Спорт-вики — википедия научного бодибилдинга

Бета-адреноблокаторы (селективные и неселективные препараты)

Материал из SportWiki энциклопедии
Перейти к: навигация, поиск

Источник:
Клиническая фармакология по Гудману и Гилману том 1.
Редактор: профессор А.Г. Гилман Изд.: Практика, 2006 год.

Бета-адреноблокаторы[править | править код]

Препараты этой группы вызывают огромный интерес в связи с их эффективностью при артериальной гипертонии, ИБС, сердечной недостаточности и некоторых нарушениях ритма сердца.

Историческая справка. Теоретической основой для разработки и исследования β-адреноблокаторов стала гипотеза Алквиста о том, что эффекты катехоламинов опосредованы их действием на два типа адренорецепторов — α и β. Первым β-адреноблокатором стал дихлоризопреналин (Powell and Slater, 1958). Однако это соединение обладает свойствами частичного агониста, что, как считалось, может быть небезопасным. В конце 1950-х гг. сэр Джеймс Блек и сотр. предприняли разработку новых средств такого рода. Первым был получен пронеталол, но он не нашел широкого применения, так как вызывал опухоли тимуса у мышей. Вскоре, однако, был синтезирован пропранолол (Black and Stephenson, 1962; Black and Prichard, 1973). Этот конкурентный β-адреноблокатор стал тем эталонным препаратом,скоторым и по сей день сопоставляют все остальные вещества данной группы. В дальнейшем было получено множество других β-адреноблокаторов. Все они отличаются по следующим характеристикам: 1) соотношение между сродством к β1- и β2-адренорецепторам, 2) внутренняя симпатомиметическая активность, 3) α-адреноблокирующее действие, 4) жирорастворимость, 5) сосудорасширяющее действие, 6) фармакокинетика. Многие из этих отличий имеют важное клиническое значение и лежат в основе индивидуального подбора бета-адреноблокаторов.

Пропранолол — это неизбирательный β-адреноблокатор: он обладает одинаковым сродством к β1- и β2-адренорецепторам. У метопролола и атенолола сродство к β1-адренорецепторам несколько выше, чем к β2-адренорецепторам; таким образом, их можно отнести к β1адреноблокаторам, хотя избирательность их не абсолютна. Пропранолол является чистым адреноблокатором, то есть не активирует β-адренорецепторы. Некоторые же другие β-адреноблокаторы (например, пиндолол и ацебутолол) обладают такой активирующей способностью, хотя она и ниже, чем у чистых адреностимуляторов типа изопреналина. Иными словами, эти средства являются частичными агонистами, а их активирующее влияние на бета-адренорецепторы называется внутренней симпатомиметической активностью. Если она выражена чрезмерно, то это может свести на нет β-адреноблокирующее действие, ради которого и применяют данные препараты. В то же время небольшая внутренняя симпатомиметическая активность может быть полезной, например для того, чтобы в состоянии покоя не возникала значительная брадикардия или слишком сильный отрицательный инотропный эффект. Однако пока не ясно, обладают ли препараты с внутренней симпатомиметической активностью какими-либо клиническими преимуществами; более того, при использовании β-адреноблокаторов для профилактики повторного инфаркта миокарда эта активность может быть даже недостатком (см. ниже). Некоторые β-адреноблокаторы обладают особым свойством, которое называют обратным агонизмом: они снижают спонтанную (конститутивную) активацию β-адренорецепторов, смещая равновесие между спонтанно активированными и неактивированными рецепторами в сторону последних (Chidiac et al., 1994). Клиническое значение этого феномена не ясно. Большинство β-адреноблокаторов не действуют на α-адренорецепторы. Исключение составляют лабеталол и карведилол — они блокируют α1- и β-адренорецепторы. Целипролол — это одновременно β1-адреноблокатор и β2-адреностимулятор, и поэтому он обладает сосудорасширяющим действием. Химические свойства.

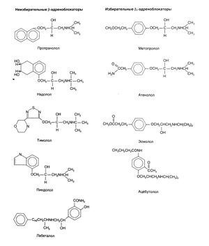
Химические свойства[править | править код]

Рисунок 10.5. Строение некоторых β-адреноблокаторов.

Формулы наиболее распространенных β-адреноблокаторов приведены на рис. 10.5. Структурное сходство между β-адреноблокаторами и β-адреностимуляторами выше, чем между α-адреноблокаторами и α-адреностимуляторами. Повышению сродства к β-адренорецепторам способствует присоединение изопропиловой или другой крупной группировки к азоту аминогруппы. У неизбирательных β-адреноблокаторов ароматическая группа может быть различной, но для избирательных β1-адреноблокаторов близость химической структуры гораздо важнее. Бета-адренорецепторы (рис. 10.1) принадлежат к суперсемейству рецепторов, сопряженных с G-белками и обладающих семью трансмембранными доменами.

Фармакологические свойства[править | править код]

Фармакологические свойства β-адреноблокаторов, как и α-адреноблокаторов, в значительной степени объясняются реакциями разных органов на активацию соответствующих рецепторов и выраженностью симпатических влияний на эти органы (табл. 6.1). Так, блокада β-адренорецепторов у здоровых лиц мало влияет на деятельность сердца в состоянии покоя, но при повышении симпатического тонуса, например при физической нагрузке или стрессе, становится весьма ощутимой.

Сердечно-сосудистая система. Основная сфера применения бета-адреноблокаторов — кардиология. Важно знать, что их влияния на сердце сильно различаются у здоровых людей и у больных артериальной гипертонией или ИБС.

Поскольку катехоламины оказывают положительные хронотропный и инотропный эффекты, β-адреноблокаторы вызывают снижение частоты и силы сердечных сокращений. Если исходная активация β-адренорецепторов невелика, то и эффект β-адреноблокаторов не выражен. Однако, как уже говорилось, при повышении симпатического тонуса эти препараты препятствуют росту ЧСС. Кратковременное введение β-адреноблокаторов типа пропранолола приводит к снижению сердечного выброса. При этом для поддержания АД компенсаторно повышается симпатический тонус, активируются сосудистые α1-адренорецепторы и увеличивается ОПСС. Этому способствует и блокада сосудистых β2-адренорецепторов. Однако при длительном применении β-адреноблокаторов ОПСС возвращается к исходному значению (Mimran and Ducailar, 1988), а у больных артериальной гипертонией даже снижается (Man in’t Veld et al., 1988). Под действием препаратов, обладающих свойствами β- и α1-адреноблокаторов (например, лабеталола и карведилола), сердечный выброс поддерживается при еще большем снижении ОПСС.

Бета-адреноблокаторы оказывают выраженное влияние на частоту сердечных сокращений и сердечный ритм. Считалось, что это влияние обусловлено исключительно блокадой β1-адренорецепторов, однако в настоящее время показано, что в регуляции ЧСС у человека участвуют и β2-адренорецепторы (Brodde, 1988). Бета-адреноблокаторы снижают частоту разрядов синусового узла и эктопических водителей ритма, замедляют проведение в предсердиях и АВ-узле и удлиняют рефрактерный период АВ-узла.

В высоких концентрациях многие β-адреноблокаторы обладают так называемым хинидиноподобным, или мембраностабилизирующим, действием, однако в терапевтических дозах оно вряд ли проявляется. При передозировке же β-адреноблокато-ров оно может быть существенным. Есть также данные о том, что d-пропранолол может подавлять желудочковые аритмии, причем действие это не зависит от блокады β-адренорецепторов (Murray et al., 1990).

