Концентрация лекарственных веществ
Источник: «Наглядная фармакология».
Автор: X. Люльман. Пер. с нем. Изд.: М.: Мир, 2008 г.
Содержание
- 1 Концентрация лекарственного вещества в организме во времени
- 2 Изменение концентрации лекарства в плазме крови во времени
- 3 Концентрация лекарства в плазме крови при постоянном приеме
- 4 Изменение концентрации лекарства в плазме крови при нерегулярном приеме
- 5 Кинетические изменения концентрации лекарственных веществ в плазме и оказываемый эффект
- 6 Сывороточная концентрация лекарственного средства
- 7 Соблюдение врачебных предписаний
- 8 Читайте также
- 9 Литература
Концентрация лекарственного вещества в организме во времени[править | править код]
Всасывание и выведение лекарств описывается экспоненциальной функцией от времени.
Всасывание лекарственных веществ подчиняется закону Фика: количество лекарства, проникшего в определенный промежуток времени из одного компартмента в другой, зависит от разности (градиента) концентраций в этих двух компартаментах. Таким образом, всасывание обусловлено тем, что концентрация лекарства в кишечнике выше, чем в крови.
Выведение лекарств почками во многом зависит от гломерулярной фильтрации, т. е. определяется количеством вещества в первичной моче. При падении концентрации препарата в крови снижается скорость фильтрации, т. е. количество вещества, попавшее в мочу за определенное время, уменьшается. Из экспоненциальной зависимости (А) следует, что время, за которое концентрация вещества в фильтрате уменьшается вдвое, — постоянная величина, которая называется временем полувыведения (t1/2). Время полувыведения экспоненциально связано с константой скорости выведения k:t=In 2/k; константа скорости к также экспоненциально связана с исходной концентрацией вещества с0.
Пользуясь этими математическими формулами, можно определить объем плазмы, которая очищается от лекарства за определенное время, при условии, что оставшееся лекарственное вещество не распределится вновь равномерно по всему объему (на самом деле это условие, конечно, не может быть соблюдено). Объем плазмы, освобождающейся от лекарственного вещества в единицу времени, называется клиренсом. В зависимости от того, каким образом снижается концентрация лекарства в организме, т. е. происходит его выведение в неизменном виде или же оно претерпевает химические превращения, говорят о почечном или печеночном клиренсе. Если лекарство частично выводится почками в неизменном виде, а частично метаболизируется печенью, то почечный и печеночный клиренс дают суммарный клиренс Сloбщ- Этот показатель зависит от всех путей выведения и связан с периодом полувыведения t1/2 и кажущимся объемом распределения Vкаж:
t1/2 = In 2 • Vкаж/ СlOБЩ
Период полувыведения тем короче, чем меньше объем распределения или чем больше суммарный клиренс.
Если лекарство выводится почками в неизменном виде, то по его концентрации в моче можно установить период полувыведения: общее количество выведенного вещества в конечном итоге должно быть равно количеству всосавшегося.
При печеночном клиренсе наблюдается экспоненциальная кривая изменения концентрации во времени, так как активность метаболических ферментов пропорциональна концентрации субстрата. При понижении концентрации субстрата соответственно понижается скорость ферментативной реакции.
Самое известное исключение из этого правила — выведение этанола, при концентрации которого в крови > 0,2%о скорость выведения падает не экспоненциально, а линейно. Это связано с низким «порогом» (низкой концентрацией) полунасыщения алкогольдегидрогеназы фермента, расщепляющего спирт (80 мг/л, или ~ 0,08%о). При концентрации этанола > 0,2%о скорость реакции не зависит от концентрации субстрата (спирта): клиренс остается постоянным.
