Микроцикл
Источник: «Теория спортивной тренировки».
Учеб. для ВУЗов. Авт.: проф. В.Б. Иссурин, 2016
Содержание
- 1 Микроциклы
- 1.1 Классификация микроциклов
- 1.2 Изменения нагрузки внутри микроцикла
- 1.3 Микроцикл развития аэробных способностей
- 1.4 Микроцикл развития анаэробных гликолитических способностей
- 1.5 Микроцикл развития взрывной силы и координационных способностей
- 1.6 Предсоревновательный микроцикл
- 1.7 Микроцикл поддержания специфических кондиций в спортивных играх
- 1.8 Правила построения микроцикла
- 2 Читайте также
- 3 Литература
- 4 Источники
Микроциклы[править | править код]
Микроцикл - это самый короткий тренировочный цикл. Он включает определённое количество тренировочных занятий и длится несколько дней, часто одну неделю. Этот отрезок времени не имеет физиологического обоснования, он, скорее, базируется на стереотипах социальной жизни: спортсмены объединяют тренировочный процесс с образовательной и профессиональной деятельностью и естественным желанием проводить выходные дни с семьёй и друзьями. Однако условия тренировочного сбора позволяют делать микроциклы и короче, и длиннее. Эти возможности будут рассмотрены ниже. В данной статье наше внимание будет направлено на типы, особенности, разновидности тренировочных нагрузок, совместимость последовательных тренировочных занятий и, в частности, содержание различных микроциклов.
Классификация микроциклов[править | править код]
Шесть типов тренировочных микроциклов характеризуются разными целями, уровнями нагрузки, особенностями её планирования и длительностью (табл. 1).
Как видно из таблицы 1, микроциклы различаются по цели, уровню нагрузки, особенностям планирования и длительности. Например, втягивающий микроцикл в начале сезона обычно длится целую неделю. В середине сезона такой микроцикл может быть запланирован на начало нового этапа или начало работы на тренировочном сборе. В обоих случаях его продолжительность может быть меньше (3-5 дней) и зависит от обстоятельств подготовки. Нужно отметить, что постепенность увеличения уровня нагрузки связана не только с ростом физиологических требований (то есть величиной тренировочного воздействия), но также и с психологическим компонентом. Это может быть особенно важным в условиях тренировочного сбора, где к спортсменам предъявляются новые и познавательные и эмоциональные требования одновременно. Точно так же восстановительный микроцикл меняется по длительности в зависимости от степени утомления спортсменов и требований подготовительного процесса. Обычно в середине сезона восстановительный микроцикл после тренировочного сбора и/или после соревнования длится 3-4 дня.
Таблица 1. Цель, уровень нагрузки и особенности различных типов микроциклов
|
Тип микроцикла |
Цель |
Уровень нагрузки |
Особенности |
Длительность |
|
Втягивающий |
Начальная адаптация к должным нагрузкам |
Средний |
Постепенное увеличение нагрузки |
5-7 дней |
|
Нагрузочный |
Увеличение уровня физической подготовленности |
Значительный - высокий |
Использование больших и существенных нагрузок |
5-9 дней |
|
Ударный |
Увеличение уровня физической подготовленности посредством применения предельных тренировочных нагрузок |
Очень высокий -предельный |
Использование и наложение предельных нагрузок |
4-7 дней |
|
Предсоревновательный |
Непосредственная подготовка к соревнованию |
Средний |
Настройка на предстоящее соревнование; использование специфических по виду спорта средств |
5-7 дней |
|
Соревновательный |
Участие в соревновании |
Высокий - очень высокий |
Специфические по виду спорта соревновательные выступления |
2-7 дней |
|
Восстановительный |
Активное восстановление |
Низкий |
Использование широкого спектра средств восстановления |
3-7 дней |
Нагрузочные микроциклы включают главным образом обычную тренировочную нагрузку; чаще они длятся одну неделю, но не обязательно. Планирование нагрузки в этом цикле будет рассмотрено отдельно в следующем разделе. Ударный микроцикл фокусируется на максимальной нагрузке и может длиться меньше недели. Для достижения целей таких микроциклов необходимо использовать специальные средства восстановления. Надлежащая диета, пищевые добавки, гидротерапия, массаж, психологическая релаксация и другое могут быть составляющими такой программы восстановления.
Предсоревновательный микроцикл также может быть короче или длиннее недели. Он обычно фокусируется на двух целях: обеспечении психологической, физической и технико-тактической настройки на предстоящее соревнование и осуществлении полного (или иногда частичного) восстановления спортсменов после предыдущих серьёзных нагрузок. Следовательно, для этого микроцикла характерно значительное снижение нагрузки. Соревновательный микроцикл исключительно специфичен: вид спорта определяет его содержание, особенности и длительность (которая в особенных случаях может быть больше одной недели, как на многодневных велогонках). Например, всемирно известная велогонка «Тур де Франс» длится двадцать три дня, включая два выходных. Таким образом, это соревнование включает три микроцикла, следующих один за другим.
