Гиалуроновая кислота
Содержание
Гиалуроновая кислота[править | править код]
Гиалуроновая кислота или гиалуронан (англ. Hyaluronic acid) - это вещество синтезируемое организмом человека, гликозаминогликан.
Гликозаминогликаны[править | править код]
Гликозаминогликаны (GAG) или мукополисахариды - это неразветвленные полисахаридные цепи, построенные из повторяющихся дисахаридных единиц, один из двух остатков сахаров в которых является аминосахаром (N-ацетилглюкозамином или N-ацетилгалактозамином), который в большинстве случаев сульфатирован. Наличие у многих сахарных остатков сульфатных или карбоксильных групп (или тех и других) придает гликозаминогликанам большой отрицательный заряд. Второй сахар обычно является уроновой кислотой ( глюкуроновой или идуроновой ). Различают четыре основных группы GAG:
1) Гиалуронат.
2) Хондроитин сульфат и дерматан сульфат.
3) Гепаран сульфат и гепарин.
4) Кератан сульфат.
GAG несут большой отрицательный заряд, высоко гидрофильны, обладают сильно вытянутой конформацией и образуют гели уже при низких концентрациях. Привлечение GAG осмотически активных катионов вызывает набухающее давление ( тургор матрикса ), что придает матриксу способность противостоять силам сжатия. Так как GAG образуют пористые гидратированные гели, они заполняют большую часть объема свободного пространства и обеспечивают опору тканям, при этом позволяя диффундировать водорастворимым молекулам и мигрировать клеткам.
Гиалуронан[править | править код]
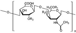
Гиалуронан не сульфатированный, отрицательно заряженный высокомолекулярный гликозаминогликан. Повторяющийся дисахарид гиалуроната состоит из глюкуроновой кислоты и N-ацетилглюкозамина. Образуется в плазматической мембране на поверхности клетки и может быть очень большим: 20 000 дисахаридных единиц или 3 - 4 миллиона Да в среднем, в синовальной жидкости сустава человека.
Противодействует силам сжатия в тканях и суставах. Функционирует в качестве создания свободного от клеток пространства, в которое затем мигрируют клетки. По окончании миграции клеток избыток гиалуронана удаляется ферментом гиалуронидазой. Образуется в больших количествах во время заживления раны. Гиалуронан важный компонент суставной жидкости, где функционирует как смазка.
Присутствие в тканях[править | править код]
Гиалуроновая кислота находится в стекловидном теле глаза, синовальной жидкости, ткани суставного хряща, коже, межклеточном матриксе, в природной смазке лубрицине и слюне.
Гиалуроновая кислота присутствует в стекловидном теле глаза. Название гиалуроновая кислота происходит от греческого слова Hyalos - стекловидный и уроновая кислота. Первые препараты содержащие гиалуроновую кислоту были разработаны для глазной хирургии. Гиалуроновая кислота также присутствует в глазной смазке.
Гиалуроновая кислота - важный компонент суставного хряща, в котором присутствует в виде оболочки каждой клетки (хондроцита). Отвечает за устойчивость хряща компрессии. Гиалуроновая кислота присутствует в синовальной жидкости сустава где отвечает за ее вязкость.
В коже гиалуроновая кислота присутствует главным образом в дерме, а также в поверхностном слое - эпидермисе. В дерме с водой она играет роль упругого агента - геля и таким образом поддерживает упругость кожи. В поверхностном слое она служит ранозаживляющим агентом.
Хондроитинсульфаты[править | править код]
Хондроитинсульфы присутствуют в хрящевой ткани и входят в состав синовальной жидкости.
Хондроитинсульфат - это сульфатированный гликозаминогликан. Повторяющийся дисахарид хондроитинсульфата состоит из - глюкуроновой кислоты и N-ацетилгалактозамина. Хондроитинсульфат важный структурный комппонент хряща и обеспечивает большую часть его сопротивления сжатию.
Влияние гиалуроновой кислоты на развитие рака[править | править код]
Гиалуроновая кислота носит про-ангиогенное свойство (ангиогенезис - создание новых сосудов в ткани, которые потенциально могут питать клетки опухоли) и участвует в разрастании тканей и поэтому может быть вовлечена в рост некоторых злокачественных видов опухолей.
Считается, что гиалуронан влияет на распространение опухоли и процесс метастазирования. Сообщалось, что содержание гиалуронана в ближайшем окружении опухолевых клеток коррелирует с агрессивностью опухоли и неблагоприятным прогнозом [ Zhang, 1995 ]. Повышение уровня экспрессии гилуронана способствует росту неприкрепленных опухолевых клеток [ Kosaki, 1999 , Liu, 2001 ]. Потеря активности гиалуронидазы, приводящая к накоплению гиалуронана, возможно, является одной из стадий многостадийного процесса канцерогенеза [ Csoka, 2001 ]. До настоящего времени не было обнаружено частых инактивирующих мутаций, однако было показано, что при опухолях ген HYAL1 может быть инактивирован в результате гиперметилирования и нарушения сплайсинга [ Csoka, 2001 , Frost, 2000 ].
Известно, что гиалуронидазы играют важную роль во взаимодействии опухоли с ее микроокружением. Возможно, они являются примером генов, продукты которых участвуют в осуществлении контроля роста со стороны микроокружения.