Изменение концентрации лекарства в плазме крови во времени[править | править код]
Изменение концентрации лекарства (А). Лекарства могут попадать в организм и выводиться из него разными путями. В организме, как в любой открытой системе, концентрация лекарства определяется скоростями введения и выведения этого вещества. При пероральном введении всасывание происходит через желудок и кишечник. Скорость всасывания зависит от множества факторов, например скорости растворения лекарства (в случае твердой лекарственной формы), эффективности перистальтики, способности вещества проникать через мембраны, разности концентраций этого вещества в кишечнике и крови, кровообращения в слизистой кишечника. Всасывание из кишечника приводит к повышению концентрации лекарства в крови. Далее лекарство попадает в различные органы (распределение) и может захватываться ими в разной степени. Однако сначала лекарство попадает в хорошо снабжаемые кровью органы (например, мозг). В результате проникновения лекарственного вещества в ткани его концентрация в крови падает. Поступление лекарства из кишечника замедляется из-за уменьшения градиента концентрации этого вещества в кишечнике и крови. Максимальная концентрация лекарства в крови достигается, когда количество выводимого в единицу времени вещества равно количеству всосавшегося. Поступление лекарства в печень и почки в конечном итоге приводит к его выведению. Изменение концентрации лекарства в плазме обусловлено процессами всасывания, распределения и выведения, которые могут происходить одновременно. Если всасывание вещества из кишечника длится дольше, чем его распределение в организме, то концентрация вещества в крови определяется всасыванием и выведением. Это математически описывается уравнением Батемана k1 и k2 — константы скоростей всасывания и выведения соответственно). При быстром внутривенном введении распределение лекарства в организме происходит значительно быстрее, опережая выведение, и концентрация вещества в плазме сначала резко возрастает, а затем медленно падает, причем период быстрого снижения концентрации называется а-фазой (фазой распределения), а период замедления — β-фазой (фазой выведения).
Изменения концентрации лекарства в плазме крови во времени в зависимости от способа введения (Б). Скорость всасывания зависит от пути введения препарата. Чем быстрее всасывание, тем меньше время fmax, за которое достигается максимальная концентрация в плазме Cmax, и тем раньше начинается снижение концентрации.
Площадь под кривой зависимости концентрации вещества в плазме от времени (AUC, Area Under Curve) не зависит от способа введения при одинаковой дозе и полной биодоступности.
Исходя из этого, можно определить биодоступность F. При введении одинаковой дозы
F=AUC (п/о) / AUC (в/в)
Биодоступность определяет количество лекарственного вещества в крови после перорального (п/о) введения.
Данное уравнение используется для сравнения различных лекарственных препаратов, содержащих одно и то же действующее вещество в одинаковой концентрации: идентичные значения AUC и концентрации в плазме означают биоэквивалентность препаратов.
Концентрация лекарства в плазме крови при постоянном приеме[править | править код]
Если лекарство принимают в определенной дозе через одинаковые интервалы времени, то его концентрация в плазме зависит от соотношения периода полувыведения и временного интервала между приемами. Если лекарство после каждого приема выводится полностью до поступления новой дозы, то концентрация этого вещества в плазме каждый раз достигает одинакового уровня. Если лекарство вводится до того, как произошло его полное выведение, то действующая и вводимая вновь концентрация складываются, и наблюдается кумулятивный эффект.
Чем короче интервал времени между приемами препарата по сравнению с периодом полувыведения, тем больше остаточное количество лекарства в крови, к которому добавляется новая доза, и тем сильнее выражен кумулятивный эффект. Однако этот процесс в конце концов приходит к равновесному состоянию, когда устанавливается постоянная концентрация лекарственного вещества в плазме css (от англ, steady state). Установление равновесной концентрации Css вызвано тем, что скорость выведения вещества зависит от его концентрации. Чем больше концентрация лекарственного вещества в плазме, тем больше вещества выводится в единицу времени. После многократного приема лекарства его концентрация в плазме достигает такой величины, когда количество выведенного вещества за определенный промежуток времени равно количеству поступившего за это время вещества: наступает равновесное состояние. Равновесная концентрация препарата в плазме (Css) зависит от количества препарата (D), введенного за определенный интервал времени (т), и клиренса(Сl):
Css = D/т• CI
Время, через которое достигается равновесное состояние, коррелирует со скоростью выведения лекарства:
время достижения 90% = 3,3 х период полувыведения t1/2
Изменение концентрации лекарства в плазме крови при нерегулярном приеме[править | править код]
Поддержание постоянной концентрации лекарства в крови трудно осуществить на практике. Если, например, пропущены два приема, концентрация падает ниже терапевтического уровня (знаки вопроса на рис. Б), и нужно длительное время для его восстановления. Готовность и способность пациента следовать предписаниям врача называется согласием пациента.
