Тренированность и ее показатели
Содержание
- 1 Тренированность организма
- 2 Морфофункциональная и метаболическая характеристика тренированности
- 3 Оценка состояния тренированности спортсменов по данным функциональных показателей двигательного аппарата и сенсорных систем
- 4 Определение тренированности спортсмена по оценке устойчивости к гипоксии
- 5 Натренированность мышц
- 6 Читайте также
Тренированность организма[править | править код]
Что такое тренированность организма? Допустим, вы впервые после школы, университета или армии, где спорт был обязательной частью процесса, решили совершить пробежку. Предположим, в первый свой выход на дорожку вы осилили с отдышкой и проклятиями один круг На следующий день этот же круг вы пробежите практически спокойно. На третьей тренировке преодолеть круг будет совсем легко: значит, можно увеличивать дистанцию. Шаг за шагом, постепенно увеличивая нагрузку, вы учите организм справляться с ней. Уже через месяц вы свободно пробегаете километр, через полгода — десять. Взгляните на того человека, которым вы были 6 месяцев назад: для него пробежать 10 км было так же невыполнимо, как полететь в космос. Однако с тренированностью границы возможностей раздвигаются.
Невозможно справляться с нагрузкой бесконечно, когда-нибудь любой спортсмен выходит на пик своей формы — на тот уровень результатов, выше которого он физически не сможет подняться.
За долгие годы тренировок организм в обычной жизни учится жить в более экономичном режиме. У стайеров, например, пульс в покое составляет 40-55 ударов в 1 мин(нормальный пульс нетренированного человека — 60-80 ударов в 1 мин); давление пониженное, примерно 100/60 мм рт. ст. (норма — 120/80), что исключает возможность инфарктов, при повышении, оно не выйдет за критические значения; количество вдохов в минуту снижается до 12-14 против 16-20 у нетренированных людей, увеличивается глубина дыхания. Однако все эти положительные явления можно наблюдать лишь при правильном построении тренировок. В противном случае велика вероятность травм, переутомления, ухудшения работы органов. Правильный тренировочный процесс бегуна состоит не только из увеличения километража, но и из силовых занятий(для укрепления мышечного корсета и мышц конечностей), активных игр (футбол, баскетбол) для развития скоростных навыков плавания — для восстановления. Для спортсмена, участвующего в соревнованиях, годичный цикл тренировок разбит на несколько этапов :
- подготовительный (общая и специальная физическая подготовка);
- соревновательный (набор, сохранение и временное снижение спортивной формы);
- переходный (активный и пассивный отдых).
Такое деление связано с тем, что спортсмен не может находиться на пике формы продолжительный промежуток времени, поэтому весь тренировочный процесс выполняет главную задачу — подвести спортсмена к пику формы во время ответственных стартов.
Морфофункциональная и метаболическая характеристика тренированности[править | править код]
Источник:
Учебное пособие для ВУЗов «Спортивная физиология».
Автор: И.И. Земцова Изд.: Олимпийская лит-ра, 2010 год.
Для характеристики состояния тренированности исследуют физиологические показатели в состоянии покоя, во время стандартных (немаксимальных) и предельных нагрузок. У тренированных лиц в состоянии покоя, а также во время выполнения стандартных не максимальных нагрузок отмечается феномен экономизации функций — менее выраженные функциональные изменения, чем у лиц нетренированных или малотренированных. В случае использования максимальных физических нагрузок отмечается феномен усиления максимальных функциональных возможностей до предельных значений (Бепоцерковский, 2005, Дубровский, 2005; Коц, 1986).
В состоянии покоя о тренированности организма свидетельствуют: гипертрофия левого желудочка в 34 % случаев и в 20 % — гипертрофия обоих желудочков, увеличение объема сердца (максимально до 1700 см3), замедление ЧСС до 50 уд-мин-1 и менее (брадикардия), синусовая аритмия и синусовая брадикардия, изменение характеристик зубцов Р и Т. В аппарате внешнего дыхания отмечается увеличение ЖЕЛ (максимально до 9000 мл) за счет развития дыхательных мышц, замедление частоты дыхания до 6—8 циклов за минуту. Увеличивается время задержки дыхания (примерно до 146 с), что свидетельствует о большей способности переносить гипоксию.
В системе крови у спортсменов в состоянии покоя увеличиваются объем циркулирующей крови в среднем на 20 %, общее количество эритроцитов, гемоглобина (до 170 гг1), что свидетельствует о высокой кислородной емкости крови.