Изменения нагрузки внутри микроцикла[править | править код]
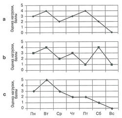
Общеизвестно, что уровень нагрузки внутри микроцикла должен варьировать. Главные факторы, определяющие изменения нагрузки, - их наложение, которое является причиной накопления утомления, и процессы восстановления организма спортсменов, на которые влияет включение тренировочных занятий с уменьшенной нагрузкой и другие средства восстановления. Ранее авторы рассматривали вариативность нагрузки, используя общие категории деления нагрузок на небольшие, средние и высокие (Martin, 1980; Starischka, 1988), или в процентах от максимума (Dick, 1980; Платонов, 1997; Вотра, 1999). Адекватное и интегральное описание нагрузки - это проблема, особенно для видов спорта с неизмеряемым результатом типа парусных гонок или игровых видов. 5-уровневая шкала оценки нагрузки позволяет формализовать изменения рабочей нагрузки в рамках нескольких микроциклов. Для примера рассмотрим типичные изменения уровня нагрузки в микроциклах при условии выполнения одной тренировки в день (Рис. 1).
Трёх- и двухпиковое планирование используется наиболее широко, потому что оно позволяет спортсменам выполнять сравнительно большой объём недельных тренировочных нагрузок с относительно сниженным риском чрезмерного накопления утомления. Снижение уровней нагрузки (трёх или двух соответственно) облегчает восстановление организма спортсменов и усиливает их готовность эффективно выполнять последующие напряжённые тренировки. Ключевые тренировочные занятия концентрируют самые важные рабочие нагрузки доминирующей тренировочной направленности.
Однопиковое планирование может использоваться для концентрации нескольких развивающих тренировочных занятий и получения более выраженной реакции. Это можно использовать как основу для выполнения последующих тренировочных занятий со средним и низким уровнем нагрузки, в которых могут решаться технические и/или тактические задачи одновременно с постепенным восстановлением спортсменов. Понятно, что такую концентрацию развивающих тренировок при однопиковом планировании можно предлагать достаточно подготовленным спортсменам высокого класса, но не новичкам или спортсменам среднего уровня.
Когда спортсмены выполняют две или больше тренировок в день, каждая из них вносит вклад в общую дневную нагрузку, увеличивая её таким образом значительно (Рис. 2). Кривая на рисунке показывает изменения нагрузки в рамках микроцикла, где каждая координата соответствует сумме нагрузки одной или двух отдельных тренировочных занятий, выполненных в течение нескольких дней. Уровень нагрузки в каждом отдельном тренировочном занятии ранжируется по 5-балльной шкале. Первый пик формируется двумя последовательными развивающими тренировками и ещё двумя поддерживающими со средними уровнями нагрузки. Это даёт возможность спортсменам восстановиться до начала второго миниблока тренировочных нагрузок, состоящего из трёх развивающих занятий (включая две ключевые). Последняя тренировка (в субботу) может быть посвящена контрольному прохождению дистанции, или тренировочному матчу (в игровых видах спорта), или какому-либо другому моделированию соревновательного упражнения.
5-уровневая количественная система оценки нагрузки требует дополнительных пояснений. Её применение даёт определённые преимущества:
- во-первых, графическое представление кривой нагрузки (особенно в видах спорта с неизмеряемым результатом) помогает тренерам анализировать уровень нагрузки каждого тренировочного занятия и оценивать его более точно; различные варианты планирования микроцикла (с одним, двумя и тремя пиками) могут быть показаны количественно и наглядно;
- во-вторых, графическое представление микроцикла может использоваться с дидактическими целями: спортсмены могут более осознанно воспринимать требования тренировочного процесса, так как будут лучше понимать важность ключевых тренировок и предвосхищать возможность восстановления после напряжённых пиковых нагрузок;
- в-третьих, суммарный балл тренировочных нагрузок всего микроцикла может использоваться для общей оценки нагрузки и для сравнения различных микроциклов. Такой подход может усовершенствовать технологию планирования.
Как уже было сказано, блоковая периодизация предполагает высокую концентрацию специализированных тренировочных нагрузок, направленных на минимальное количество качеств-мишеней. Это, в свою очередь, определяет специальные требования к построению соответствующих микроциклов, которые должны обеспечить главным образом раздельное, а не комплексное распределение тренировочных нагрузок с учётом их взаимодействия и ожидаемых остаточных явлений.
Следующие параграфы этой статьи посвящены рассмотрению наиболее широко используемых аэробного (или силового/аэробного) микроцикла, анаэробного гликолитического микроцикла, микроцикла взрывной силы при выполнении сложнокоординированных упражнений, а также предсоревновательного микроцикла.