Применение[править | править код]
Будучи обычным полисахаридом (пусть и очень длинным), гиалуроновая кислота или гиалуронан, может быть получена в теле с помощью обычного крахмала, который также представляет собой длинную цепочку сахаров - глюкозы.
Поэтому для увеличения гиалуроновой кислоты в организме рекомендуется есть больше крахмалистой пищи, такой как корнеплоды или попросту картофель (ссылка 1, 2):
Исследование проведенное в Японии показало, что люди проживавшие в Юзурихаре (Yuzurihara), японской деревне, имели хорошее зрение, кожу без морщин, и лучшее общее состояние здоровья даже в 90 лет. Было найдено, что эти люди выращивали и ели крахмалистые корнеплоды (фактически - три разновидности картофеля), которые способствовали производству гиалуроновой кислоты.
Если же вы строго не верите в то, что съев очень много картошки, вы получите пухлые губы а не живот, вот вам другой вариант.
До недавнего времени, основным источником производства гиалуроновой кислоты были петушиные гребни, они используются и сейчас, для производства гиалуроновой кислоты используемой в ортопедии - для внутрисуставных инъекций гиалуроновой кислоты.
Также гиалуроновой кислотой богаты любые хрящи: бульон из костей, хрящей и суставов, или холодец, должны быть богаты гиалуроновой кислотой.
Также гиалуроновой кислотой богаты глаза, можно использовать, например, цельные рыбьи головы. Также такие продукты практически целиком состоят из коллагена - другого важного материала для поддержания упругости как кожи так и суставов и связок.
Если же вы современный хипстер, и не хотите есть старомодный бабушкин бульон из костей, рыбную уху или холодец, вы всегда можете купить современные БАД-ы, которые сделаны из гиалуроновой кислоты синтезированной бактериями живущими в какой-либо питательной среде: пшенице, сое и т.п. Себестоимость гиалуроновой кислоты синтезируемой бактериями приближается к стоимости сырья используемого для питательной среды бактерий: стоимости сои, пшеницы и тому подобного. Поэтому такой способ получения на настоящий момент является самым дешевым.
Если же вы сумасшедшая леди, вы также можете сходить к своему косметологу и сделать инъекцию гиалуроновой кислоты за 10 - 50 тыс. рублей за процедуру. При этом в голове желательно держать себестоимость гиалуроновой кислоты, которая находится где-то между производством крахмала и стоимостью куриных голов.
Также, хитрые диетологи зачастую рекомендуют вместо гиалуроновой кислоты витамин С, это связано с тем, что гиалуроновая кислота плохой защитник кожи, например при солнечном ожоге производство гиалуроновой кислоты в коже полностью прекращается, что говорит о том, что коже она в этот момент не нужна, т.е. что гиалуроновая кислота - это плохая защита для организма. Для нормального функционирования кожи, содержащей большое количество гиалуроновой кислоты, нужны большие дозы ретинола и витамина С, которые как известно являются сильными антиоксидантами.
Иногда вместо гиалуроновой кислоты диетологи рекомендуют пищу богатую ретинолом: печень трески, жирную рыбу или морепродукты. Что говорит о том, что роль гиалуроновой кислоты в основном, это все-таки удерживание воды, а все остальное делают уже другие вещества: белки (коллаген), жиры (омега-3) и витамины (ретинол, витамин C).
Иногда диетологи ведут себя более честно: они говорят что для поддержания кожи нужен ретинол, витамин С, а также гиалуроновая кислота, а не просто гиалуроновая кислота.
Для тех, кому гиалуроновая кислота не так важна[править | править код]
К гликозаминогликанам также относятся другой важный полисахарид - хондроитин, крайне важный для суставов, а также другое важное вещество - антикоагулянт гепарин.
Современная диета практически полностью исключает такие продукты, которые считаются фактически отходами, как: кости, хрящи, сухожилия, глаза и т.п. Т.е. продукты богатые как коллагеном, так и другими важными веществами, такими как хондроитин и гиалуроновая кислота. Что говорит о том, что возможно нужно пересмотреть современную диету, добавив в нее больше хрящей и соединительной ткани, или же добавить некоторые добавки, содержащие коллаген, хондроитин или какие-либо экстракты из хрящей, которые содержат все это (хондроитин, коллаген, гиалуронан) сразу.
Источники[править | править код]
http://medbiol.ru/medbiol/cytology/000a3bd1.htm
https://www.newhealthadvisor.org/Hyaluronic-Acid-Foods.html
https://nowcosmetic.co.uk/yuzurihara-a-wrinkle-free-village/
https://healthguidenet.com/foods/foods-high-in-hyaluronic-acid/
https://www.skincarelab.org/hyaluronic-acid/
Ссылки[править | править код]
https://www.verywellhealth.com/hyaluronic-acid-supplements-89465
https://www.webmd.com/vitamins/ai/ingredientmono-1062/hyaluronic-acid
https://www.gallbladderattack.com/best-hyaluronic-acid-for-skin-eyes-and-joints/
https://draxe.com/nutrition/hyaluronic-acid/
https://www.frontiersin.org/articles/10.3389/fimmu.2014.00101/full