Как уже говорилось, эффекты β-адреноблокаторов более выражены при физической нагрузке. На фоне этих препаратов нагрузка вызывает не столь значительное, как обычно, повышение частоты и силы сердечных сокращений. В то же время сердечный выброс страдает не сильно благодаря повышению ударного объема (Shephard, 1982;Tesch, 1985; Van Baak, 1988). Похожая реакция на физическую нагрузку (и на катехоламины) наблюдается у пожилых: рост ЧСС у них меньше, но благодаря повышению ударного объема достигается вполне адекватное увеличение сердечного выброса. На фоне β-адреноблокаторов несколько снижается переносимость физической нагрузки — как интенсивной кратковременной, так и долговременной (Kaiser et al., 1986). Этот эффект менее выражен при использовании β1-адреноблокаторов (Tesch, 1985). Блокада β2-адренорецепторов препятствует должному увеличению мышечного кровотока при субмаксимальной нагрузке (Van Baak, 1988) и может уменьшить мобилизацию глюкозы и свободных жирных кислот, в норме вызываемую катехоламинами.

При физической нагрузке и стрессе коронарный кровоток повышается, так как под действием катехоламинов увеличиваются частота и сила сердечных сокращений и систолическое АД и соответственно растет потребность миокарда в кислороде.

При ИБС, когда имеется постоянный органический стеноз коронарных артерий, это увеличение коронарного кровотока ограничено, и в результате возникает ишемия миокарда. Бета-адреноблокаторы подавляют вышеописанные эффекты катехоламинов. В то же время они оказывают некоторые эффекты, при водящие к росту потребности миокарда в кислороде, — повышают конечно-диастолическое давление и удлиняют период изгнания. В целом, однако, под действием β-адреноблокаторов соотношение между потребностью миокарда в кислороде и его доставкой изменяется в лучшую сторону, и поэтому у больных ИБС переносимость физической нагрузки (ограниченная развитием стенокардии) растет (гл. 32).

Гипотензивное действие. У лиц с нормальным АД β-адреноблокаторы обычно не оказывают гипотензивного действия, однако они снижают АД при артериальной гипертонии. Несмотря на чрезвычайно широкое применение β-адреноблокаторов, механизмы этого их действия до конца не изучены. Эти препараты подавляют вызываемое симпатической нервной системой высвобождение ренина из юкстагломерулярных клеток (гл. 31), однако связь между этим эффектом и снижением АД не ясна. Некоторые авторы указывают, что гипотензивное действие пропранолола выраженнее у больных с высокой активностью ренина в плазме, однако β-адреноблокаторы оказывают гипотензивный эффект и при пониженной активности ренина. Пиндолол на эту активность почти не влияет, но тем не менее при артериальной гипертонии вполне эффективен (Frishman, 1983).

Известно, что при активации пресинаптических β-адренорецепторов повышается высвобождение норадреналина из симпатических окончаний, однако не ясно, играет ли подавление этого высвобождения какую-либо роль в гипотензивном действии β-адреноблокаторов. Теоретически β-адреноблокаторы не должны вызывать расслабление гладких мышц сосудов, однако у больных артериальной гипертонией при длительном применении этих препаратов ОПСС снижается (Man in’t Veld et al., 1988). Механизм этого важного эффекта также не понятен. Ясно только, что это отсроченное снижение ОПСС на фоне постоянно уменьшенного сердечного выброса играет важную роль в гипотензивном действии β-адреноблокаторов. Предполагалось, что определенный вклад в это действие вносят центральные влияния β-адреноблокаторов, однако данных в пользу такой точки зрения мало.

Как уже говорилось, некоторые β-адреноблокаторы оказывают ряд дополнительных эффектов, также способных приводить к снижению АД. Предполагается, что вызываемое β-адреноблокаторами расширение сосудов может быть обусловлено тремя механизмами: 1) блокадой α-адренорецепторов, 2) стимуляцией β-адренорецепторов, 3) влияниями, не опосредованными адренорецепторами. Так, ОПСС снижается под действием препаратов, обладающих α1-адреноблокирующим действием, — лабеталола и карведилола. Целипролол, видимо, является частичным агонистом β-адренорецепторов и вдобавок оказывает сосудорасширяющее действие, не связанное с адренорецепторами (Shanks, 1991; Milne and Buckley, 1991). Клиническое значение этих особенностей, порой весьма умеренно выраженных, не всегда ясно (Fitzerald, 1991). В последнее время особое внимание уделяют сосудорасширяющему действию β-адреноблокаторов при сердечной недостаточности и облитерирующих поражениях периферических артерий.

Пропранолол и другие неизбирательные β-адреноблокаторы устраняют сосудорасширяющее действие изопреналина и повышают прессорную реакцию на адреналин. Особенно это важно при феохромоцитоме — таким больным β-адреноблокаторы можно назначать только после начала лечения α-адреноблокаторами. В противном случае секретируемый опухолью адреналин может вызвать резкое сужение сосудов вследствие преобладания активации α-адренорецепторов.

Дыхательная система. Неизбирательные β-адреноблокаторы (пропранолол и др.) блокируют β2-адренорецепторы гладких мышц бронхов. В норме это мало влияет на Функцию легких, но у больных бронхиальной астмой или ХОЗЛ может привести к угрожающему жизни бронхоспазму. Избирательные β1-адреноблокаторы или препараты с внутренней симпатомиметической активностью реже приводят к такому осложнению, но и они при обструктивных заболеваниях легких если не абсолютно противопоказаны, то требуют предельной осторожности. Более перспективными представляются средства, являющиеся одновременно β1-адреноблокаторами и частичными агонистами β2-адренорецепторов (например, целипролол), однако данных по их применению пока недостаточно (Pujet et al., 1992).

Метаболизм. Бета-адреноблокаторы влияют на обмен углеводов и жиров. Катехоламины усиливают гликогенолиз и вызывают мобилизацию глюкозы, и поэтому у больных инсулинозависимым сахарным диабетом β-адреноблокаторы могут замедлить нормализацию уровня глюкозы после гипогликемии. При сахарном диабете с нестабильным течением и частыми приступами гипогликемии эти препараты надо применять крайне осторожно. Если они все же показаны, следует использовать избирательные β1-адреноблокаторы — вероятность замедленного восстановления уровня глюкозы после гипогликемии при их приеме ниже. Все β-адреноблокаторы устраняют характерную для гипогликемии тахикардию, лишая больного одного из важных признаков приближения гипогликемии. Бета-адреностимуляторы усиливают секрецию инсулина, но β-адреноблокаторы редко приводят к ее нарушениям.

Активация гормон-чувствительной липазы липоцитов, приводящая к мобилизации свободных жирных кислот, опосредована бета-адренорецепторами (о роли β3-адренорецепторов в мобилизации свободных жирных кислот у человека см. гл. 6). Это важный источник энергии для работающих мышц. Бета-адреноблокаторы могут уменьшить мобилизацию свободных жирных кислот, но тем не менее у некоторых больных неизбирательные β-адреноблокаторы вызывают умеренное помещение уровня триглицеридов и снижение уровня ЛПВП в плазме. Уровень ЛПНП обычно не меняется (Miller, 1987). Клиническое значение этих эффектов не установлено, но тем не менее они вызывают законные опасения — особенно если речь идет о больных артериальной гипертонией (Reaven and Hoffman, 1987; Rabkin,1993). Избирательные β1-адреноблокаторы и препараты с внутренней симпатомиметической активностью по неизвестным причинам в меньшей степени влияют на липидный состав крови.

Бета-адреностимуляторы вызывают снижение концентрации К+ в плазме, усиливая его захват тканями (предположительно — скелетными мышцами). Введение адреналина человеку в состоянии покоя также приводит к снижению концентрации К+ в плазме (Brown et al., 1983). Резкое повышение уровня катехоламинов в крови при стрессе (в частности, при инфаркте миокарда) может привести к гипокалиемии, а та, в свою очередь, — к нарушениям ритма сердца (Struthers and Reid, 1984). Гипокапиемия, возникающая под действием адреналина, устраняется экспериментальным β-адреноблокатором ICI-118551, обладающим высоким сродством к β2- и β3-адренорецепторам (Brown et al., 1983; Emorine et al., 1989). Катехоламины снижают выход K+ из скелетных мышц при физической нагрузке, повышая его захват мышцами. Бета-адреноблокаторы устраняют этот эффект (Brown, 1985).