Микроцикл развития аэробных способностей[править | править код]
Аэробные и так называемые силовые/аэробные микроциклы обеспечивают большую часть всей подготовки во многих видах спорта. Они развивают аэробную выносливость и мышечную силу, которые необходимы для участия в соревнованиях во всех видах спорта на выносливость, единоборствах, игровых и некоторых художественных видах (типа синхронного плавания, фигурного катания и т.д.). Комбинация аэробных и силовых упражнений требует специального разъяснения. С одной стороны, такая комбинация снижает рост силы по сравнению с силовыми упражнениями, применяемыми отдельно (Zatsiorsky, 1985). С другой стороны, сама силовая тренировка увеличивает массу мышц, обладающих относительно низкими окислительными возможностями (Wilmore и Costill, 1993 и др.). Следовательно, увеличенная мышечная масса, которая не поддерживается пропорциональным увеличением количества аэробных ферментов и митохондриальной массы, не даст никаких преимуществ при выполнении соревновательных упражнений во многих из вышеупомянутых видов спорта. Конечно, соотношение аэробных и силовых упражнений в рамках микроцикла может меняться в зависимости от предъявляемых требований и/или индивидуальных пожеланий. Давайте рассмотрим особенности силового/аэробного микроцикла на примере подготовки многократного чемпиона мира и Олимпийских игр по плаванию Александра Попова (Россия).
Пример. Александр Попов, один из величайших пловцов, специализирующихся на спринтерских дистанциях 50 и 100 м вольным стилем, уделял большое внимание аэробным и силовым нагрузкам. Аэробные микроциклы формировали основу его тренировочного процесса в подготовительном периоде, что соответствует накопительному мезоциклу в терминах блоковой периодизации. Рисунок 3 показывает направленность тренировочных упражнений, выполненных в течение десяти тренировочных занятий. Типичный силовой/аэробный микроцикл Попова выдвигает на первый план большое количество упражнений, выполненных около анаэробного порога (АП), а также технических (ТЕХ), направленных на совершенствование гребковых движений. Такие технические тренировки выполнялись с подсчётом количества гребков и запланированным темпом движений для каждого скоростного режима, что эффективно воздействовало и на технику, и на специфические силовые способности пловца. Ежедневно выполнялся средний объём упражнений на максимальную (анаэробную алактатную) скорость (МС), в то время как упражнения на развитие аэробной мощности (AM) выполнялись только на трёх тренировках. Упражнения на силовую выносливость (СВ), то есть аэробные скоростные упражнения с увеличенным сопротивлением движению, также занимали большое место в программе тренировки. Анаэробные гликолитические (АГ) упражнения использовались однажды: контрольный заплыв на 200 м на максимальный результат в ступенчато возрастающем тесте (благодаря любезности Геннадия Турецкого, личное сообщение автору).
Вышеупомянутый пример свидетельствует о следующем: а) в тренировочном процессе даже выдающегося спринтера очень высок вклад упражнений на развитие аэробной выносливости; б) развитие силовых способностей может эффективно обеспечиваться с помощью силовых акцентов при выполнении специфических по виду спорта упражнений и в) несмотря на высокий вклад анаэробной гликолитической мощности и ёмкости в метаболическом профиле спортсмена, тренирующегося на 100-метровой дистанции вольным стилем, использование анаэробных гликолитических упражнений в программе силового/ аэробного микроцикла незначительно. Последнее обстоятельство особенно важно в свете представлений блоковой периодизации.
Организм спортсмена не может эффективно реагировать на тренировочное воздействие, которые затрагивает одновременно очень разные физиологические системы. Высокоинтенсивные гликолитические нагрузки вызывают существенную метаболическую реакцию и гормональные изменения, которые могут длиться два-три дня (Viru, 1995). Наложение этих реакций на аэробные и гликолитические анаэробные упражнения ведёт к конфликту в процессе адаптации. Кроме того, акцентированные аэробные упражнения предназначены для того, чтобы вызывать глубокие физиологические изменения, типа увеличения капилляризации мышц, количества аэробных ферментов и миоглобина, а также объёма митохондрий. Все эти изменения происходят после выполнения упражнения во время фазы восстановления. Добавление анаэробных гликолитических нагрузок ведёт к срыву метаболической адаптации и значительно снижает кумулятивный тренировочный эффект.
Как уже было отмечено, блоковая периодизация постулирует минимизацию количества качеств-мишеней в рамках одного мезоцикла и, следовательно, микроцикла тоже. Совместимыми направленностями тренировочного процесса в аэробном микроцикле являются следующие: максимальная сила (главный приоритет), анаэробные алактатные способности (максимальная скорость), аэробная силовая выносливость (как часть аэробного потенциала) и техника движений (табл. 2).