Показателями тренированности двигательного аппарата являются: гипертрофия мышц, сокращения двигательной хронаксии, уменьшение разницы в величинах хронаксии мышц-антагонистов, увеличение способности мышц к напряжению и расслаблению, совершенствование проприоцептивной чувствительности мышц и др.
Во время выполнения стандартных (немаксимальных) физических нагрузок показателями тренированности являются меньшая выраженность функциональных изменений у тренированных лиц по сравнению с нетренированными.
Во время выполнения предельных физических нагрузок отмечается феномен повышения реализации функций: ЧСС повышается до 240 уд мин-1, МОК — до 35—40 л-мин-1, увеличивается пульсовое давление, ЛВ достигает 150—200 л мин, V02max—6—-7 л-мин-1, МКД—22 л и более, максимальная концентрация лактата в крови может достигать 26 ммоль-л-1, pH крови смещается в сторону более низких значений (к pH = 6,9), концентрация глюкозы в крови может уменьшиться до 2,5 ммоль-л-1, ПАНО у тренированных лиц наступает при потреблении кислорода на уровне 80—85 % V02max (Дубровский, 2005; Куроченко, 2004; Физиологические механизмы адаптации, 1980; Физиологическое тестирование спортсменов..., 1998).
В нагрузочном тестировании следует использовать физические нагрузки, отвечающие таким требованиям:
- чтобы можно было измерить выполненную работу и в дальнейшем ее воспроизвести;
- чтобы существовала возможность изменять интенсивность работы в необходимых пределах;
- чтобы была задействована большая масса мышц, что обеспечивает необходимую интенсификацию системы транспорта кислорода и предотвращает возникновение локального мышечного утомления;
- быть достаточно простыми, доступными и не требовать особых навыков или высокой координации движений.
В нагрузочном тестировании обычно используют велоэргометры или ручные эргометры, ступеньки, тредбан (Физиологическое тестирование спортсменов..., 1998; Спортивная медицина. Практические..., 2003).
Преимуществом велоэргометрии является то, что мощность нагрузки может быть четко дозирована. Относительная неподвижность головы и рук во время педалирования позволяет определять различные физиологические показатели. Особенно удобны электромеханические вепоэргометры. Их преимуществом является то, что в процессе работы не нужно следить за темпом педалирования, изменение его в определенных пределах не влияет на мощность работы. Недостатком велоэргометрии является возникновение локального утомления в мышцах нижних конечностей, что лимитирует работу во время интенсивных или продолжительность физических нагрузок.
Степэргометрия — простой способ дозирования нагрузок, в основе которого лежит модифицированное восхождение на ступеньку, что позволяет выполнять нагрузку в лабораторных условиях. Мощность работы регулируется изменением высоты ступеньки и темпом восхождения.
Используют одно-, дво-, триступенчатые лестницы, которые могут различаться высотой ступенек. Темп восхождения задают метрономом, ритмическим звуковым или световым сигналом. Недостатком степэргометрии является невысокая точность дозирования мощности нагрузки.
Тредбан позволяет моделировать локомоции — ходьбу и бег в лабораторных условиях. Мощность нагрузки дозируется изменением скорости и угла наклона движущейся ленты. Современные тредбаны оснащены автоматическими эргометрами, регистраторами ЧСС или газоанализаторами с компьютерным обеспечением, которые позволяют точно контролировать мощность нагрузки и получать большое количество абсолютных и относительных функциональных показателей газообмена, кровообращения, энергетического обмена.
Самыми распространенными являются такие виды нагрузок (Мищенко В. С., 1990; Левушкин, 2001; Солодков, Сологуб, 2005).
1. Непрерывная нагрузка постоянной мощности. Мощность работы может быть одинаковой для всех испытуемых или меняться в зависимости от пола, возраста и физической подготовленности.
2. Ступенчатовозрастающая нагрузка с интервалом отдыха после каждой «ступеньки».
3. Непрерывная работа при равномерно возрастающей мощности (или почти равномерно) с быстрой сменой следующих ступенек без интервалов отдыха.
4. Ступенчатовозрастающая непрерывная нагрузка без интервалов отдыха.