Прочие органы. Бета-адреноблокаторы устраняют вызванный катехоламинами тремор. Кроме того, они блокируют тормозящее действие катехоламинов на дегрануляцию тучных клеток (гл. 25).

Неизбирательные β-адреноблокаторы[править | править код]

Таблица 10.3. Основные характеристики β-адреноблокаторов.

Пропранолол[править | править код]

Благодаря большому опыту по применению пропранолола этот препарат является своего рода стандартом, с которым сравниваются другие бета-адреноблокаторы (табл. 10.3).

Сродство пропранолола к β1 и β2-адренорецепторам одинаковое; он не обладает внутренней симпатомиметической активностью и не реагирует c а-адренорецепторами.

Фармакокинетика. Обладая высокой жирорастворимостью, пропранолол почти полностью всасывается из ЖКТ. Однако значительная его часть подвергается метаболизму при первом прохождении через печень, и поэтому в среднем лишь 25% принятой внутрь дозы попадает в системный кровоток. Кроме того, интенсивность этого метаболизма подвержена значительным индивидуальным колебаниям, вследствие чего разница в сывороточной концентрации пропранолола после приема внутрь одной и той же дозы у разных больных может различаться в 20 раз; соответственно различаются и дозы, необходимые для клинического эффекта. Таким образом, порой при подборе дозы пропранолола приходится неоднократно ее увеличивать, что, разумеется, создает неудобства. По мере повышения дозы препарата степень его элиминации печенью снижается. Биодоступность пропранолола возрастает при его приеме во время еды и при длительном применении.

Пропранолол обладает большим объемом распределения (4 л/кг) и легко проникает через гематоэнцефалический барьер. В крови он примерно на 90% связан с белками плазмы. Пропранолол подвергается интенсивному печеночному метаболизму, и большая часть метаболитов удаляется почками (один из них, 4-гидроксипропрано-лол, обладает некоторым β-адреноблокирующим действием).

Исследования распределения, печеночной элиминации и активности пропранолола затруднены тем, что все эти процессы стереоспецифичны (Walle et al., 1988). Активными изомерами пропранолола (как и других β-адреноблокаторов) являются /-изомеры. Элиминация /-пропранолола, видимо, происходит медленнее, чем d-npoпранолола. Кроме того, скорость элиминации пропранолола зависит от печеночного кровотока, меняется при заболеваниях печени и при употреблении ряда препаратов, влияющих на печеночный метаболизм. К измерению сывороточной концентрации пропранолола прибeгают редко — гораздо проще следить за такими клиническими показателями, как АД и ЧСС. Кроме того, зависимость между сывороточной концентрацией пропранолола и его действием довольно сложна: так, несмотря на короткий Т 1/2 (около 4 ч), пропранолол оказывает довольно продолжительный гипотензивный эффект, что позволяет принимать его 2 раза в сутки. Некоторое количество /-пропранолола (и других /-изомеров β-адреноблокаторов) захватывается симпатическими окончаниями и высвобождается при раздражении симпатических нервов (Walle et al., 1988).

Существует препарат пропранолола длительного действия, позволяющий поддерживать терапевтическую сывороточную концентрацию этого препарата на протяжении 24 ч (Nace and Wood, 1984). При этом в течение всего промежутка между приемами подавляется тахикардия вызываемая физической нагрузкой. Очевидно, такая форма пропранолола удобнее для больных.

Применение. Обычная начальная доза пропранолола при артериальной гипертонии и ИБС — 40—80 мг/сут внутрь. Далее ее иногда постепенно повышают до достижения нужного результата, но обычно не более чем до 320 мг/сут. При И БС интервалы между очередными повышениями дозы могут быть (по показаниям) менее 1 нед. При артериальной гипертонии для достижения полного эффекта пропранолола иногда требуются недели. Если пропранолол принимают 2 раза в сутки как гипотензивное средство, то перед каждым приемом следует измерить АД -чтобы убедиться в том, что эффект препарата сохраняется. Признак достаточной блокады бета-адренорецепторов — подавление тахикардии, вызываемой физической нагрузкой. При угрожающих жизни нарушениях ритма сердца и в условиях общей анестезии пропранолол иногда назначают в/в. При этом сначала вводят 1—Змг препарата со скоростью менее 1 мг/мин в условиях постоянного слежения за АД, ЭКГ и другими показателями деятельности сердца. Если результат не достигнут, через несколько минут дозу повторяют. При чрезмерной брадикардии назначают атропин. При первой же возможности переходят на прием пропранолола внутрь.

Надолол[править | править код]

Препарат обладает примерно одинаковым сродством к β1- и β2-адренорецепторам. Хинидиноподобного действий и внутренней симпатомиметической активности у него нет. Основная особенность надолола — длительное действие.

фармакокинетика. Надолол обладает высокой водорастворимо-стью и не полностью всасывается из ЖКТ: его биодоступность составляет около 35% (Frishman, 1981). Индивидуальные различия в фармакокинетике у надолола меньше, чем у пропранолола. Поскольку жирорастворимость надолола низка, его концентрация в ЦНС должна быть ниже, чем большинства других β-адреноблокаторов. В связи с этим часто утверждают, что при использовании водорастворимых β-адреноблокаторов вероятность центральных побочных эффектов меньше, хотя контролируемых исследований на этот предмет мало. Надолол преимущественно выделяется в неизмененном виде с мочой. Его Т1/2 составляет около 20 ч, и поэтому его обычно принимают 1 раз в сутки. При почечной недостаточности надолол может накапливаться; у таких больных его дозу снижают.

Тимолол[править | править код]

Это мощный неизбирательный бета-адреноблокатор. Хинидиноподобного действия и внутренней симпатомиметической активности у него нет.

Фармакокинетика. Тимолол хорошо всасывается из ЖКТ и в умеренной степени подвергается метаболизму при первом прохождении через печень. Элиминация происходит преимущественно путем печеночного метаболизма, в неизмененном виде с мочой выделяется лишь незначительное количество препарата. T1/2 - около 4 ч. Важно отметить, что глазные капли с тимололом (применяемые при глаукоме; гл. 66) могут оказывать выраженное системное действие — вплоть до приступов бронхиальной астмы и усугубления сердечной недостаточности.

Пиндолол[править | править код]

Это неизбирательный бета-адреноблокатор, обладающий внутренней симпатомиметической активностью, слабым хинидиноподобным действием и умеренной жирорастворимостью.

Возможно, бета-адреноблокаторы с внутренней симпатомиметической активностью в меньшей степени снижают АД и ЧСС, хотя данных на этот счет мало. В связи с этим такие препараты могут быть предпочтительнее как гипотензивные средства для больных со склонностью к брадикардии или сниженной насосной функцией сердца. В контролируемых испытаниях такого рода преимущества бета-адреноблокаторов с внутренней симпатомиметической активностью выявлены не были, но для отдельных больных они могут быть существенными (Fitzerald, 1993). Пиндолол и сходные с ним препараты подавляют вызываемые физической нагрузкой тахикардию и рост сердечного выброса.

Фармакокинетика. Пиндолол почти полностью всасывается из ЖКТ, и его биодоступность достаточно велика. Благодаря этому индивидуальные различия в сывороточной концентрации этого препарата при приеме внутрь незначительны. Элиминация на 50% происходит путем печеночного метаболизма. Основные метаболиты — это гидроксилированные производные, которые после конъюгации с глюкуроновой кислотой или сульфатом выводятся почками. Остальная часть препарата выделяется с мочой в неизмененном виде. Т1/2 около 4 ч. При почечной недостаточности элиминация пиндолола замедляется.