Таблица 2. Аэробный микроцикл: совместимые направленности тренировочных упражнений и их связь с планированием и методическими основами тренировочного процесса
|
Направленность упражнений |
Планирование тренировки |
Методические основы |
|
Максимальная сила |
Силовые тренировки требуют достаточного времени восстановления для запуска анаболического процесса |
Соединение аэробных и силовых тренировок гарантирует лучшие окислительные возможности увеличенной мышечной массы |
|
Анаэробные алактатные (максимальные скоростные) способности |
Есть два варианта: 1) чередование упражнений 2) включение алактатной спринтерской серии |
Спринтерские нагрузки нарушают монотонность и активизируют широкий спектр мышечных волокон, которые могут использоваться во время последующих аэробных нагрузок |
|
Аэробная силовая выносливость |
Использование упражнений с увеличенным сопротивлением передвижению в соответствующих метаболических режимах |
Дополнительное сопротивление (отягощение) стимулирует приложение усилия в нагрузочных фазах движения |
|
Техника движений |
Приобретение новых навыков; акцентирование технических деталей при выполнении упражнений |
Совершенствование технических навыков не ухудшает метаболическую адаптацию ни к аэробным, ни к силовым нагрузкам |
При планировании силовых тренировок в аэробном микроцикле важно помнить, что их эффективность зависит от соотношения тестостерона и кортизола, которое влияет на синтез белка в скелетных мышцах. После нагрузок на выносливость это соотношение остаётся сниженным в течение многих часов, неблагоприятных для выполнения силовых тренировок (Viru, Karelson и Smirnova, 1992). С другой стороны, тренировки с большим отягощением (сопротивлением движению) увеличивают скорость расщепления белка, которая сохраняется, по крайней мере, в течение 24 ч (Chesley et al., 1992). Поэтому тренировочные занятия, развивающие максимальную силу, не должны выполняться в зоне последействия предыдущей истощающей аэробной нагрузки. В течение 24 ч должны быть обеспечены условия для восстановления (возможны только нагрузки низкого уровня).
Анаэробные алактатные упражнения не имеют первостепенной важности при планировании аэробного микроцикла, но их вклад совсем не нулевой. Спринтерские включения, используемые в переменных упражнениях (типа фартлека), вовлекают в работу быстрые двигательные единицы, которые обычно бездействуют при выполнении упражнений умеренной интенсивности (Komi, 1989). Краткосрочный кислородный долг, вызванный таким спуртом, должен быть компенсирован во время последующей аэробной работы. Таким образом, дополнительные возможности для окисления получают и медленные, и быстрые мышечные волокна. Нарушение монотонности и эмоциональный всплеск во время аэробной тренировки - также весьма ценные следствия включения спринтерских нагрузок.
Большое количество упражнений умеренной интенсивности используется для выполнения технических заданий, предназначенных для совершенствования основных технических деталей и элементов. Во время длительных аэробных упражнений можно успешно воздействовать на такие особенности технического навыка, как автоматизация, биомеханическая экономизация, диапазон движений, акцентированное приложение усилия в нагрузочных фазах и совершенствование движений в фазе расслабления, рациональная вариативность в изменяющихся условиях и способность противостоять утомлению.
Схема типичного силового/аэробного микроцикла (Рис. 4) представляет общий подход к планированию тренировки, принимающий во внимание вышеупомянутые требования к тренировочным занятиям с использованием высокого сопротивления движению.
Микроцикл развития анаэробных гликолитических способностей[править | править код]
Микроциклы высокоинтенсивных анаэробных нагрузок формируют содержание самого специфического и напряжённого преобразующего мезоцикла. Как уже было отмечено, кумулятивный тренировочный эффект такого тренировочного воздействия в значительной степени зависит от выбора совместимых тренировочных направленностей, которые позволяют усилить и улучшить влияние доминирующих рабочих нагрузок (табл. 3).
По поводу данных, приведённых в таблице 3, нужно сделать несколько замечаний. Во-первых, развивающие тренировочные нагрузки этого микроцикла выполняются на уровне, более высоком, чем анаэробный порог. Однако уровень анаэробного обмена может меняться и зависит от многих факторов. Обычно уровень интенсивности в микроцикле увеличивается постепенно по мере приближения к соревнованию. Следовательно, использование нагрузок, вызывающих накопление лактата в диапазоне 5-8 мМоль/л, позволяет совершенствовать максимальную аэробную мощность и аэробно-анаэробное взаимодействие; такие тренировочные занятия могут превалировать в начале и середине сезона. Тренировочные нагрузки, вызывающие накопление лактата более 8 мМоль/л, направлены на увеличение анаэробной гликолитической мощности и ёмкости. Они вносят весомый вклад в тренировочную программу на её заключительных этапах перед главным соревнованием.