Оценка состояния тренированности спортсменов по данным функциональных показателей двигательного аппарата и сенсорных систем[править | править код]
Исследование функционального состояния двигательного аппарата. Под влиянием тренировочных занятий адаптационные изменения происходят не только в активном звене двигательного аппарата — мышцах, но и в костях, суставах и сухожилиях. Кости грубеют и становятся крепче. На них образуются шероховатости, выступы, обеспечивающие лучшие условия для прикрепления мышц и предотвращения возникновения травм.
Более значительные изменения происходят в мышцах. Увеличиваются масса и объем скелетных мышц (рабочая гипертрофия), количество кровеносных капилляров, вследствие чего к мышцам поступает больше питательных веществ и кислорода. Если у нетренированных лиц на 100 мышечных волокон приходится 46 капилляров, то у хорошо тренированных спортсменов — 98. Благодаря усиленному обмену веществ увеличивается объем отдельных мышечных волокон, утолщается их оболочка, увеличиваются объем саркоплазмы, количество миофибрилл, и, как следствие, объем и масса мышц, что составляет у спортсменов разной специализации 44—50 % массы тела и более (Ал-тер, 2001; Козлов, Гладышева, 1997; Спортивная медицина. Практические..., 2003).
Функциональные свойства двигательного аппарата в значительной мере определяются композиционным составом мышц. Так, упражнения скоростной и силовой направленности выполняются эффективнее, если в мышцах преобладают быстросокращающиеся (БС) волокна, а упражнения с проявлением выносливости — с преобладанием медленносокращающихся (МС) мышечных волокон. Например, у спортсменов-спринтеров содержание БС волокон — в среднем 59,8 % (41—79 %). Композиция мышц генетически обусловлена, и под влиянием систематических тренировочных занятий не отмечается перехода одного типа волокон в другой. В некоторых случаях наблюдается переход одного подтипа БС волокон в другой.
Под влиянием спортивной тренировки увеличиваются запас энергетических источников г- креатинфосфата, гликогена и внутриклеточных липидов, активность ферментативных систем, емкость буферных систем и др.
Морфологические и метаболические превращения в мышцах, возникающие под влиянием тренировочных занятий, являются основой функциональных изменений. Благодаря гипертрофии, например, увеличивается сила мышц у футболистов: разгибателей голени от 100 до 200 кг, сгибателей голени — от 50 до 80 кг и более (Дудин, Лисенчук, Воробьев, 2001; Евгеньева, 2002).
Мышцы тренированных людей более возбудимы и функционально подвижны, о чем судят по времени двигательной реакции или времени одиночного движения. Если время двигательной реакции у нетренированных лиц составляет 300 мс, то у спортсменов — 210—155 мс и менее (Филиппов, 2006).
Исследование силы мышц спортсменов при помощи динамометров[править | править код]
Оснащение: динамометры (ручной и становой).
Ход работы
При помощи ручного (кистевого) динамометра измеряют силу мышц кисти и предплечья нескольких испытуемых (желательно разных специализаций). Измерения проводят трижды, учитывают самый больший показатель. Высоким показателем считается величина, составляющая 70 % массы тела.
Сила мышц спины измеряется при помощи станового динамометра. Исследования у каждого студента проводят трижды, учитывают максимальный результат. Анализ полученных показателей проводят с учетом массы тела испытуемых, используя такие данные:
|
Результат, % массы тела |
Оценка |
|
170 |
Низкая |
|
170—200 |
Ниже средней |
|
200—230 |
Средняя |
|
230—250 |
Выше средней |
|
260 |
Высокая |
Полученные показатели силы мышц кисти и предплечья, а также становой силы всех испытуемых анализируют и делают выводы.
Исследование функциональной устойчивости вестибулярного аппарата с помощью пробы Яроцкого[править | править код]
Мышечная деятельность возможна только тогда, когда центральная нервная система получает информацию о состоянии внешней и внутренней среды организма. Такая информация поступает в центральную нервную систему через специальные образования — рецепторы, являющиеся высокочувствительными нервными окончаниями. Они могут быть частью органов чувств (глаз, ухо, вестибулярный аппарат) или функционировать самостоятельно (температурные рецепторы кожи, болевые рецепторы и др.). Импульсы, возникающие во время раздражения рецепторов, через чувственные (центростремительные) рецепторы достигают разных отделов центральной нервной системы и сигнализируют о характере влияния внешней среды или о состоянии внутренней среды. В центральной нервной системе происходит их анализ и создается программа адекватного ответного действия. Образования, включающие участок ЦНС, центростремительный нерв и орган чувств, называют анализаторами.
