Замедление обмена веществ
Содержание
Замедление скорости обмена веществ[править | править код]
У двух людей с одинаковой массой и составом тела скорость метаболизма может сильно отличаться. Один может есть тарелку за тарелкой и не прибавит ни грамма, тогда как второму приходится тщательно подсчитывать калории, чтобы не набрать вес. Почему это так, объяснил Уилл Вонг, исследователь и профессор Исследовательского центра метаболизма и ожирения Джона Хопкинса.
- «Мы ничего не понимаем в механизмах, которые контролируют метаболизм человека»
Факторы замедления обмена веществ[править | править код]
- количество мышечной и жировой тканей в организме
- возраст
- генетика (хотя исследователи не знают, почему скорость метаболизма может различаться внутри семьи).
- пол (женщины с любым составом тела и в любом возрасте сжигают меньше калорий, чем мужчины).
Для женщин «имеет значение и менструальный цикл: некоторые женщины с более высокой скоростью обмена веществ во время второй половины цикла (лютеиновой фазы) повышают скорость обмена веществ в покое на 10 процентов».
Вы можете узнать о своем метаболизме, введя перечисленные данные в онлайн-калькулятор калорий. Также читайте подробнее научный обзор: энергозатраты человека и пищевой рацион.
Еще один фактор замедления метаболизма: старение. Эффект происходит постепенно, даже если количество жировой и мышечной тканей не меняется. Так что в 60 в покое вы сжигаете меньше калорий, чем в 20. Такое постоянное снижение начинается в возрасте 18 лет.
Ускорение метаболизма при похудении[править | править код]
Многие пытаются добиться «ускорения метаболизма» и потери веса за счет усиленных упражнений для построения мускулатуры, разнообразных диет или добавок. Но на самом деле сделать это невероятно сложно.
Тогда как есть определенная пища — кофе, чили и другие специи, — которая может лишь немного ускорить метаболизм, изменения столь незначительны и кратковременны, что они никогда бы не повлияли на вашу фигуру.
Тем не менее, построение мускулатуры может быть немного более полезно. При любом весе, чем больше в вашем теле мышц и чем меньше жира, тем быстрее ваш метаболизм. Все дело в том, что мышцы потребляют намного больше энергии в состоянии покоя, чем жир (взгляните на график в первой части).
Но если вы развиваете мышцы и эффективно ускоряете свой метаболизм, вам нужно бороться с естественной тенденций к желанию есть больше, которое возникает из-за быстрого метаболизма.
Многие люди загоняют себя в голод, который приходит после длительных упражнений, и попросту заканчивают тем, что добавляют жир к мышцам. Дженсен также отметил, что людям непросто выдерживать тренировки, необходимые для поддержания мышечной массы, которую они получили. В целом, он заявил: «Скорость метаболизма вы можете контролировать лишь незначительно. Контроль этот обычно выглядит относительно скромно, и, к сожалению, у него есть недостатки».
Читайте подробнее: как ускорить обмен веществ
Замедление обмена веществ на диете[править | править код]
Увеличить скорость обмена веществ невероятно сложно, зато, как выяснили ученые, определенные факторы могут очень существенно замедлять обмен веществ — например, диеты с резким снижением веса. Экстремальные диеты, пожалуй, сильнее всего влияют на метаболизм в состоянии покоя.
Уже на протяжении нескольких лет ученые наблюдают явление под названием «метаболическая адаптация», или «адаптивный термогенез»: с потерей веса базовая скорость метаболизма — энергия, используемая для основного функционирования организма в состоянии покоя — у человека снижается гораздо сильнее, чем должна.
Логично, что снижение веса слегка затормозит обмен веществ, поскольку похудение обычно подразумевает и уменьшение мышечной ткани. Таким образом, масса тела становится меньше, и организму для работы уже не нужно прилагать таких усилий. Но, как обнаружили исследователи, замедление метаболизма после потери веса часто оказывается куда более сильным, чем ожидаемое, которое должно соответствовать новой массе тела человека.
