Холекальциферол (витамин Д)
Содержание
Холекальциферол (витамин D)[править | править код]
Холекальциферол (витамин D) - жирорастворимый витамин. Образуется в коже под действием УФ-лучей из 7-дегидрохолестерина. Малоустойчив к действию света, легко окисляется.
Витамином D называют несколько соединений (эргокальциферол - D2, холекальциферол - D3), близких по химической структуре и обладающих способностью регулировать фосфорно-кальциевый обмен. Витамин обеспечивает всасывание кальция и фосфора в тонкой кишке, реабсорбцию фосфора в почечных канальцах и транспорт кальция из крови в костную ткань. Витамин D помогает в борьбе против рахита, способствует повышению сопротивляемости организма, участвует в активизации кальция в тонком кишечнике и минерализации костей, увеличивает плотность мышечной ткани, увеличивает скорость работы мозга.
Недостаточность витамина D приводит к нарушению фосфорно-кальциевого обмена, следствием чего является рахит - расстройство солевого обмена, что приводит к недостаточному отложению извести в костях.
Мета-анализ 25 клинических исследований[1] показал, что регулярный прием витамина D позволяет снизить вероятность заболевания острыми респираторными заболеваниями и гриппом.
Витамин D в продуктах питания. В растительных продуктах витамина D практически нет. Больше всего витамина содержится в некоторых рыбных продуктах: рыбном жире, печени трески, сельди атлантической, нототении. В яйцах его содержание составляет 2,2 мкг%, в молоке - 0,05 мкг%, в сливочном масле - 1,3 мкг%, присутствует он в грибах, крапиве, тысячелистнике, шпинате. Образованию витамина D способствуют ультрафиолетовые лучи. Овощи, выращенные в парниках, содержат меньше витамина D, чем овощи, выращенные в огороде, так как стекла парниковых рам не пропускают этих лучей.
Влияние на тестостерон и спортивные показатели[править | править код]
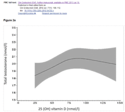
В исследованиях была выявлена корреляция между уровнем витамина D и тестостероном.[2][3][4] Установлено, что прием витамина Д способствует повышению секреции тестостерона у мужчин только в случае недостатка витамина Д (при его концентрации ниже ~75-80 нмоль/л). [5] Употребление витамина D в дозе 3332 МЕ мужчинами с ожирением приводило к повышению уровня тестостерона на 25,2%.[6]
Научный обзор профессора Stella Lucia Volpe, Ph.D. в 2014 году[7] содержит следующее заключение: витамин Д играет важную роль в функционировании мышц и может влиять на спортивные показатели. Однако дополнительный прием данного витамина у спортсменов без наличия гиповитаминоза не приводит к улучшению спортивных результатов. Более того, это может быть опасно для здоровья.[8]
Суммируя все научные данные можно заключить, что положительный эффект приема витаминных добавок будет наблюдаться только на фоне витаминодефицита, тогда как для здоровых мужчин с правильным питанием это будет бессмысленным и даже потенциально вредным.
Эффективность под сомнением[править | править код]
Ученые из Оклендского университета (University of Auckland, Новая Зеландия) и Университета Абердина (University of Aberdeen, Шотландия) проанализировали имеющиеся клинические исследования, в которых применялись пищевые добавки с витамином D. В ходе проделанной работы научная группа во главе с доцентом Марком Болландом (Mark Bolland) не нашла никаких подтверждений тому, что добавки действительно работают. По словам специалистов, употребление витамина D как дополнение к пище не давало никакого положительного эффекта для костей и мышц участников исследований.[9] Авторы заявляют, что лучше всего получать достаточное количество витамина D не в форме медицинских препаратов или добавок, а в виде полноценных продуктов питания (красное мясо, морская рыба, печень, яйца). Также рекомендуются прогулки под солнечным светом, который стимулирует образование холекальциферола в организме.
Дозы и режим приема[править | править код]
Потребность в витамине D у взрослых людей удовлетворяется за счет образования его в коже человека под влиянием ультрафиолетовых лучей и частично за счет поступления его с пищей. Кроме того, печень взрослого человека способна накапливать заметное количество витамина, достаточное для обеспечения его потребности в течение 1 года. Ежедневная потребность для взрослого - 1 - 10 мкг, в бодибилдинге применяется в больших дозах - 10 - 20 мкг. Максимально допустимая доза - 50 мкг.
Витамин D является жирорастворимым, поэтому превышение рекомендуемых доз опасно для здоровья. При передозировке витамина D наблюдается токсическое отравление: потеря аппетита, тошнота, рвота, общая слабость, раздражительность, нарушение сна, повышение температуры.