Лабеталол[править | править код]

Это типичный представитель конкурентных блокаторов β1 и а-адренорецепторов. У молекулы лабеталола имеются 2 хиральных центра, и поэтому существуют 4 его оптических изомера; имеющийся в продаже препарат представляет собой смесь из всех четырех примерно в равных количествах (Gold et al., 1982). Поскольку активности этих изомеров различаются, фармакологические свойства лабеталола сложны. Он избирательно блокирует а1-адренорецепторы (по сравнению с а2-адренорецепторами), блокирует β1 и β2-адренорецепторы, является частичным агонистом последних и подавляет обратный нейрональный захват норадреналина (так называемое кокаиноподобное действие; гл. 6). Бета-адреноблокирующая активность лабеталола в 5—10 раз выше, чем а-адреноблокируюшая.

Фармакологические свойства лабеталола несколько прояснились после того, как были выделены и изучены все четыре его изомера. Бета-адреноблокирующая активность d,d-изомера примерно в 4 раза выше, чем рацемического лабеталола, и именно он в значительной мере определяет β-адреноблокирующее действие последнего (в США проходили испытания этого изомера в виде отдельного препарата — дилевалола, — но в настоящее время они прекратились). Альфа1-адреноблокирующая активность d,d-изомера более чем в 5 раз ниже, чем у рацемического лабеталола (Sybertz et al., 1981; Gold et al., 1982). d,/-изомер практически не обладает ни а1, ни β-адреноблокирующей активностью. У /.d-изомера последняя также почти отсутствует, но а1 -адреноблокирующая активность примерно в 5 раз выше, чем у рацемического лабеталола. У /./-изомера β-адреноблокирующей активности нет, а а1-адреноблокирующая активность такая же, как у рацемического лабеталола (Gold et al., 1982). d,d-изомер обладает некоторой внутренней симпатомиметической активностью в отношении β2-адренорецепто-ров, что может вносить определенный вклад в вызываемое лабеталолом расширение сосудов (Baum et al., 1981). Лабеталол обладает и прямым сосудорасширяющим действием.

Гипотензивный эффект лабеталола связан с его действием как на a1-, так и на β-адренорецепторы. Блокада a1-адренорецепторов сопровождается расслаблением гладких мышц сосудов и расширением последних (особенно в положении стоя). Блокада β1-адренорецепторов приводит к подавлению рефлекторной симпатической стимуляции сердца. Наконец, как уже говорилось, расширению сосудов способствует стимулирующее действие (внутренняя симпатомиметическая активность) лабеталола на β2-адренорецепторы.

Лабеталол выпускается в таблетках (для лечения артериальной гипертонии) и в виде растворов для в/в введения (для купирования гипертонических кризов). Описаны редкие случаи ге-патотоксического влияния (Clark et al., 1990).

Фармакокинетика. Хотя лабеталол почти полностью всасывается из ЖКТ, он в значительной степени метаболизируется при первом прохождении через печень. Поэтому его биодоступность составляет лишь 20—40% и подвержена значительным индивидуальным колебаниям (McNeil and Louis, 1984). Она повышается при приеме лабеталола во время еды. Лабеталол быстро метаболизируется печенью путем окисления и конъюгации с глюкуроновой кислотой; в неизмененном виде с мочой выделяется лишь незначительная его часть. Скорость метаболизма лабеталола зависит от печеночного кровотока. Т1/2 составляет около 8 ч (d,d-изомера — примерно 15 ч). Изучение эффектов лабеталола — красивый пример применения фармакокинетических и фармакодинамических моделей к препарату, представляющему собой смесь изомеров с разной фармакокинетикой и активностью (Donnelly and Macphee, 1991).

Карведилол[править | править код]

Это неизбирательный β-адреноблокатор, обладающий также а,-адреноблокирующей активностью (McTavish et al., 1993; Dunn et al., 1997; Frishman, 1998). Любопытно, что ему свойственно также антиоксидантное действие (Yue et al., 1995; Tadolini and Franconi, 1990). Клиническое значение этого действия, особенно у больных с сердечной недостаточностью, не выяснено.

Фармакокинетика. Из-за активного метаболизма при первом прохождении через печень биодоступность карведилола составляет лишь 25—35%. Главный путь элиминации — печеночный метаболизм. Большая часть препарата элиминируется с Т1/2 около 2 ч, а оставшееся количество — с T1/2 7—10 ч.

Применение. При артериальной гипертонии обычно вначале назначают 6,25 мг 2 раза в сутки. Если эффект недостаточен, дозу постепенно увеличивают; максимальная доза обычно составляет 25 мг 2 раза в сутки. При сердечной недостаточности необходима большая осторожность в связи с риском внезапного ухудшения насосной функции сердца. Как правило, начинают с дозы 3,125 мг 2 раза в сутки и наращивают ее под внимательным наблюдением.

Избирательные β1-адреноблокаторы[править | править код]

Метопролол[править | править код]

Это избирательный β1-адреноблокатор, не обладающий внутренней симпатомиметической активностью. Фармакокинетика. Метопролол почти полностью всасывается из ЖКТ, но он в значительной степени метаболизируется при первом прохождении через печень, и поэтому его биодоступность составляет лишь около 40%. Его сывороточная концентрация подвержена значительным индивидуальным колебаниям (у разных больных она может различаться в 17 раз) — возможно, из-за генетически обусловленных различий в интенсивности метаболизма (Benfleld et al., 1986). Метопролол активно метаболизируется микросомальными ферментами печени; лишь 10% препарата выделяется с мочой в неизмененном виде. Т1/2 метопролола составляет 3—4 ч. Существует препарат длительного действия для приема 1 раз в сутки (Plosker and Clissold, 1992).

Применение. Дозы и режим приема метопролола при артериальной гипертонии и ИБС достаточно хорошо установлены. При артериальной гипертонии обычно начинают со 100 мг/сут внутрь. Каждую неделю дозу можно увеличивать до достижения необходимого уровня АД. Обычно дозу делят на 2 приема, хотя иногда бывает эффективен и однократный прием (в последнем случае надо убедиться, что АД в течение суток поддерживается на удовлетворительном уровне). При стенокардии покоя метопролол обычно принимают 2 раза в сутки. Существует препарат длительного действия, обеспечивающий относительно постоянную скорость высвобождения метопролола на протяжении 24 ч; его можно принимать 1 раз в сутки. В раннем периоде инфаркта миокарда применяют в/в введение метопролола тартрата: при первой же возможности переходят на прием метопролола внутрь. Относительные противопоказания к метопрололу при инфаркте миокарда — ЧСС < 45 мин"1, АВ-блокада 2-й и 3-й степени, систолическое АД < 100 мм рт. ст., среднетяжелая или тяжелая сердечная недостаточность.

Атенолол[править | править код]

Это избирательный β1-адреноблокатор без внутренней симпатомиметической активности (Wadworth et al., 1991). Атенолол обладает высокой водорастворимостью и поэтому плохо проникает через гематоэнцефалический барьер. Татенолола несколько выше, чем метопролола.

Фармакокинетика. Атенолол всасывается из ЖКТ лишь на 50%, но зато большая часть от этого количества поступает в системный кровоток. Индивидуальные колебания его сывороточных концентраций относительно невелики — максимальная сывороточная концентрация у разных больных различается лишь в 4 раза (Cruickshank, 1980). Основная часть препарата выделяется с мочой в неизмененном виде. Т1/2 составляет 5—8 ч. При почечной недостаточности атенолол накапливается, и при СКФ < 35 мл/мин его дозу надо снижать.

Применение. При артериальной гипертонии обычно начинают с 50 мг 1 раз в сутки внутрь. Если через несколько недель удовлетворительный результат не достигается, дозу можно увеличить до 100 мг/сут. Дальнейшее повышение дозы обычно эффекта не дает. Показано, что атенолол в сочетании с диуретиками эффективен у пожилых с систолической артериальной гипертонией.