Нерегулярное поступление препарата имеет место при назначении суточной дозы в три приема (3 раза в день): первая доза утром до завтрака, вторая до обеда и третья перед ужином. При таком способе приема существует длительный ночной перерыв, который в два раза превышает дневные интервалы. Концентрация лекарства в плазме в утренние часы может быть значительно ниже желаемой.
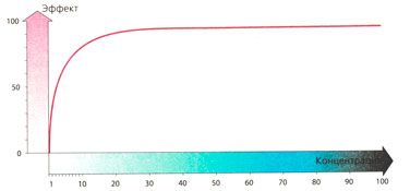
Кинетические изменения концентрации лекарственных веществ в плазме и оказываемый эффект[править | править код]
После введения лекарства его концентрация в плазме повышается, достигает максимума и вследствие выведения падает до исходного уровня. Концентрация вещества в плазме через определенный промежуток времени зависит от введенной дозы. При приеме терапевтических доз для большинства лекарственных веществ возникает линейная зависимость между концентрацией и дозой (А обратите внимание на различные масштабы осей ординат). Иная зависимость наблюдается для лекарственных веществ с быстрым выведением: при повышении концентрации лекарственных веществ в крови клиренс не может увеличиваться пропорционально. В таком случае при высокой дозе выводится лишь относительно малая часть лекарственного вещества. Пример выведение этанола (спирта). Насыщение фермента, расщепляющего спирт (алкогольдегидрогеназы), происходит уже при низкой концентрации спирта в плазме. При более высокой концентрации спирта в плазме одно и то же количество спирта подвергается расщеплению в единицу времени, т. е. наблюдается линейный вид зависимости от времени. Однако большинство лекарственных веществ выводится пропорционально их концентрации.
Изменения во времени эффекта лекарства и его концентрации в плазме несинхронны, так как зависимости концентрация-эффект могут быть довольно сложными (например, иметь пороговый характер) и чаще всего описываются гиперболой (Б). Это означает, что при линейной зависимости концентрации от дозы оказываемый через определенное время эффект также зависит от дозы (В). При применении низких доз (доза = 1) концентрация вещества (в пределах 0-0,9) и оказываемый эффект меняются почти линейно. Графики А и В (слева) очень похожи. При введении более высокой дозы (100) концентрация лекарства долго находится в определенных пределах (от 90 до 20), где ее колебания не влияют на оказываемый эффект. Затем при высокой дозе (100) кривая зависимости эффекта от времени выходит на плато. Эффект уменьшается только при сильном снижении концентрации (ниже 20).
Длительность действия лекарства можно повысить посредством увеличения дозировки. Так, например, пенициллин G принимают каждые 8 ч, хотя препарат имеет время полувыведения 30 мин. Введение таких высоких доз возможно только при отсутствии токсического действия.
При регулярном приеме лекарства можно достичь стойкого эффекта, несмотря на то что концентрация в плазме колеблется.
Взаимосвязь между концентрацией и эффектом описывается гиперболической функцией, и именно поэтому эффект (в отличие от изменения концентрации в плазме) нельзя описать экспоненциальной кривой. Период полувыведения отражает только концентрацию препарата в крови, но не начало или продолжительность его действия.
Сывороточная концентрация лекарственного средства[править | править код]
Источник:
Клиническая фармакология по Гудману и Гилману том 1.
Редактор: профессор А.Г. Гилман Изд.: Практика, 2006 год.