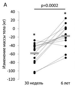
В новом исследовании, направленном на подтверждение этого явления, которое недавно было опубликовано в журнале Obesity, исследователи из Национальных институтов здравоохранения США начали наблюдение за участниками восьмого сезона реалити-шоу «Потерявший больше всех» (The Biggest Loser). К моменту завершения этого шоу каждый из конкурсантов потерял десятки килограммов, и все они были отличными объектами для исследования того, что происходит при потере огромного количества веса за короткий срок.
Исследователи измерили вес, процент жира, скорость обмена веществ и уровень гормонов в конце 30-недельного соревнования в 2009 году, а затем снова, спустя шесть лет, в 2015 году.
Хотя к концу телешоу все участники и потеряли десятки килограмм благодаря диете и упражнениям, за шесть лет объем талии у них снова сильно увеличился. 13 из 14 участников снова набрали большой вес, а четыре конкурсанта сейчас весят больше, чем до участия в шоу.
Но за время проведения исследования метаболизм участников значительно замедлился. По сути, их тела ежедневно сжигали в среднем примерно на 500 калорий меньше (примерно столько потребляется за один прием пищи), чем ожидалось, учитывая их вес. Это продолжалось и по истечении шести лет, несмотря на то, что большинство участников постепенно набирали потерянный вес обратно.
Сандра Амодт, невролог и автор готовящейся к выпуску книги «Почему из-за диет мы толстеем» (Why Diets Make Us Fat), объяснила, что скорее всего это — решительное намерение организма вернуть определенный вес, так называемую заданную величину. Когда вы набираете вес и удерживаете его на протяжении определенного периода времени, организм может привыкнуть к своим увеличившимся размерам. Когда этот вес снижается, начинают происходить некоторые едва заметные изменения — в уровне гормонов, в мозгу — которые приводят к замедлению скорости обмена веществ в состоянии покоя, из-за чего голод становится сильнее, а насыщение пищей приходит медленнее. Все это, кажется, направлено на возвращение массы тела к заданной величине.
К примеру, в исследовании шоу «Потерявший больше всех» ученые обнаружили, что у всех участников снизился уровень гормона лептина в крови. Лептин — один из основных гормонов, регулирующих чувство голода. К моменту завершения шоу конкурсанты почти полностью исчерпали запасы лептина, из-за чего они постоянно испытывали голод. Через шесть лет уровень лептина восстановился, но лишь на 60% от его уровня до участия в конкурсе.
- «Я думаю, что большинство людей не осознает, какими значительными могут быть связанные с метаболизмом изменения, происходящие при сильном снижении веса, — считает Амодт. — Набор и снижение веса не равноценны: организм гораздо сильнее сопротивляется потере веса, чем его увеличению»
Но не у всех любое снижение веса приводит к такому пагубному замедлению скорости метаболизма. Например, воздействие на лептин, как в случае с исследованием шоу «Потерявший больше всех», не наблюдается при снижении веса хирургическим путем.
Действительно, все ученые, с которыми я говорила, считают, что результаты, полученные в ходе исследования «Потерявший больше всех», были крайностью и, возможно, не могут быть использованы как общие показатели для большинства людей. (Это ясно, ведь в исследовании участвовали только 14 человек, потерявших огромное количества веса с помощью экстремальной диеты и программы тренировок.)
Дженсен из клиники Майо заявил, что у участников его исследования — пациентов, потерявших около 10 кг за четыре месяца — не замечалось такого резкого замедления обмена веществ.
