения уровней мышечной митохондриальной ДНК (количество копий, ось ординат) в vastus lateralis четырехглавой мышцы бедра после 2-х недельног… | 1 | |
| 19:44, 16 декабря 2016 | Neirostimulyatori Ris 16.jpg (файл) | 16 КБ | Изменения пройденной дистанции (метры, ось ординат) в 12-минутном тесте на беговой дорожке под влиянием кверцетина в дозе 1000 мг/день в тече… | 1 | |
| 19:43, 16 декабря 2016 | Neirostimulyatori Ris 15.jpg (файл) | 15 КБ | Изменение концентрации кверцетина в плазме крови (мкг/л, ось ординат) после приема кверцетина в дозе 1000 мг/день в течение 2-х недель (темные… | 1 | |
| 19:13, 16 декабря 2016 | Neirostimulyatori Ris 14.jpg (файл) | 13 КБ | Динамика изменений (ось абсцисс, время в часах после приема кофе) концентрации кофеина в плазме крови (ось ординат, мкг/мл) у мужчин при пе… | 1 | |
| 19:11, 16 декабря 2016 | Neirostimulyatori Ris 13.jpg (файл) | 9 КБ | Влияние PS в дозе 200 мг/день (столбики справа) по сравнению с плацебо (столбики слева) в течение 42 дней перорального применения на число точн… | 1 | |
| 19:10, 16 декабря 2016 | Neirostimulyatori Ris 12.jpg (файл) | 13 КБ | Влияние PS на когнитивные функции человека. Синие столбики – плацебо, салатные – PS в дозе 100 мг/день после 3-х и 6-и месяцев приема внутрь оди… | 1 | |
| 19:08, 16 декабря 2016 | Neirostimulyatori Ris 11.jpg (файл) | 17 КБ | Влияние 10-дневного перорального применения PS (желтые столбики) или плацебо (красные столбики) на уровень тестостерона (графики слева), кор… | 1 | |
| 19:00, 16 декабря 2016 | Neirostimulyatori Ris 10.jpg (файл) | 20 КБ | Влияние PS в дозе 750 мг/день (столбики слева) и плацебо (столбики слева) на болезненность мышц у футболистов (шкала субъективной оценки – ос… | 1 | |
| 19:00, 16 декабря 2016 | Neirostimulyatori Ris 9.jpg (файл) | 12 КБ | Влияние PS в дозе 750 мг/день на время истощения спортсменов на велотренажере (ось ординат мин.). | 1 | |
| 18:59, 16 декабря 2016 | Neirostimulyatori Ris 8.jpg (файл) | 30 КБ | Результаты исследования у тяжелоатлетов влияния PS (желтые линии) или плацебо (красные линии) на болезненность мышц (графики слева) и субъе… | 1 | |
| 18:57, 16 декабря 2016 | Neirostimulyatori Ris 7.jpg (файл) | 6 КБ | Химическая структура Фосфатидил-серина (PS) | 1 | |
| 18:55, 16 декабря 2016 | Neirostimulyatori Ris 6.jpg (файл) | 16 КБ | Изменение показателей в изометрических тестах IMTP (левый график) и UBIST (правый график) у спортсменов-любителей после 6 дней приема A-GPC или пл… | 1 | |
| 18:54, 16 декабря 2016 | Neirostimulyatori Ris 5.jpg (файл) | 11 КБ | Влияние CRAM (синие столбики) и плацебо (красные столбики) на показатели реакции испытуемых | 1 | |
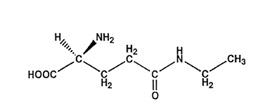
| 18:53, 16 декабря 2016 | Neirostimulyatori Ris 4.jpg (файл) | 6 КБ | Химическая структура альфа-глицерил-фосфорил-холина (A-GPC) | 1 | |
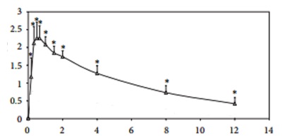
| 18:42, 16 декабря 2016 | Neirostimulyatori Ris 3.jpg (файл) | 18 КБ | Динамика концентрации уридина в плазме крови (ось ординат, микромол) после приема внутрь цитиколина в дозах 500 мг (треугольники), 2000 мг (ква… | 1 | |
| 18:41, 16 декабря 2016 | Neirostimulyatori Ris 2.jpg (файл) | 16 КБ | Динамика концентрации холина в плазме крови (ось ординат, микромол) после приема внутрь цитиколина в дозах 500 мг (треугольники), 2000 мг (квад… | 1 | |
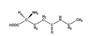
| 18:40, 16 декабря 2016 | Ris 1 khimich struktura tsitikolina.jpg (файл) | 7 КБ | Структура цитиколина. Формула: C14H27N4O11P2+ | 1 | |
| 18:35, 16 декабря 2016 | Khimicheskaya struktura kholina.jpg (файл) | 4 КБ | холин | 1 | |