Сывороточную концентрацию лекарственного средства (в стационарном состоянии) измеряют главным образом для коррекции дозы. По уравнению 1.14 рассчитывают соотношение Cl/F для данного больного:
Сl/F= Скорость поступления/Ссредн (1-21)
где Ссредн — измеренная средняя сывороточная концентрация в стационарном состоянии. Затем, исходя из требуемой средней сывороточной концентрации препарата, определяют новую поддерживающую дозу.
При измерении сывороточной концентрации препарата возникает ряд трудностей. Во-первых, в какой точке интервала между введениями нужно брать пробу крови? Ответ на этот вопрос зависит от того, с какой целью измеряют сывороточную концентрацию препарата — для оценки побочных эффектов или для коррекции дозы. Для оценки побочных эффектов может оказаться информативной проба крови, взятая в любое время после введения. Однако у разных больных реакция на препарат может существенно различаться, поэтому сывороточная концентрация — лишь один из многих параметров, по которым судят о побочном действии.
Фармакологические эффекты не всегда соответствуют динамике сывороточной концентрации (из-за медленного распределения препарата или фармакодинамических взаимодействий). Так, вскоре после приема очередной дозы дигоксина его сывороточная концентрация обычно превышает 2 нг/мл (верхняя граница терапевтического диапазона), но побочных эффектов при этом не возникает, а пик действия наступает гораздо позднее. Поэтому измерение сывороточной концентрации вскоре после введения очередной дозы не только неинформативно, но может ввести в заблуждение.
Коррекция дозы по сывороточной концентрации, измеренной вскоре после введения, почти всегда приводит к ошибкам. Сразу после введения сывороточная концентрация препарата зависит не от клиренса, а в основном от скорости всасывания, начального объема распределения и скорости распределения — параметров, малоинформативных для подбора длительного лечения. Чтобы на основании сывороточной концентрации рассчитать соотношение Cl/F и, соответственно, нужную дозу и частоту введения, пробу крови необходимо брать значительно позже, как правило, перед введением очередной дозы, когда сывороточная концентрация препарата минимальна. Исключение составляют препараты, которые почти полностью элиминируются за время между введениями и действуют только вскоре после введения очередной дозы. Чтобы определить, достигают ли они терапевтической концентрации, пробу крови берут вскоре после введения очередной дозы, то есть определяют максимальную сывороточную концентрацию. Если же предполагается, что у больного снижен клиренс (например, при почечной недостаточности) и препарат накапливается в организме, более информативна минимальная сывороточная концентрация. Поэтому в некоторых случаях целесообразно определять и минимальную, и максимальную сывороточные концентрации.
Во-вторых, через какое время после начала лечения нужно брать пробу крови? При многократном введении поддерживающей дозы стационарное состояние наступает только спустя 4Т1/2. Если пробу крови взяли раньше, стационарное состояние еще не установилось и по сывороточной концентрации нельзя рассчитать клиренс. Вместе с тем при высоком риске побочных эффектов ждать, пока пройдет время, равное 4Т1/2, опасно. Поэтому в тех случаях, когда нужно тщательно следить за сывороточной концентрацией препарата, ее определяют через 2Т1/2 (при условии, что насыщающую дозу не вводили). Если эта концентрация превышает 90% предполагаемой средней концентрации в стационарном состоянии, скорость поступления препарата уменьшают вдвое, если нет — лечение продолжают в тех же дозах. Спустя 2Т1/2 снова измеряют сывороточную концентрацию. Если последняя больше требуемой, скорость поступления вновь уменьшают вдвое. Если спустя 2Т1/2 от начала лечения сывороточная концентрация препарата ниже ожидаемой, рекомендуется дожидаться установления стационарного состояния (то есть выждать еще 2Т1/2) и лишь затем корректировать дозу.
В-третьих, проба крови, взятая перед введением очередной дозы, позволяет измерить не среднюю, а минимальную концентрацию препарата. Среднюю концентрацию можно рассчитать по уравнению 1.14 (см. выше).