Эсмолол[править | править код]

Это избирательный β1-адреноблокатор с очень коротким действием. Внутренней симпатомиметической активности у него почти нет, хинидиноподобным действием он также не обладает. Эсмолол вводят в/в в случаях, когда необходимо добиться кратковременной блокады β-адренорецепторов, а также тяжелым больным, у которых из-за высокой вероятности брадикардии, сердечной недостаточности или резкого падения АД препараты более длительного действия слишком опасны.

Фармакокинетика и применение. Т1/2 эсмолола равен примерно 8 мин, а объем распределения — около 2 л/кг. В его молекуле имеется сложноэфирная связь, и поэтому он быстро гидролизуется эстеразами эритроцитов. Т1/2 продукта гидролиза гораздо больше (4 ч), и при длительной инфузии эсмолола этот метаболит накапливается (Benfleld and Sorkin, 1987); однако его β-адреноблокирующая активность в 500 раз меньше, чем у эсмолола (Reynolds et al., 1986). В дальнейшем он выводится с мочой.

Эсмолол вызывает быструю и кратковременную блокаду β-адренорецепторов. Максимальный гемодинамический эффект достигается через 10 мин после введения насыщающей дозы; через 20 мин после прекращения инфузии β-адреноблокирующее действие в значительной степени уменьшается. У здоровы лиц эсмолол может вызвать резкое падение АД; механизм этого явления не известен (Reilly et al., 1985).

Поскольку эсмолол применяется в экстренных ситуациях, когда необходимо добиться как можно более быстрой блокады β-адренорецепторов, способ его применения следующий. Сначала вводят часть насыщающей дозы, затем начинают постоянную инфузию; если необходимый эффект через 5 мин не наблюдается, повторяют насыщающую дозу и повышают скорость инфузии. Далее этот цикл (с постепенным повышением скорости инфузии) повторяют до достижения нужного результата, например необходимого уровня ЧСС или АД.

Ацебутолол[править | править код]

Это избирательный β1-адреноблокатор с умеренной внутренней симпатомиметической активностью. Фармакокинетика. Ацебутолол хорошо всасывается из ЖКТ и далее быстро превращается в активный метаболит (диацетолол), который в основном и обусловливает β-адреноблокирующую активность препарата (Singh et al., 1985). Т1/2 ацебутолол равен примерно 3 ч, а диацетолола — 8—12 ч. Диацетолол выделяется с мочой в неизмененном виде.

Применение. При артериальной гипертонии обычно начинаете 400 мг/сут внутрь. Ацебутолол можно принимать однократно, но обычно для поддержания стабильного уровня АД дозу лучше разделять на 2 приема. Как правило, удовлетворительный результат достигается при дозе 400—800 мг/сут (диапазон суточной дозы — 200—1200 мг). При желудочковых аритмиях ацебутолоп принимают 2 раза в сутки.

Прочие β-адреноблокаторы[править | править код]

В настоящее время разработаны и в большей или меньшей степени изучены множество других β-адреноблокаторов. Бопиндолол (в США не применяется), картеолол, окспренолол и пенбутолол — неизбирательные β-адреноблокаторы с внутренней симпатомиметической активностью. Медроксапол и буциндолол — неизбирательные β-адреноблокаторы, обладающие также а1-адреноблокирующей активностью (RosendorfT, 1993). Левобунолол и метипранолол — это также неизбирательные β-адреноблокаторы, применяемые местно при глаукоме (Brooksand Gillies, 1992). Бисопролол и небиволол — избирательные β1-адреноблокаторы без внутренней симпатомиметической активности (Jamin et al., 1994; Van de Water et al., 1988). Бетаксолол-это избирательный β1 -адреноблокатор, применяемый внутрь при артериальной гипертонии и местно — при глаукоме. Видимо, он реже вызывает бронхоспазм, чем глазные препараты с неизбирательными β-адреноблокаторами тимололом и левобунололом. Есть также данные о том, что глазные капли с картеололом реже оказывают системные побочные эффекты, чем капли с тимололом, — возможно, из-за того что картеолол обладает внутренней симпатомиметической активностью. Тем не менее при местном использовании картеолола необходима осторожность (Chrisp and Sorkin, 1992). Целипролол — избирательный β1-адреноблокатор с умеренной β2-адреностимулирующей активностью и со слабым дополнительным сосудорасширяющим действием неизвестной природы (Milne and Buckely, 1991). Соталол — это неизбирательный β-адреноблокатор без хинидиноподобного действия. Он обладает антиаритмическим эффектом, не связанным с блокадой β-адренорецепторов (Fitton and Sorkin, 1993; см. также гл. 35). Пропафенон — это блокатор быстрых натриевых каналов, обладающий также β-адреноблокируюшим действием (Brysonetal., 1993).

Побочные эффекты[править | править код]

Большая часть побочных эффектов β-адреноблокаторов обусловлена их основным действием. Побочные эффекты, не связанные с блокадой β-адренорецепторов, наблюдаются редко.

Сердечно-сосудистая система. У больных с поражениями миокарда β-адреноблокаторы могут вызвать сердечную недостаточность, так как у таких больных первостепенное значение для насосной функции сердца имеет симпатический тонус. Сюда относятся прежде всего больные с компенсированной сердечной недостаточностью, инфарктом миокарда, кардиомегалией. Не известно, обладают ли в таких случаях преимуществами β-адреноблокаторы с внутренней симпатомиметической активностью или прямым сосудорасширяющим действием. В то же время есть убедительные данные о том, что у определенного контингента больных с сердечной недостаточностью постоянный прием бета-адреноблокаторов увеличивает продолжительность жизни (см. ниже, а также гл. 34).

Снижение ЧСС — естественная реакция на β-адреноблокаторы. В то же время при нарушениях АВ-проведения эти препараты могут вызвать опасные аритмии. Особую осторожность надо проявлять в случае, если больной одновременно принимает верапамил или другие антиаритмические средства, обладающие отрицательным хронотропным или дромотропным действием.

Некоторые больные жалуются на то, что β-адреноблокаторы вызывают похолодание конечностей. Иногда (хотя и редко) эти препараты усугубляют заболевания периферических сосудов (Lepantalo, 1985); возможно развитие синдрома Рейно. Вероятность развития перемежающейся хромоты, видимо, крайне мала, а преимущества β-адреноблокаторов при сочетании ИБС с заболеваниями периферических сосудов безусловны.

Внезапная отмена бета-адреноблокаторов после длительного приема может усугубить стенокардию и повысить риск внезапной смерти. Механизмы этого до конца не ясны, хотя известно, что у больных, длительно принимавших некоторые из этих препаратов, после их отмены повышена чувствительность к β-адреностимуляторам. Так, на фоне β-адреноблокаторов снижен хронотропный эффект изопреналина, а внезапная отмена пропранолола приводит к усилению действия изопреналина. Эта повышенная чувствительность развивается через несколько суток после отмены пропранолола и может сохраняться до недели (Nattel etal., 1979). Ее можно уменьшить, если за несколько недель до отмены начать постепенно снижать дозу препарата(Rangnoetal., 1982). Повышение чувствительности к изопреналину наблюдается также после отмены метопролола, но не пиндолола (Rangno and Langlois, 1982). У больных, длительно принимающих пропранолол, плотность β-адренорецепторов на лимфоцитах повышается, а у принимающих пиндолол — наоборот (Hedberg et al., 1986). Оптимальный метод отмены β-адреноблокаторов пока не установлен, но в любом случае лучше снижать их дозу постепенно и в это время ограничить физическую нагрузку.

Дыхательная система. Важнейший побочный эффект β-адреноблокаторов связан с блокадой β2-адренорецепторов гладких мышц бронхов. Эти рецепторы играют большую роль в расширении бронхов у больных с обструктивными поражениями легких, и Р-адреноблокаторы могут вызвать у таких больных опасный для жизни бронхоспазм. Вероятность этого осложнения меньше, если больной принимает избирательные β1-адреноблокаторы или препараты с β2-адреностимулирующим действием. Поскольку избирательность современных β-адреноблокаторов весьма относительна, лучше при бронхиальной астме эти средства не назначать. В то же время у больных ХОЗЛ, перенесших инфаркт миокарда, преимущества β-адреноблокаторов могут перевесить риск снижения функции внешнего дыхания (Gottlieb et al., 1998).