| 12:47, 10 декабря 2016 | Treni remni17.jpg (файл) | 12 КБ | Положение лежа боком на полу | 1 | |
| 12:46, 10 декабря 2016 | Treni remni16.jpg (файл) | 12 КБ | Положение лежа лицом вниз, стопы вложены в петли подвесных ремней | 1 | |
| 12:46, 10 декабря 2016 | Treni remni15.jpg (файл) | 12 КБ | Положение лежа лицом вниз, рукояти подвесных ремней в руках | 1 | |
| 12:45, 10 декабря 2016 | Treni remni14.jpg (файл) | 9 КБ | Положение лежа лицом вверх, стопы вложены в петли подвесных ремней | 1 | |
| 12:44, 10 декабря 2016 | Treni remni13.jpg (файл) | 12 КБ | Положение стоя боком к якорю | 1 | |
| 12:44, 10 декабря 2016 | Treni remni12.jpg (файл) | 12 КБ | Положение стоя спиной к якорю | 1 | |
| 12:43, 10 декабря 2016 | Treni remni11.jpg (файл) | 11 КБ | Положение стоя лицом к якорю | 1 | |
| 01:45, 10 декабря 2016 | Treni remni9.jpg (файл) | 7 КБ | Планка лицом вверх | 1 | |
| 01:44, 10 декабря 2016 | Treni remni8.jpg (файл) | 7 КБ | Планка | 1 | |
| 01:44, 10 декабря 2016 | Treni remni7.jpg (файл) | 20 КБ | Сверху: правильное нейтральное положение позвоночника сидя. В середине: уплощенная поясница (неправильная форма). Внизу: избыточный изги… | 1 | |
| 01:43, 10 декабря 2016 | Treni remni6.jpg (файл) | 22 КБ | Сверху: правильное нейтральное положение позвоночника в стойке на руках и коленях. В середине: уплощенная поясница (неправильная форма).… | 1 | |
| 01:41, 10 декабря 2016 | Treni remni5.jpg (файл) | 18 КБ | Сверху: правильное нейтральное положение позвоночника лежа. В середине: уплощенная поясница (неправильная форма). Внизу: избыточный изги… | 1 | |
| 01:41, 10 декабря 2016 | Treni remni4.jpg (файл) | 19 КБ | Нейтральное положение позвоночника стоя | 1 | |
| 23:43, 8 декабря 2016 | Skhema 3 k obzoru vit D v sporte.jpg (файл) | 30 КБ | Взаимодействие витамина D, факторов образования костной ткани, инсулина и половых гормонов. | 1 | |
| 23:42, 8 декабря 2016 | Skhema 2 k obzoru vit D v sporte.jpg (файл) | 43 КБ | Влияние пищевых добавок витамина D на гомеостаз стероидных гормонов у физически активных людей. | 1 | |
| 23:42, 8 декабря 2016 | Skhema 1 k obzoru vit D v sporte.jpg (файл) | 47 КБ | Роль витамина D в оптимизации эффективности и выносливости спортсменов. | 1 | |
| 21:27, 8 декабря 2016 | Ris 7 k obzoru vit D v sporte.jpg (файл) | 19 КБ | Взаимосвязь между исходными значениями концентрации 25(OH)D в сыворотке крови спортсменов и величиной изменений этой концентрации в ответ… | 1 | |
| 21:26, 8 декабря 2016 | Ris 6 k obzoru vit D v sporte.jpg (файл) | 40 КБ | Распределение пожарных по уровню 25(ОН)D в сыворотке крови в летний (А) и зимний (В) периоды и общая кривая распределения 25(ОН)D )С). | 1 | |
| 21:25, 8 декабря 2016 | Ris 5 k obzoru vit D v sporte.jpg (файл) | 26 КБ | Распределение обследованных жителей С-З региона РФ по степени обеспечености витамином D. | 1 | |
| 21:25, 8 декабря 2016 | Ris 4 k obzoru vit D v sporte.jpg (файл) | 54 КБ | Демографические данные обследованных лиц (верхняя диаграмма) и средние уровни 25(ОН)D в сыворотке крови у детей и подростков (средняя диагр… | 1 | |
| 21:21, 8 декабря 2016 | Ris 3 k obzoru vit D v sporte.jpg (файл) | 32 КБ | Динамика изменений концентрации метаболитов витамина D [25(ОН)D] | 1 | |
| 21:17, 8 декабря 2016 | Ris 2 k obzoru vit D v sporte.jpg (файл) | 25 КБ | Концентрации 25(OH)D в сыворотке крови у спортсменов Великобритании в разных видах спорта ). | 1 | |
| 21:00, 8 декабря 2016 | Ris 1 k obzoru vit D v sporte.jpg (файл) | 58 КБ | Метаболизм витамина D в организме | 1 | |
| 15:22, 1 декабря 2016 | Yashankin GH.jpg (файл) | 103 КБ | Яшанькин и ормон роста | 1 |