Таблица 3. Анаэробный гликолитический микроцикл: совместимые направленности тренировочных упражнений и их связь с планированием и методическими основами тренировочного процесса
|
Направленность упражнений |
Планирование тренировки |
Методические основы |
|
Силовая выносливость (преимущественно анаэробная) |
Упражнения с высоким сопротивлением могут быть включены в обычное тренировочное занятие или/и они могут составлять отдельное занятие |
Интенсивные упражнения с высоким сопротивлением производят двойной эффект: развивают силовую выносливость и улучшают анаэробный метаболизм |
|
Анаэробные гликолитические (специальная выносливость) способности |
Благоприятное состояние хорошо восстановившихся спортсменов обычно здесь недостижимо; спринтерские нагрузки могут использоваться умеренно утомлёнными спортсменами |
Алактатный механизм вносит вклад в энергообеспечение кратких по длительности нагрузок, однако главная цель этого микроцикла - развитие анаэробных гликолитических возможностей, включая способность противостоять нарастающему утомлению |
|
Аэробная нагрузка низкой интенсивности |
Упражнения такой направленности выполняются в каждой части тренировочного занятия и в отдельных |
Это обязательный компонент программы активного восстановления, которая также включает растяжку, расслабление и т.д. |
|
Техника движений |
Комбинируются технические задания и доминирующие нагрузки; выделяются наиболее значимые технические детали |
Высокоинтенсивные нагрузки и накопление утомления подавляют технические навыки; необходимо применить специальные меры для предотвращения этих отрицательных последствий |
|
Тактика (особенно для игровых видов и единоборств) |
Самые тяжёлые техникотактические задания должны выполняться в лучшее время в тренировочном занятии и в микроцикле |
Комбинация технико-тактических заданий с большой физической нагрузкой вызывает значительные специфические по виду спорта тренировочные эффекты |
Во-вторых, интенсивные упражнения с высоким сопротивлением могут составлять главную часть тренировочной программы. Типичные упражнения типа бега в подъём, серий прыжков, плавания или гребли с дополнительным сопротивлением и др. активизируют весь спектр мышечных волокон. Вовлечение быстрых двигательных единиц ведёт к бурному росту уровня лактата, в результате чего степень анаэробиоза при выполнении таких нагрузок относительно выше, но длительность противостояния такому уровню нагрузки короче. Таким образом, интенсивная тренировка на силовую выносливость -важный компонент анаэробного микроцикла как части тренировочной программы.
В-третьих, анаэробные алактатные упражнения совместимы с анаэробной гликолитической программой с некоторыми ограничениями. Они требуют соответствующего метаболического, ферментативного и нервного приспособления, достаточный уровень которого не может быть обеспечен в рамках истощающего жёстко реализованного микроцикла. Однако специфические требования некоторых видов спорта (особенно игровых и единоборств) диктуют необходимость привлечения коротких (алактатных) и более длительных (гликолитических) нагрузок. Кроме того, использование коротких спринтерских нагрузок позволяет разнообразить рутину тренировочного процесса, хотя и без попыток увеличения уровня максимальных скоростных способностей.
В-четвертых, метаболическая нагрузка, типичная для очень интенсивных анаэробных упражнений, затрудняет демонстрацию надлежащих технических и технико-тактических навыков. Однако подобное (или даже более явное) ухудшение происходит и во время выполнения соревновательного упражнения. Следовательно, эти навыки должны быть соответствующим образом упрочены для применения на предельных физических и эмоциональных уровнях, то есть в рамках высокоинтенсивных тренировочных микроциклов.
Как уже был показано и подчёркнуто, основными существенными особенностями анаэробного микроцикла являются накопление утомления и недостаточное восстановление. Действительно, блоковая периодизация рекомендует применять высококонцентрированную тренировочную программу для развития уменьшенного количества качеств-мишеней. Высокоинтенсивные гликолитические нагрузки вызывают самые выраженные реакции. Это происходит в основном в сердечно-сосудистой системе (с достижением максимальной ЧСС и сердечного выброса) (Noakes, 2000); в энергообеспечении (при максимальном дефиците кислорода и долга, максимальном увеличении и накоплении лактата крови) (Saltin, 1986; Astrand et al., 2003). Кроме того, происходит быстрый рост уровня адреналина, норадреналина и кортизола, в то время как уровень тестостерона снижается на 24 ч и более (Viru, 1995). Принимая во внимание частоту проведения тренировочных занятий (9-14 в неделю) и продолжительность восстановления после выполнения упражнения, накопление утомления за весь микроцикл неизбежно. Для уменьшения отрицательных последствий недостаточного восстановления предлагается руководствоваться следующими принципами:
- последовательность развивающих тренировочных занятий должна подбираться тщательно, с учётом ожидаемого накопления утомления;
- восстанавливающие тренировочные занятия - очень важный компонент тренировочного плана; они должны быть распределены разумно;
- восстановление означает включение соответствующих упражнений (на растяжку, расслабление, движений с низкой интенсивностью и др.), массажа, физиотерапевтических процедур; настоятельно рекомендуется применение пищевых добавок;
- здесь особенно важен контроль за реакцией спортсменов на тренировочную нагрузку.
Основываясь на вышеизложенном и принимая во внимание оптимальный выбор времени для применения упражнений различной направленности (Рис. 3), можно составить несколько вариантов планов микроцикла. Общая схема составления анаэробного микроцикла, содержащего десять тренировочных занятий, представлена на Рис. 5.