ЦНС. Центральные побочные эффекты β-адреноблокаторов включают утомляемость, нарушения сна (в том числе бессонницу и кошмары) и депрессию. Впрочем, предполагаемая связь между β-адреноблокаторами и депрессией (Thiessen et al., 1990), возможно, не будет подтверждена в современных исследованиях (Gerstman et al., 1996; Ried et al., 1998). Многие работы были посвящены возможной связи между центральными побочными эффектами β-адреноблокаторов и их жирорастворимостью, однако четкой корреляции здесь не установлено (Drayer, 1987; Gengo etal., 1987).

Метаболизм. Как уже говорилось, β-адреноблокаторы могут сгладить признаки надвигающейся гипогликемии, и кроме того, они способны замедлить восстановление после вызванной инсулином гипогликемии. В связи с этим у склонных к гипогликемии больных сахарным диабетом β-адреноблокаторы надо применять крайне осторожно, отдавая предпочтение избирательным β1-адреноблокаторам. В то же время у некоторых больных инсулинозависимым сахарным диабетом, перенесших инфаркт миокарда, преимущества β-адреноблокаторов могут перевесить риск гипогликемии (Gottlieb et al., 1998).

Прочие побочные эффекты. Вероятность нарушения половой функции у мужчин с артериальной гипертонией, принимающих β-адреноблокаторы, не установлена. Эти средства все шире применяются при беременности, но тем не менее их безопасность у беременных также до конца не выяснена (Widerhom et al., 1987).

Отравление. Признаки отравления β-адреноблокаторами зависят от свойств конкретного препарата, в частности от избирательности в отношении β1-адренорецепторов, внутренней симпатомиметической активности и хинидиноподобного действия (Frishman etal., 1984). Наиболее частые симптомы — артериальная гипотония, брадикардия, замедление АВ-проведения, расширение комплекса QRS. Возможны эпилептические припадки и депрессия. Гипогликемия встречается редко, бронхоспазм — если только нет обструктивных поражений легких — тоже. При выраженной брадикардии применяют атропин, но иногда приходится прибегать к электрокардиостимуляции. При артериальной гипотонии могут потребоваться большие дозы изопреналина или а-адреностимуляторов. Бывает эффективным глюкагон — положительные хронотропный и инотропный эффекты этого препарата не обусловлены активацией β-адренорецепторов.

Лекарственные взаимодействия. Описаны как фармакокинетические. так и фармакодинамические взаимодействия между β-адреноблокаторами и другими лекарственными средствами. Всасывание β-адреноблокаторов уменьшается на фоне приема холестирамина, колестипола и солей алюминия. Фенитоин, рифампицин, фенобарбитал и родственные им препараты, а также вещества табачного дыма вызывают индукцию печеночных ферментов, что может привести к снижению сывороточных концентраций β-адреноблокаторов с преимущественно печеночной элиминацией (например, пропранолола). Циметидин и гндралазин повышают биодоступность пропранолола и метопролала, снижая печеночный кровоток. В свою очередь. β-адреноблокаторы могут снижать клиренс лидокаина.

К фармакодинамическим взаимодействиям относится, например. взаимное усиление влияний на проводящую систему сердца β-адреноблокаторов и антагонистов кальция. Часто стремятся использовать такого рода синергизм между β-адреноблокаторами и другими гипотензивными средствами для более эффективного снижения АЛ. Напротив, гипотензивный эффект β-адреноблокаторов уменьшается на фоне индометацина и других НПВС (гл. 27).

Показания и применение[править | править код]

Сердечно-сосудистые заболевания[править | править код]

Бета-адреноблокаторы широко используются при артериальной гипертонии (гл. 33), стенокардии и острых нарушениях коронарного кровообращения (гл. 32), сердечной недостаточности (гл. 34). Кроме того, их часто применяют при наджелудочковых и желудочковых аритмиях (гл. 35).

Инфаркт миокарда. Большой интерес вызывает применение β-адреноблокаторов в остром периоде инфаркта миокарда и для предупреждения повторных инфарктов.

Во многих испытаниях показано, что назначение этих средств в раннем периоде инфаркта миокарда с последующим постоянным их приемом приводит к снижению смертности на 25% (Freemantle et al., 1999). Механизмы такого благоприятного влияния β-адреноблокаторов до конца не ясны. Возможно, играет роль снижение потребности миокарда в кислороде, перераспределение коронарного кровотока, антиаритмическое действие. Кратковременное назначение бета-адреноблокаторов, видимо, гораздо менее эффективно. В исследованиях, посвященных профилактике повторного инфаркта миокарда, наиболее убедительные данные были получены для пропранолола, метопролола и тимолола. Несмотря на это, многие больные, перенесшие инфаркт миокарда, не получают β-адреноблокаторы.

Сердечная недостаточность. Хорошо известно, что β-адреноблокаторы могут усугубить сердечную недостаточность у больных с поражением миокарда, например при ишемической или дилатационной кардиомиопатии. Поэтому предположение о том, что β-адреноблокаторы могут быть эффективными при долговременном лечении сердечной недостаточности, вначале вызвало у врачей недоверие. Однако многие достоверные контролируемые испытания показали, что некоторые из этих препаратов оказывают благотворное действие у больных с легкой или умеренной сердечной недостаточностью (Packer, 1998; Krum, 1999;

Teerlink and Massie, 1999; см. также гл. 34). Это интересный пример того, как препараты целой группы, считавшиеся вначале при некоем заболевании почти абсолютно противопоказанными, в дальнейшем стали одной изоснов его лечения.

При сердечной недостаточности чувствительность миокарда к катехоламинам меняется. Известно, что у таких бальных повышен симпатический тонус (Bristow, 1993). У многих экспериментальных животных введение β-адреностимуляторов может приводить к кардиомиопатии. Чрезмерная экспрессия β-адренорецепторов у мышей также сопровождается дилатационной кардиомиопатией (Engelhardt et al., 1999). В миокарде больных в экспериментальных животных с сердечной недостаточностью обнаружены многие изменения в системах внутриклеточной передачи сигнала от β-адренорецепторов (Post et al., 1999). Почти всегда наблюдаются снижение плотности и нарушение функции β1-адренорецепторов, приводящие к уменьшению опосредованного этими рецепторами положительного инотропного эффекта. Возможно, это явление частично обусловлено повышенной экспрессией киназы β-адренорецептора GRK2 (Lefkowitz et al., j 2000; см. также гл. 6).

Интересно, что при сердечной недостаточности экспрессия β2-адренорецепторов сравнительно не меняется. И β1, и β2-адренорецепторы активируют аденилатциклазу через белок G„ однако есть данные о том, чтостимуляция β2-адренорецепторов приводит также к активации белка G,. Возможно, этот последний эффект не только снижает положительное инотропное влияние активации β2-адренорецепторов, но и запускает другие пути внутриклеточной передачи сигнала (Lefkowitz et al., 2000). При чрезмерной экспрессии β2-адренорецепторов в сердце мы-шей наблюдается повышение сократимости без сердечной недостаточности (Liggett et al., 2000).

Механизмы, благодаря которым β-адреноблокаторы снижают смертность при сердечной недостаточности, не установлены. Удивительного в этом мало — механизмы гипотензивного действия этих средств также до конца не выяснены, а им посвящено огромное количество работ (гл. 33). Существуют несколько гипотез, и все они требуют экспериментального подтверждения. Интерес к этому вопросу далеко не только теоретический: понимание действия β-адреноблокаторов при сердечной не достаточности может привести к более направленному выбору препаратов и к разработке новых средств с нужным действием. Различия между функцией β1- и β2-адренорепепторов при сердечной недостаточности —- пример того, насколько сложна роль адренергических влияний при этом состоянии.