- «Мы не наблюдаем очень сильного замедления метаболизма как в «Потерявший больше всех». При медленном, постепенном снижении веса скорость метаболизма хорошо сохраняется»
Читайте подробнее: Гормональные изменения при похудении
Почему происходит замедление обмена веществ[править | править код]
Одна из наиболее утвердившихся гипотез объясняет это через эволюцию. «В течение сотен тысяч лет мы эволюционировали в среде, где нам приходилось часто сталкиваться с периодами недоедания, — рассказывает Розенбаум из Колумбийского университета. — Поэтому можно предположить, что в человеческой ДНК присутствует множество генов, которые способствуют накоплению дополнительных калорий в виде жиров. Данная особенность в определенной степени увеличивает нашу способность выживать при недоедании и увеличивает способность к размножению — генетическое выживание».
На сегодняшний день считается, что неспособность сбросить вес — это защита нашего организма на случай периодов недоедания, хотя сейчас они и случаются гораздо реже.
Но не все исследователи согласны с этой так называемой гипотезой «бережливого гена». В 2003 году эпигенетик Джон Спикмэн написал в своем анализе, что одна из проблем данной гипотезы заключается в том, что не все современные люди толстые:
«Если запасающие аллели обеспечивают селективное преимущество для выживания во время голода и голод сопровождал нас все это время, то эти аллели укрепились бы у всего населения. У всех нас имелись бы запасающие аллели, и в современном обществе мы все страдали бы ожирением. Но очевидно, что это не так. Даже среди представителей наиболее тучных наций, скажем, в США, еще остается определенное число людей, составляющих примерно 20% населения, которые упорно остаются худыми. Если голод способствовал распространению запасающих аллелей, следует спросить, как так много людей умудрилось их не унаследовать»
Также Розенбаум добавил: «Эволюция генетической предрасположенности человека к накоплению жиров довольно сложная. Она связана с частыми изменениями в окружающей среде, с взаимодействием особых генов с этой средой, и даже с взаимодействием между генами». И все еще не до конца известно, как это происходит.
К тому же, исследователи пытаются лучше изучить метаболический синдром — такое название дали набору симптомов, включающему в себя повышенное давление, высокий уровень сахара в крови, широкую талию и превышающий норму уровень холестерина или триглицерида. Человек, испытывающий несколько из этих проблем, наиболее подвержен риску хронических проблем со здоровьем, среди которых заболевания сердца, инсульт и диабет. Опять же, как это происходит и почему некоторые люди склонны к этому больше других, остается загадкой.
Контроль веса после похудения[править | править код]
«В среднем 15% людей удается сбросить 10% или более собственного веса и поддерживать его на этом уровне», — утверждает Розенбаум. Значит, снижение веса возможно.
С каждым желающим сбросить вес Розенбаум делится, что главное — это внести в свой стиль жизни изменения, которых вы сможете придерживаться в течение долгого времени, и расценивать их как необходимые для контроля над заболеванием — ожирением. (Больше советов от специалистов по снижению веса можно найти здесь.)
В качестве примера он приводит исследование Национального реестра контроля веса (National Weight Control Registry), в котором анализируются черты, привычки и нормы поведения взрослых людей, которым удалось сбросить хотя бы 13,5 кг и поддерживать достигнутый вес на протяжении как минимум одного года. На данный момент в этом исследовании участвует более 10 000 человек, которые ежегодно проходят опрос на тему того, как им удается удержать вес.
У тех, кто сумел похудеть, есть несколько общих черт: они взвешиваются хотя бы раз в неделю. Они проводятрегулярные тренировки с разной степенью интенсивности, а самое популярное упражнение среди них — ходьба. Ониограничивают потребление калорий, воздерживаются от пищи с высоким содержанием жиров и следят за размером порций. Они также стараются не пропускать завтрак, хотя до сих пор не ясно, имеет ли значение время приема пищи.
Но составляющие их блюд сильно отличаются. (Так что не существует «лучшей» или «модной» диеты, которая творит чудеса.) А еще они считают калории.
«Они сильно поменяли режим питания и план тренировок. Это непросто, — рассказывает Розенбаум. — Но я скорее предпочту, чтобы мне говорили, что я не могу сбросить и удержать вес из-за биологического заболевания, а не из-за того, что… я ленивый обжора».