В предложенной схеме нужно отметить некоторые существенные детали:
- микроцикл содержит шесть развивающих тренировочных занятий, направленных на развитие анаэробной гликолитической мощности и ёмкости, а также силовой выносливости с анаэробным компонентом. Три ключевые тренировки микроцикла сосредоточены на применении упражнений этих трёх направленностей;
- ключевые тренировки «защищены» предыдущими занятиями со средней нагрузкой или восстанавливающим «окном» (отдыхом в среду вечером); последующие восстанавливающие тренировочные занятия предназначены для предотвращения чрезмерного накопления утомления до конца микроцикла;
- анаэробные алактатные способности подвергаются усиленному воздействию во время двух тренировочных занятий со средним уровнем нагрузки для поддержания максимального уровня скоростных способностей. Обе восстанавливающие тренировки включают упражнения низкой интенсивности и также направлены на поддержание или совершенствование специфических по виду спорта технических навыков;
- нужно отметить, что варианты нагрузок в нашей схеме соответствуют трёхпиковому планированию. Похоже, что два и три пика являются наиболее подходящим вариантом для микроциклов с высокоинтенсивными анаэробными нагрузками.
Микроцикл развития взрывной силы и координационных способностей[править | править код]
В отличие от так называемых метаболических видов спорта, в которых энергообеспечение играет решающую роль при выполнении соревновательного упражнения, сложнокоординационные виды предъявляют специфические требования к накоплению утомления. И нервно-мышечная специфика этих видов спорта, и существенные проявления взрывной силы предполагают выполнение соответствующей предварительной работы перед развивающими тренировочными занятиями и, следовательно, перед нагрузочными микроциклами. Это включает достижение достаточной восприимчивости и реактивности центральной нервной системы (Zatsiorsky, 1995), быстрое пополнение энергетических ресурсов (Wilmore, Costill, 1993), наличие соответствующего гормонального статуса, то есть выгодного соотношения тестостерона и кортизола (Viru, 1995). Поэтому микроцикл с весьма специфическими тренировочными нагрузками, который является типичным для преобразующего мезоцикла, существенно отличается от равноценного микроцикла в видах спорта на выносливость. Типичными дисциплинами в скоростно-силовых видах спорта являются метания и толкания (диска, копья, молота, ядра) и прыжки (в высоту, длину, тройной и с шестом). Рассмотрим типичный микроцикл для развития взрывной силы в сложнокоординационной дисциплине, используя метание молота в качестве примера.
Пример. Рассматриваемый микроцикл был частью процесса подготовки двукратного чемпиона и серебряного призёра Олимпийских игр в метании молота Юрия Седых (СССР). Всего микроцикл содержит одиннадцать тренировочных занятий, из них все развивающие направлены исключительно на взрывную силу, специфическую по виду спорта технику движений и максимальную силу. О содержании микроцикла сообщил личный тренер спортсмена (Бондарчук, 1986) - см. таблицу 4.
Таблица 4. Микроцикл весьма специфических тренировочных нагрузок в подготовке олимпийского чемпиона в метании молота Юрия Седых (по Бондарчуку, 1986)
|
День недели |
До обеда |
После обеда | ||
|
Содержание |
Направленность |
Содержание |
Направленность | |
|
Пн |
Метание молота различных весов, 30 раз |
Взрывная сила + техника |
Спурты (бег 5-20 м) |
Алактатные способности |
|
Прыжки в длину с места |
Взрывная сила |
Упражнения со штангой: рывок, полуприседания, упражнение «доброе утро» |
Максимальная сила | |
|
Растяжка | ||||
|
Вт |
Метание молота различных весов, 30 раз |
Взрывная сила + техника |
Упражнения со штангой: повороты туловища, полуприседания |
Максимальная сила |
|
Прыжки с места |
Взрывная сила | |||
|
Ср |
Бросок 16-килограммового груза, 25 раз; бросок ядра различными способами, 50 раз. |
Взрывная сила |
Выходной | |
|
Игра в баскетбол -15 мин |
Отдых | |||
|
Чт |
Метание молота различных весов, 35 раз |
Взрывная сила + техника |
Выходной | |
|
Штанга: рывок, полуприседания, упражнение «доброе утро», повороты туловища. |
Максимальная сила | |||
|
Плавательный бассейн -25 мин |
Отдых | |||
|
Пт |
Метание молота различных весов, 32 раза |
Взрывная сила + техника |
Штанга: рывок, полуприседания, упражнение «доброе утро», повороты туловища Растяжка |
Максимальная сила |
|
Прыжки с места |
Взрывная сила |
Отдых | ||
|
Сб |
Бросок 16-килограммового веса, 25 раз |
Взрывная сила |
Штанга: рывок, полуприседания, упражнение «доброе утро», повороты туловища. Растяжка. |
Максимальная сила Отдых |
|
Игра в баскетбол - 20 мин | ||||
|
Вс |
Ходьба; плавательный бассейн - 30 мин |
Отдых |
Выходной | |
Изучение этого микроцикла выявляет некоторые существенные детали, которые можно счесть характерными для данного типа тренировочного процесса:
- специфические по виду спорта упражнения, направленные на развитие взрывной силы и имеющие первостепенное значение в программе подготовки в целом, включаются исключительно в утренние тренировки и всегда в их первую половину. Такой подход резервирует самые благоприятные фазы в состоянии спортсмена для выполнения самых важных ключевых упражнений;
- упражнения на развитие максимальной силы, которые играют важную роль в поддержании уровня специфических по виду спорта силовых способностей и общего состояния спортсмена, выполнялись в пяти тренировочных занятиях: четыре раза отдельно в течение специально организованных вечерних тренировок и один раз во второй части утренней тренировки;
- дополнительные упражнения на развитие взрывной силы (прыжки с места) выполнялись три раза, но тогда, когда спортсмен был не в самом благоприятном состоянии;
- упражнения на восстановление (игра в баскетбол, плавание, растяжка) были органично вплетены в тренировочную программу, и даже день отдыха включал занятие с упражнениями на восстановление.