Как уже говорилось, существуют несколько гипотез относительно благотворного действия β-адреноблокаторов при сердечной недостаточности. Во-первых, избыток катехоламинов оказывает кардиотоксическос действие, особенно через β1-адренорецепторы, и устранение этого действия может положительно влиять на функцию миокарда. Во-вторых, блокада β-адренорецепторов может препятствовать постинфарктной перестройке левого желудочка, которая обычно еще больше нарушает деятельность сердца. Интересно, что активация β-адренорецепторов может привадить к апоптозу кардиомиоцитов (Singh et al.,2000). Наконец, некоторые β-адреноблокаторы могут оказывать важные эффекты, не связанные с их основным действием. Так, немалую роль может играть снижение посленагрузки сердца, обусловленное блокадой а1-адренорецепторов (например, при использовании карведилола). Значение антиоксидантного действия карвелилола для его благотворного эффекта при сердечной недостаточности пока не установлено (Ма et al., 1996).

Испытания, включающие большое количество бальных, показали, что при легкой и среднетяжелой сердечной недостаточности некоторые β-адреноблокаторы могут улучшать функцию миокарда и увеличивать продолжительность жизни. Для многих из этих препаратов получены достоверные данные контролируемых исследований. Важно подчеркнуть, что благотворное действие

β-адреноблокаторов при сердечной недостаточности показано не для всех препаратов этой группы. Особенно много данных свидетельствуют о положительном эффекте метопролола. Продолжительность жизни при среднетяжелой сердечной недостаточности увеличивает и β1-адреноблокатор бисопролол (Teerlinkand Massie, 1999). Показан также положительный эффект карведилола. Буциндолол, видимо, улучшает при сердечной недостаточности функцию сердца; что же касается его влияния на продолжительность жизни, то в настоящее время оно испытывается в исследовании BEST (Beta-blocker Estimation of Survival Trial — Влияние бета-адреноблокаторов на продолжительность жизни).

В связи с тем что начало приема β-адреноблокаторов при сердечной недостаточности может привести к внезапному ухудшению функции сердца, эти препараты следует назначать с большой осторожностью и под наблюдением опытного специалиста. Крайне важно начинать с малых доз и повышать их очень постепенно, ориентируясь на состояние больного.

Другие сердечно-сосудистые заболевания. Бета-адреноблокаторы. в частности пропранолол, применяют при гипертрофической кардиомиопатии — у таких больных он облегчает приступы стенокардии, сердцебиение, предупреждает обмороки. Видимо, его действие обусловлено уменьшением градиента давления в области выносящего тракта левого желудочка. Бета-адреноблокаторы предупреждают также развитие катехоламиновой кардиомиопатии при феохромоцитоме (Rosenbaum et al., 1987).

Бета-адреноблокаторы используют в качестве антиаритмических средств при пролапсе митрального клапана и феохромоцитоме (гл. 35). В последнем случае, однако, β-адреноблокаторы назначают только после начала лечения а-адреноблокатора-ми — в противном случае они могут вызвать повышение АД, препятствуя опосредованному β2-адренорецепторами расширению сосудов.

Наконец, β-адреноблокаторы применяют при расслаивающей аневризме аорты — они снижают сократимость миокарда, давление в аорте и скорость его нарастания. С этой целью можно также вводить нитропруссид натрия, но в отсутствие β-адреноблокаторов он вызывает нежелательную тахикардию. При синдроме Марфана наблюдается постепенная дилатация аорты, которая может привести к ее расслаиванию и аортальной недостаточности. Это главная причина сниженной продолжительности жизни у таких больных. Есть данные о том, что постоянный прием пропранолола может замедлить развитие дилатации аорты и ее осложнений (Shores et al., 1994).

Прочие заболевания[править | править код]

Многие симптомы тиреотоксикоза сходны с проявлениями повышенного симпатического тонуса. Действительно, при избытке тиреоидных гормонов возрастает плотность β-адренорецепторов на некоторых клетках. В связи с этим β-адреноблокаторы устраняют многие сердечно-сосудистые расстройства, наблюдающиеся при тиреотоксикозе, и поэтому их используют как дополнение к терапии этого заболевания (GefTnerand Heisman, 1992). Кроме того, пропранолол подавляет периферическое превращение Т4 в T3 возможно, это действие не обусловлено блокадой β-адренореиепторов. В то же время у больных с увеличением сердца β-адреноблокаторы надо применять осторожно, так как они могут вызвать сердечную недостаточность (гл. 57).

Пропранолол, тимолол и метопролол с успехом используют для профилактики приступов мигрени (Tfelt-Hansen, 1986), хотя для купирования приступов они неэффективны. Механизм их положительного эффекта при мигрени не известен.

Пропранолол и другие β-адреноблокаторы применяют для предупреждения резко выраженной тревоги, развивающейся во время публичных выступлений и в других сходных ситуациях (Lader, 1988). Ораторам предварительный прием β-адреноблокаторов дает возможность справиться с волнением, а принимающие их музыканты порой даже отмечают более удачные выступления (Brantigan et al., 1982). Эти препараты устраняют характерные для тревоги тахикардию, мышечный тремор и другие проявления повышенного симпатического тонуса. Пропранолол используют также при эссенциальном треморе.

Бета-адреноблокаторы снижают внутриглазное давление — возможно, за счет подавления выработки водянистой влаги. Применение глазных препаратов с β-адреноблокаторами при глаукоме описано в гл. 66. При местном введении β-адреноблокаторы обычно хорошо переносятся, однако они могут всасываться в достаточном количестве, чтобы оказать системные эффекты. В таких случаях возможны нежелательные реакции со стороны сердечно-сосудистой и дыхательной систем. Следовательно, у больных с поражениями этих систем глазные препараты с β-адреноблокаторами надо применять очень осторожно и лучше выбирать избирательные β1-адреноблокаторы типа бетаксолола.

Бета-адреноблокаторы используют при отмене алкоголя и при акатизии. Пропранолол и надолол с успехом применяют для первичной профилактики кровотечения из варикозных вен при портальной гипертензии, обусловленной циррозом печени (Villanueva et al., 1996; Bosch, 1998). Иногда β-адреноблокаторы в таких случаях снижают давление в воротной вене, причем этот эффект может усилиться при одновременном приеме изосорбида мононитрата. Все эти препараты можно применять и для предупреждения повторных кровотечений из варикозных вен.

Принципы выбора β-адреноблокаторов[править | править код]

Эффективность различных β-адреноблокаторов при артериальной гипертонии и ИБС, видимо, сходна. Следовательно, выбор препарата при этих состояниях определяется его фармакокинетическими особенностями, стоимостью и сопутствующими заболеваниями (то есть наиболее вероятными побочными эффектами). При многих других заболеваниях (например, инфаркте миокарда, мигрени, циррозе печени с варикозными венами, сердечной недостаточности) такая взаимозаменяемость β-адреноблокаторов не доказана — выбирать надо тот из них, эффективность которого подтверждена испытаниями. При наличии у больного склонности к бронхоспазму, сахарного диабета, заболеваний периферических сосудов (в том числе синдрома Рейно) лучше использовать β1-адреноблокаторы. Клинически преимущества β-адреноблокаторов с внутренней симпатомиметической активностью не доказаны, но все же их следует предпочитать при наличии у больного брадикардии. Наконец, при артериальной гипертонии, облитерирующих заболеваниях периферических артерий и сердечной недостаточности могут быть эффективными средства, оказывающие сосудорасширяющее действие — посредством блокады а1-адренорецепторов, стимуляции β2-адренорецепторов или других механизмов.