Для каждого вида спорта характерно участие ведущих анализаторов. Прежде всего, для нестандартнопеременных видов спорта (все спортивные игры, единоборства, горнолыжный спорт и др.) чрезвычайно важное значение имеют мышечный и вестибулярный анализаторы, обеспечивающие реализацию технических приемов (Круцевич, 1999; Солодков, Сологуб, 2003).
Во внутреннем ухе находится вестибулярный аппарат. Его рецепторы воспринимают положение тела в пространстве, направление движения, скорость, ускорение. Кроме того, вестибулярный аппарат получает функциональную нагрузку при резких стартах, поворотах, падениях и остановках. Во время выполнения физических упражнений происходит его постоянное раздражение, и потому его устойчивость обеспечивает стабильность выполнения технических приемов. При значительных раздражениях вестибулярного аппарата у спортсменов нарушается точность действий, появляются технические ошибки. Одновременно появляются негативные реакции, влияющие на деятельность сердца, ускоряя или замедляя ЧСС, чувствительность мышц. Поэтому система функционального контроля должна включать методику определения устойчивости вестибулярного аппарата спортсменов, прежде всего пробу Яроцкого.
Оснащение: секундомер.
Ход работы
Из числа студентов выбирают нескольких испытуемых разной специализации и с разным уровнем спортивного мастерства.
Испытуемый, стоя с закрытыми глазами, выполняет обороты головой в одну сторону в темпе 2 движения за 1 с. Определяют время сохранения равновесия тепа.
Взрослые нетренированные лица сохраняют равновесие в течение 27— 28 с, хорошо тренированные спортсмены — до 90 с.
Полученные во время обследования данные сравнивают и делают выводы о вестибулярной устойчивости спортсменов разной специализации и уровне тренированности.
Исследование некоторых функций двигательного анализатора[править | править код]
Оснащение: гониометр или угломер.
Ход работы
Испытуемый под контролем зрения выполняет 10 раз определенное движение, например, сгибание предплечья до 90°. Затем то же движение выполняет с закрытыми глазами. Во время контроля амплитуды движения в каждом повторе отмечают величину отклонения (ошибку).
Делают выводы об уровне мышечно-суставного ощущения для выполнения движений заданной амплитуды.
Определение тренированности спортсмена по оценке устойчивости к гипоксии[править | править код]
Пробы с задержкой дыхания (Штанге и Генчи) — это простые методы исследования устойчивости организма к гипоксии, что является одним из характерных признаков тренированности организма.
Оснащение: секундомер.
Ход работы
Из числа студентов выбирают испытуемых разной спортивной специализации и уровня тренированности.
1. Сделав вдох, испытуемый задерживает дыхание как можно дольше (нос зажат пальцами). В этот момент включают секундомер и фиксируют время задержки дыхания. С началом выдоха секундомер останавливают (проба Штанге). У здоровых нетренированных лиц время задержки дыхания колеблется в пределах 40—60 с у мужчин и 30—40 с у женщин. У спортсменов этот показатель увеличивается до 60—120 с у мужчин и 40—95 с — у женщин.
2. Сделав выдох, испытуемый задерживает дыхание, из этого момента включают секундомер и фиксируют время задержки дыхания (проба Генчи). С началом вдоха секундомер останавливают. У здоровых нетренированных людей время задержки дыхания длится в пределах 25—40 с у мужчин и 15— 30 с — у женщин. У спортсменов наблюдают высокие показатели: до 50—60 с у мужчин и 30—50 с — у женщин.
Полученные показатели всех испытуемых вносят в таблицу 50 и делают соответствующие выводы.
Таблица 50 — Значение тестов с задержкой дыхания, с
|
Испытуемый |
Проба Штанге |
Проба Генчи |
Оценка состояния тренированности по данным сердечно-сосудистой и дыхательной систем организма (проба Руфье)[править | править код]
Оснащение: секундомер.
Ход работы
Из числа студентов выбирают нескольких испытуемых с разным уровнем подготовленности, которые по очереди выполняют пробу Руфье.