Содержание витамина D в некоторых пищевых продуктах
|
Продукт |
Содержание витамина D, мкг/100 г продукта |
|
Печень скумбрии |
1500 |
|
Печень камбалы |
50-100 |
|
Печень трески |
100 |
|
Сельдь |
0,37-2,5 |
|
Треска |
0,125 |
|
Скумбрия |
0,125-0,175 |
|
Печень говяжья |
0,025 |
|
Яйцо куриное (желток) |
0,013-0,05 |
|
Масло сливочное летнее |
0,025 |
|
Масло сливочное зимнее |
0,008 |
Информация из энциклопедии спорта[править | править код]
Кальциферолы (вит. D) объединяют группу соединений, которые оказывают антирахитический эффект. Наиболее активными являются эрго- (вит. D,) и холе кальциферол (вит. D3). Препарат витамина D2 носит название эргокальциферол, препараты витамина D3 известны как видеин, аквадетрин. Кальциферол имеет стероидную структуру, в его молекуле можно выделить две части: углеродный скелет и алифатическую боковую цепь. Структура кольцевой системы одинакова для всех кальциферолов, которые отличаются между собой только строением углеродной цепи.
Эргокальциферол — вещество растительного происхождения.
Холекальциферол содержится в коже человека и животных, в большом количестве — в печени тунца, трески, палтуса, кита, в незначительном — в коровьем молоке, куриных яйцах.
Фармакокинетика. Подобно другим жирорастворимым витаминам, кальциферол всасывается с помощью желчных кислот, поступает в лимфатический поток в составе хиломикронов и быстро поглощается печенью, где происходит его ферментативное гидроксилирование. При этом из холекальциферола образуется 25-гидроксихолекальциферол, а из эргокальциферола — 25-окси-эргокальциферол. Эти метаболиты в небольшом количестве образуются также в кишках, почках, легких. Биологическая активность 25-гидроксихоле кальциферол а в 2—5 раз выше, чем холекальциферола, он является основной формой кальциферола, который циркулирует в системе кровообращения и имеет период полужизни 20— 30 сут; 25-гидроксихолекальциферол поступает в почки, где из него образуются активные метаболиты — 1,25-дигидроксихолекальциферол и 24, 25 -дигидроксихолекальциферол.
Кальциферол и его метаболиты транспортируются в плазме крови в связанном состоянии с помощью специального кальциферолсвязывающего белка — транскальциферина. Кальциферол накапливается в костях, печени, крови, слизистой оболочке тонкой кишки. В виде полярных метаболитов локализуется главным образом в мембранах клеток, митохондрий, микросом и ядер.
Кальциферол и его метаболиты выделяются в кишечник с желчью (30 % введенной дозы за 24—48 ч), где снова частично всасываются, что создает систему энтерогепатической циркуляции. Большая часть продуктов обмена кальциферола выводится из организма с калом, меньшая — с мочой.
Обмен кальция и фосфора регулируется не только кальциферолом, а также гормонами пара-тиреоидином и кальцитонином.
Паратиреоидин стимулирует синтез 1,25-дигидроксихолекальциферола в почках благодаря влиянию на ферменты 1а-гидроксилазу и 24-гидроксилазу. Действие паратиреоидина на всасывание кальция в кишечнике полностью опосредствовано эффектом 1,25-дигидроксихолекальциферола. Кальцитонин не влияет непосредственно на активность 1 а-гидроксилазы, его воздействие на продукцию 1,25-дигидроксихолекальциферола обусловлено снижением уровня кальция в крови и усилением секреции паратиреоидина.
Наряду с классическими органами-мишенями (кишечник, кости, почки) рецепторы 1,25-дигидроксихолекальциферола выявлены также в кератиноцитах и фибробластах, рост и дифференциацию которых регулирует кальциферол. Таким образом, кожа является не только местом образования холекальциферола, а и тканью, развитие которой контролируется им.
Фармакодинамика. Кальциферол рассматривается не только как витамин, но и как гормон, который регулирует в организме обмен кальция и фосфора, обеспечивая их надлежащую концентрацию в крови.
Важнейший эффект кальциферола — это стимуляция абсорбции кальция в кишечнике. Он повышает проницаемость кишечного эпителия для ионов кальция. Процесс абсорбции состоит из двух этапов: пассивной диффузии из содержимого кишечника в энтероциты (клетки слизистой оболочки тонкой кишки) и активного транспорта из энтероцитов в плазму крови против градиента концентрации, в котором принимает участие 1,25-дигидроксикальциферол. Соответственно одной из наиболее разработанных современных гипотез кальциферол в форме активного метаболита 1,25-дигидроксихолекальциферола реализует свое стимулирующее действие на транспорт Са2+ через биологические мембраны путем индукции на генетическом уровне синтеза белков, которые осуществляют этот транспорт.