Перспективы[править | править код]

Несмотря на большое количество препаратов, влияющих на адренергическую передачу, и их обширное применение в самых разных областях медицины, разработка новых таких препаратов — как для научных, так и для практических задач — вызывает большой интерес. Молекулярнобиологические исследования экспрессии разных подтипов и подгрупп адренорецепторов существенно опередили изучение физиологической роли всех этих рецепторов в разных органах. Поскольку было четко показано, что все эти рецепторы являются продуктами отдельных генов, перед фармакологами встала уникальная возможность разработать новые препараты, способные влиять на разные рецепторы в разных органах или отделах ЦНС. Это обеспечит более направленную терапию, расширит ее возможности и снизит риск побочных эффектов. Появляются все новые и новые средства, стимулирующие и блокирующие адренорецепторы, но вместе с тем клиническое значение фармакологических особенностей уже имеющихся препаратов далеко не всегда выяснено. Изучение различий между разными адренорецепторами на молекулярном уровне дает возможность направленно разрабатывать средства, избирательно действующие на те или иные из этих рецепторов. Наконец, недавнее обнаружение полиморфизма некоторых адренорецепторов (в частности, β2-адренорецепторов) может позволить предсказывать реакции больных (например, бронхиальной астмой) на различные лекарственные средства.

Значительный интерес вызвали данные о том, что стимуляторы βз-адренорецепторов могут усиливать мобилизацию жирных кислот и повышать интенсивность обмена при ожирении (Weyer et al., 1999). С фармакологической и клинической точки зрения этот феномен пока не исследован, однако есть указания на то, что полиморфизм гена βз-адренорецептора может играть роль в развитии ожирения и инсулинонезависимого сахарного диабета (Агпег, 1995).

В настоящее время имеется множество β-адреноблокаторов. Они различаются по избирательности в отношении β1-адренорецепторов, жирорастворимости, длительности действия, внутренней симпатомиметической активности (в том числе способности в большей или меньшей степени стимулировать β1- и β2-адренорецепторы), α1-адреноблокирующей активности и неадренергическому сосудорасширяющему действию. Сравнительных испытаний, посвященных эффективности и безопасности разных β-адреноблокаторов, пока еще слишком мало — а вместе с тем эти данные очень важны, особенно для лечения сердечной недостаточности. Наличие у одного и того же препарата нескольких «нужных» механизмов действия еще не гарантирует его клинической эффективности: индивидуальные различия в реакции на β-адреноблокаторы очень велики. Наряду с разработкой новых средств с новыми механизмами действия необходимы интенсивные клинические испытания для выявления преимуществ таких средств при различных состояниях — ИБС (в том числе инфаркте миокарда), артериальной гипертонии, сердечной недостаточности и т. п. Так было выявлено, например, что карведилол (β-адреноблокатор с сосудорасширяющей и антиоксидантной активностью), применяемый как дополнение к обычной терапии сердечной недостаточности, снижает смертность от этого состояния. Выяснение механизмов такого положительного эффекта β-адреноблокаторов при сердечной недостаточности может привести к разработке препаратов с соответствующими свойствами, а следовательно, более эффективных.

При аденоме предстательной железы все шире применяются α1-адреноблокаторы, хотя сравнительных испытаний препаратов этой группы пока недостаточно. Исследования этих средств осложнены тем, что многие субъективные симптомы при аденоме предстательной железы опосредованы α1-адренорецепторами не самой этой железы, а, видимо, иннервирующих ее нейронов. Теоретически α1-адреноблокаторы должны быть особенно полезными при артериальной гипертонии, так как они оказывают благотворное действие на липидный профиль крови и толерантность к глюкозе; однако на практике их преимущества еще необходимо доказать, используя такие четкие критерии, как, например, частота инфаркта миокарда или инсульта. Вопрос этот осложняется тем что, как недавно показано, монотерапия артериальной гипертонии доксазозином чаще приводит к развитию сердечной недостаточности, чем монотерапия диуретиком. Обнаружение разных подгрупп α1-адренорецепторов позволяет надеяться на разработку новых препаратов, избирательно действующих на адренорецепторы, например, предстательной железы или сосудов. Клиническое значение обратных агонистов разных подгрупп α1-адренорецепторов пока не выяснено но, возможно, препараты эти довольно перспективны (Rossier et al., 1999).

Альфа2-адреностимуляторы (например, клонидин) применяются в основном при артериальной гипертонии. В то же время изучение физиологической функции разных подгрупп α2-адренорецепторов, возможно, позволит разработать избирательные стимуляторы этих рецепторов (Linket al., 1996). Такие препараты, например дексмеде-томидин, могут оказаться более эффективными и безопасными как средства, применяемые для борьбы с болью и при общей анестезии (гл. 14). Альфа2-адреностимуляторы показали себя как многообещающие экспериментальные средства при ишемии мозга и миокарда.

Читайте также[править | править код]

Литература[править | править код]

  • Allwood, M.J., Cobbold, A.F., and Ginsberg, J. Peripheral vascular effects of noradrenaline, isopropylnoradrenaline, and dopamine. Br. Med. Bull., 1963, 19:132-136.
  • Andersson, К. E., and Bende, M. Adrenoceptors in the control ofhuman nasal mucosal blood flow. Ann. Otol. Rhinol. Laryngol., 1984,93:179-182.
  • Barger, G., and Dale, H.H. Chemical structure and sympathomimetic action of amines. J. Physiol. (Lond.), 1910,41:19—59.
  • Baum, Т., Watkins, R.W., Sybertz, E.J., Vemulapalli, S., Pula, K.K., Eynon, E., Nelson, S., Vliet, G.V., Glennon, J., and Moran, R.M. Antihypertensive and hemodynamic actions of SCH 19927, the R,Л-isomer and labetalol. J. Pharmacol. Exp. Ther., 1981, 218:444—452.
  • Becker, A.J., Stief, C.G., Machtens, S., Schultheiss, D., Hartmann, U., Truss, M.C., and Jonas, U. Oral phentolamine as treatment for erectile dysfunction./. Urol., 1998, 159:1214—1216.
  • Chidiac, P., Hebert, T.E., Valiquette, М., Dennis, М., and Bouvier, M. Inverse agonist activity of beta-adrenergic antagonists. Mol. Pharmacol., 1994,45:490-499.
  • Clark, J.A., Zimmerman, H.J., and Tanner, L.A. Labetalol hepato-loxicity. Ann. Intern. Med., 1990, 113:210—213.
  • Faure, C., Pimoule, С., Vallancien, G., Langer, S.Z., and Graham, D. Identification of c^-adrenoceptor subtypes in the human prostate. Life *»., 1994,54:1595—1605.
  • Fedorak, R.N., Field, М., and Chang, E.B. Treatment of diabetic diarrhea with clonidine. Ann. Intern. Med., 1985, 102:197—199.
  • Gavin, K.T., Colgan, M.P., Moore, D., Shanik, G., and Docherty, J.R. Alpha 2C-adrenoceptors mediate contractile responses to noradrenaline in the human saphenous vein. Naunyn Schmiedebergs Arch. Pharmacol., 1997,355:406-411.
  • Gengo, F.M., Huntoon, L., and McHugh, W.B. Lipid-soluble and water-soluble beta-blockers. Comparison of the central nervous system depressant effect. Arch. Intern. Med., 1987, 147:39—43.
  • Haefeli, W.E., Srivastava, N., Kongpatanakul, S., Blaschke, T.F., and Hoffman, B.B. Lack of role of endothelium-derived relaxing factor in effects of alpha-adrenergic agonists in cutaneous veins in humans. Am. J. Physiol., 1993,264:H364—H369.
  • Hartung, W.H. Epinephrine and related compounds: influence of structure on physiologic activity. Chem. Rev., 1931,9:389—465.
  • Kaiser, P., Tesch, P.A., Frisk-Holmberg, М., Juhlin-Dannfelt, A., and Kaijser, L. Effect of beta^selective and nonselective beta-blockade on work capacity and muscle metabolism. Clin. Physiol., 1986,6:197—207.