Для лекарственных средств, элиминация которых подчиняется кинетике первого порядка, минимальная и максимальная сывороточные концентрации в стационарном состоянии прямо пропорциональны дозе и скорости поступления препарата (уравнения 1.14, 1.17, 1.18). Следовательно, новую дозу можно рассчитать по соотношению измеренной и требуемой сывороточных концентраций, а затем округлить до ближайшей стандартной лозы.
Измеренная Ссредн / Требуемая Ссредн =Прежняя доза / Новая доза
Предположим, что в рассмотренном выше примере у больного, принимающего дигоксин в дозе 0,375 мг/сут, средняя сывороточная концентрация препарата в стационарном состоянии составляет 1,65 нг/мл вместо требуемой 1,3 нг/мл. В таком случае дозу нужно уменьшить до 0,25 мг/сут.
Новая доза = Требуемая Ссредн / Измеренная Ссредн х Прежняя доза = (1,3/1,65) х 0,375 = 0,295 = 0,25 мг/сут.
Соблюдение врачебных предписаний[править | править код]
Успех лечения зависит от того, насколько тщательно больной выполняет предписания врача — как говорится, лекарства не помогают, если их не принимать. Несоблюдение врачебных назначений — распространенная (и зачастую недооцениваемая) причина неэффективности терапии, особенно длительной (гипотензивной, антиретровирусной, противосудорожной). Если врач не добивается активного участия больного в лечении, неукоснительно соблюдают назначения только половина больных. Еще треть нарушает режим время от времени, а каждый шестой — систематически. Пропуск дозы встречается чаще, чем прием лишней дозы. На соблюдение врачебных предписаний больше влияет не число назначенных лекарственных средств, а число приемов (Farmer, 1999). Чем меньше число приемов, тем точнее больные следуют предписанной схеме лечения. Не менее важно помочь больному осознать ответственность за свое здоровье, обсуждая с ним суть заболевания и общий план лечения.
Читайте также[править | править код]
Литература[править | править код]
- Benet, L.Z., and Galeazzi, R.L. Noncompartmental determination of the steady-state volume of distribution. J. Pharm. Sci., 1979, 68:1071— 1074.
- Farmer, K.C. Methods for measuring and monitoring medication regimen adherence in clinical trials and clinical practice. Clin. Ther., 1999,21: 1074-1090.
- Kim, R.B., Fromm, M.F., Wandei, C., Leake, B., Wood, A.J.J., Roden, D.M., and Wilkinson, G.R. The drug transporter P-glycoprotein limits oral absorption and brainentry ofHlV-1 protease inhibitors. J. Clin. Invest., 1998,101:289-294.
- Klotz, U., Avant, G.R., Hoyumpa, A., Schenker, S., and Wilkinson, G.R. The effects of age and liver disease on the disposition and elimination of diazepam in adult man. J. Clin. Invest., 1975, 55:347-359.
- Morgan, D.J., and Smallwood, R.A. Clinical significance of pharmacokinetic models of hepatic elimination. Clin. Pharmacokinet., 1990, 18: 61-76.
- Wilkinson, G.R., and Shand, D.G. Commentary: a physiological approach to hepatic drug clearance. Clin. Pharmacol. Ther., 1975, 18:377— 390.
- Williams, R.L., Blaschke, T.F., Meffm, P.J., Melmon, K.L., and Rowland, M. Influence of acute viral hepatitis on disposition and plasma binding of tolbutamide. Clin. Pharmacol. Ther., 1977, 21:301-309.
- Wormhoudt, L.W., Commandeur, J.N., and Vfermeulen, N.P. Genetic polymorphisms of human /V-acetyltransferase, cytochrome P450, gluta-thione-S-transferase, and epoxide hydrolase enzymes: relevance to xeno-biotic metabolism and toxicity. Crit. Rev. Toxicol., 1999,29:59—124.