Основываясь на реальном тренировочном плане, представленном в этой таблице, вполне возможно обобщить эти данные и создать типичный микроцикл для развития взрывной силы в сложнокоординационной легкоатлетической дисциплине (метании молота — Рис. 6). Ключевым фактором в создании или применении специализированных упражнений для развития специальной или взрывной силы в сложнокоординационных спортивных дисциплинах является глубокое понимание тренером техники выполнения движения и последующее соединение этого знания со схемой исполнения упражнения. Другими словами, упражнения на развитие силы или взрывной силы повторяют (имитируют) технику движения так, что и техника и сила совершенствуются одновременно, как на соревновании (Yessis, 2006).
Стоит отметить, что соответствующий микроцикл в прыжковых дисциплинах имеет много специфических особенностей, например спринтерские упражнения и др. Тем не менее, вышеупомянутые характерные черты микроцикла (Рис. 6) остаются существенными также и для других скоростно-силовых дисциплин.
При рассмотрении схемы микроцикла в видах спорта, требующих развития взрывной силы (мощности), особое внимание должно быть уделено подавляющему воздействию чрезмерного накопления усталости. Такое отрицательное влияние особенно проявляется в нервной и гормональной сферах организма спортсменов. Хорошо известно, что взрывная сила зависит от чувствительности и реактивности нервно-мышечной системы, а чрезмерная усталость разрушает тонкую регулировку прохождения нервного импульса и мышечных сокращений. Гормональный эффект также играет решающую роль в реакции организма спортсмена на выполнение тренировок при развитии взрывной силы. Тестостерон, как основной мужской половой гормон, определяет анаболический эффект силовых тренировок. Кроме того, его изменения во время спортивных тренировок указывают на уровень полученной физической нагрузки (Viru и Viru, 2000). Так, влияние тестостерона на проявление взрывной силы было рассмотрено в специальном исследовании (Cardinale и Stone, 2006).
Пример. Были исследованы семьдесят элитных спортсменов: легкоатлетов (спринтеров), гандболистов, волейболистов и футболистов (в общей сложности 22 женщины и 48 мужчин). После 10 часов голодания и одного дня отдыха измерялись уровень тестостерона в крови в покое и результат прыжка в высоту с предварительным приседанием[1]. Была выявлена значительная положительная связь между уровнем тестостерона и результатом в прыжке (R=0,61 при Р<0,001). Таким образом, уровень тестостерона существенно влияет на мощность мышечных усилий, если время сокращения невелико (Cardinale и Stone, 2006).
Результаты исследования проявления взрывной силы дают возможность сделать, по крайней мере, два вывода:
- лица с относительно высоким уровнем тестостерона (как мужчины, так и женщины-спортсмены) имеют наследственную предрасположенность к демонстрации взрывной силы;
- при планировании микроцикла для развития взрывной силы следует избегать чрезмерного утомления, который подавляет уровень тестостерона и резко снижает эффект упражнений на максимальную силу.
Предсоревновательный микроцикл[править | править код]
Предсоревновательный микроцикл формирует содержание реализационного мезоцик-ла и поэтому должен удовлетворять следующим требованиям:
- использовать специфические по виду спорта упражнения и задания, которые моделируют предстоящую соревновательную деятельность, способствуя достижению психологической готовности и устойчивости;
- развивать максимальные скоростные способности (мощность) и специфическую по виду спорта быстроту;
- обеспечивать полное восстановление после утомительных тренировочных нагрузок предыдущего трансформирующего мезоцикла.
Ещё одно требование касается психологической готовности к предстоящему соревнованию; её значимость увеличивается по мере приближения к соревнованию, хотя психологическая подготовка включается в тренировочный процесс и на более ранних его этапах.