В испытуемого, который находится в положении лежа на спине в течение 5 мин, определяют ЧСС за 15 с (Р1). Затем в течение 45 с он выполняет 30 приседаний, после этого ложится и у него опять подсчитывают ЧСС за первые 15 с (Р2), а потом — за последние 15 с первой минуты восстановления (Р3). Индекс Руфье рассчитывают по формуле:
Индекс Руфье =4(Р1 +Р2+Р3)-200/ 10
Оценку функциональных резервов сердца проводят, сравнивая полученные данные с такими:
|
Значение индекса Руфье |
Оценка функционального резерва сердца |
|
0 и < |
Атлетическое сердце |
|
Сердце среднего человека: | |
|
0,1—5,0 |
очень хорошо |
|
5,1—10,0 |
хорошо |
|
Сердечная недостаточность: | |
|
10,1—15,0 |
средней степени |
|
15,1—20,0 |
высокой степени |
Результаты проведенного исследования анализируют, делают выводы об уровне функциональных резервов сердца у испытуемых.
Натренированность мышц[править | править код]
Источник:
«Спортивная энциклопедия систем жизнеобеспечения».
Редактор: Жуков А.Д. Изд.: Юнеско, 2011 год.
Натренированность мышц влияет на способность к выполнению физических упражнений. Натренированность мышц можно оценить несколькими различными способами. Спортивные клубы предлагают ряд простых методов.
Косвенный путь состоит в измерении действующей силы/крутящего момента верхних и нижних конечностей, а также верхней части тела и шеи с помощью различных тренажеров — изокинетических, изотонических и изометрических. Ограниченность этих методов заключается в том, что они определяют активность или мощность, развиваемую одной определенной мышцей или группой мышц.
Одновременная поверхностная электромиография помогает описать работу всех мышц, а мышцы, участвующие в создании усилия, также можно легко определить.
Электрическую активность можно зарегистрировать, не причиняя человеку боли и не беспокоя его, с помощью накожных электродов, прикрепленных к коже над исследуемой мышцей; как в электрокардиографии, где их прилепляют к груди и оконечностям. Когда мускулы нагружены стандартными способами, наблюдается линейное увеличение электрической активности. Сильный человек может поднять намного более тяжелый груз, чем слабый человек, так как мышечные волокна у сильного человека крупнее. В мышцах слабого человека наблюдается более высокая электрическая активность, чем в мышцах сильного, если они поднимают одинаковый груз. Когда мышцы устают, электрическая активность увеличивается со временем, если мышцы в течение долгого времени испытывают одну и ту же нагрузку. С увеличением электрической активности увеличиваются также низкочастотные компоненты электромиографического спектра, тогда как высокочастотные компоненты, как правило, блокируются, поскольку по природе своей предназначены для выполнения краткосрочных задач.
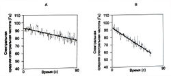
Этот переход к более низким частотам легко можно вычислить во время утомительной физической нагрузки, и необходимую информацию о натренированности мышц дают простые показатели, такие как средняя частота, например, во время двухминутных тестов (рис. 2). Если интерес вызывают мышцы туловища, в качестве стандартной нагрузки можно использовать удержание тела в одном и том же положении, например, верхней части тела над краем стола, и регистрировать электрическую активность параспинальных мышц. Более специфической нагрузки можно добиться на специальном тренировочном кресле. Мышцы туловища важны в любой физической активности, и их натренированность играет важную роль в сохранении равновесия и стоячего положения. Если мышцы туловища развиты плохо, повышается риск возникновения боли в пояснице, особенно если человеку случается поднимать что-то тяжелое, используя неправильную технику.
Наблюдая за электрической активностью во время тренировочных программ, можно получить объективные данные о прогрессе в занятиях спортом по мере того, как повышается натренированность и снижается утомляемость. Этот метод особенно ценен при наблюдении за мышцами, которые трудно исследовать любым другим способом. Важную роль играют мышцы тазового дна. Сидячий образ жизни, снижение уровня гормона эстрогена в результате старения, ожирения и неоднократных родов - наиболее распространенные причины ухудшения состояния мышц. Недержание мочи - одна из самых неприятных проблем для женщин среднего возраста, но оно встречается также и у мужчин. Тренировка мышц тазового дна - это одна из сложнейших задач. Физиологичным решением является использование биологической обратной связи с установкой электромиографических датчиков во влагалище. Аудиовизуальная обратная связь заставляет пациентку продолжать упражнения для тазовых мышц с положительным ответом на терапию, и улучшения в состоянии тазовых мышц можно зафиксировать после одного - трех месяцев выполнения упражнений.