Механизм действия кальциферола на транспорт Са2" из плазмы крови в костную ткань не установлен. В костях кальциферол регулирует минерализацию, влияет на пролиферацию и дифференциацию костных и хрящевых клеток; 1,25-ди-гидроксихолекальциферол проникает в клетки кишечника, костей и почек, где взаимодействует со специфическими рецепторами, образовывая с ними комплекс, который проникает в ядро клетки и инициирует там синтез белка (специфического, который связывает кальций, и неспецифического — коллагена, щелочной фосфатазы и др.). Вследствие этого активируется синтез белковой стромы костей, нормально развиваются хрящевые клетки в зонах роста костей, происходит извлечение кальция из плазмы крови и его отложение в костях.
Недостаточность кальциферола проявляется главным образом в нарушении минерализации скелета и развития хряща, что приводит к рахиту у детей и к остеомаляции у взрослых.
Под контролем кальциферола находится и процесс мобилизации кальция из костной ткани, которая происходит медленно с параллельным восстановлением костных клеток.
Особое значение для поддержания надлежащей концентрации фосфатов в организме имеет свойство кальциферола повышать их реабсорбцию в канальцах почек. Всасывание фосфатного аниона рассматривается как вторичный процесс, связанный со всасыванием кальция. Механизм действия кальциферола на обмен кальция и фосфора в организме показан на рисунке 2.8.
Показания к применению: профилактика рахита, лечение детей, больных рахитом, остеомаляция, остеопороз, переломы костей (ускорение консолидации костной мозоли), спазмофилия, тетания, кариес (кальцификация твердых тканей зуба), системная красная волчанка, туберкулез кожи и костей, псориаз.
Побочные эффекты: интоксикация (в случае передозировки), острая (головная боль, сонливость, тошнота, рвота, светобоязнь, судорги) или хроническая.
Хроническая интоксикация: при употреблении на протяжении продолжительного времени чрезмерного количества кальциферола, в случае повышенной чувствительности к витамину при обычных условиях дозирования, развивается гипервитаминоз D. Проявления гипервитаминоза одинаковы у детей и взрослых: общая вялость мышц, постоянная тошнота, снижение аппетита или его потеря (анорексия); боль в животе, понос, жажда, полиурия, изжога; тахикардия, артериальная гипертензия, ослабление тонов сердца, систолический шум, лихорадка. В моче повышается содержание кальция, определяются белок, лейкоциты, эритроциты, одиночные гиалиновые цилиндры. Происходит деминерализация костей (незначительные травмы могут приводить к переломам). В сыворотке крови значительно повышается концентрация кальция и фосфора, что приводит к отложению кальция в мягких тканях (сосудах, сердце, легких, кишках, почках) и образованию камней в почках, а затем — к вторичному гидронефрозу (часто пациент обращается к врачу именно по причине заболевания почек), отмечаются полиурия, протеинурия, цилиндрурия, лейкоцитурия. Предполагают, что в основе этих нарушений лежит способность кальциферола к быстрому окислению с образованием свободных радикалов, а также продуктов пероксидной природы, которые являются сильными окислителями. Они повреждают структуру липопротеинового комплекса мембран и активные центры белков.
Читайте также[править | править код]
- Препараты витамина D в спортивной медицине: научный обзор
- Спортивные витамины и минералы
- Витаминно-минеральный комплекс
Источники[править | править код]
- ↑ http://news.harvard.edu/gazette/story/2017/02/study-confirms-vitamin-d-protects-against-cold-and-flu/
- ↑ http://www.ncbi.nlm.nih.gov/pmc/articles/PMC3712348/
- ↑ http://www.ncbi.nlm.nih.gov/pubmed/18351428
- ↑ http://www.ncbi.nlm.nih.gov/pubmed/20050857
- ↑ http://onlinelibrary.wiley.com/doi/10.1111/j.1365-2265.2012.04332.x/abstract;jsessionid=39A4EF02A366FD626A4A8A00CD537D8C.f02t04?deniedAccessCustomisedMessage=&userIsAuthenticated=false
- ↑ http://www.ncbi.nlm.nih.gov/pubmed/21154195
- ↑ http://journals.lww.com/acsm-healthfitness/Fulltext/2014/05000/Vitamin_D_and_Exercise_Performance.9.aspx?WT.mc_id=HPxADx20100319xMP
- ↑ http://www.webmd.com/vitamins-and-supplements/news/20140124/vitamin-d-supplements-dont-help-your-health-review
- ↑ https://www.scimex.org/__data/assets/file/0015/126204/vitamin-D_BMJ_practice.pdf