Так как предсоревновательный микроцикл является частью реализационного мезоцикла, также называемого сужением, его методологическое обоснование и интерпретация совершенно другие. В основном он предназначен для снижения общего уровня тренировочной нагрузки, однако предлагаемые способы достижения этой цели различны. Считается, что общий объём нагрузки должен быть уменьшен, однако существует много противоречий, связанных с продолжительностью тренировочного занятия и частотой применения высокоинтенсивных упражнений (Kubukeli et al., 2002). Концепция блоковой периодизации позволяет предложить общие подходы, которые могут помочь в планировании предсо-ревновательного микроцикла для некоторых видов спорта (табл. 5).
Таблица 5. Основные характеристики и особенности предсоревновательных микроциклов
|
Основные характеристики |
Особенности |
Примечания |
|
Объём нагрузки |
Значительно сниженный |
Это создает условия для полного восстановления |
|
Общий объём интенсивных упражнений |
Существенно сниженный по сравнению с предыдущим мезоциклом |
Общий объём этих упражнений уменьшается, чтобы облегчить восстановление, но их качество улучшается |
|
Вклад упражнений максимальной скорости (мощности) |
Значительно увеличенный |
Хорошо отдохнувшие спортсмены лучше реагируют на упражнения с максимальной скоростью; остаточные тренировочные эффекты от таких упражнений длятся менее всех других |
|
Вклад специфических по виду спорта имитационных заданий |
Значительно увеличенный |
Такие имитационные задания позволяют лучше адаптироваться к ожидаемым соревновательным стресс-факторам |
|
Частота выполнения тренировочных занятий |
Микроцикл, обычно схожий с предыдущим |
Деление всей нагрузки на несколько частей позволяет увеличить качество тренировочной работы |
|
Организация |
Рациональная комбинация групповой, индивидуальной и смешанной тренировочной работы |
Эта характеристика должна учитывать специфику вида спорта и индивидуальность спортсмена |
|
Восстановление |
Выгодные условия для полного восстановления; увеличенный объём восстанавливающих упражнений/тренировок |
Обычно спортсмены получают больше времени и с большим желанием выполняют упражнения на восстановление |
Сокращение объёма тренировочной нагрузки - принципиальное условие полного восстановления для достижения и затем использования фазы суперкомпенсации в состоянии спортсменов. Другими словами, уменьшение уровня тренировочной нагрузки имеет первостепенное значение, однако способ достижения этого зависит от различных обстоятельств. Основные факторы сокращения нагрузки - это (1) уменьшение общего объёма тренировок и (2) снижение частного объёма интенсивных упражнений. Соотношение зависит от вида спорта и индивидуальности спортсмена, но результат всегда один: восстановление и улучшение общего состояния спортсмена. Такое улучшенное состояние формирует основу для успешного применения двух групп упражнений:
- выполняемых с максимальной скоростью (помните, что их эффект зависит от реактивности центральной нервной системы и наличия энергоресурсов);
- специфических по виду спорта заданий, моделирующих технико-тактические ситуации предстоящих соревнований (хорошо восстановленные спортсмены могут точнее приблизиться к модельным соревновательным режимам и приспособиться к ожидаемым стресс-факторам).
Частота проведения тренировочных занятий как компонент планирования микроцикла не является простым или однозначным показателем. С одной стороны, уменьшенная частота может рассматриваться как инструмент для снижения общего уровня тренировочных нагрузок и выделения большего времени для восстановления. Однако, с другой стороны, деление ежедневных тренировочных нагрузок на две части позволяет улучшить качество высокоинтенсивных упражнений. Дополнительное свободное время, особенно в условиях предсоревновательного сбора, может быть серьёзным недостатком ежедневной программы. Таким образом, для этих спортсменов предпочтительным решением является поддержание обычного дневного тренировочного графика. Для квалифицированных спортсменов, особенно во время предсоревновательного сбора, это означает выполнение 9-14 тренировочных занятий в неделю.
Формы организации занятий в предсоревновательном микроцикле существенно зависят от специфики вида спорта и индивидуальных особенностей спортсменов. Конечно, в командных видах (типа художественной гимнастики) или командных дисциплинах в академической гребле и гребле на байдарках и каноэ групповые тренировки абсолютно доминируют. Однако общей тенденцией является относительное увеличение количества индивидуальных занятий, в которых спортсмены могут лучше сконцентрироваться на индивидуальных технических особенностях, ощущениях, реакциях и должных способах саморегуляции. Кроме того, надлежащий контакт с тренером повышает у спортсменов уверенность в себе.
Восстановительные тренировочные занятия определённо формируют большую часть плана этого типа микроциклов, чем других. Это объясняется прежде всего важностью процессов восстановления в общей программе сужения и в достижении фазы суперкомпенсации именно в соревновательном периоде. Кроме того, так как в предсоревновательном микроцикле бюджет времени более свободный, там можно лучше использовать восстановительные занятия и упражнения как инструменты улучшения качества наиболее важных специфических по виду спорта тренировок.
Специальное внимание следует уделить надлежащему распределению занятий во времени, имея в виду ожидаемый график соревнований. В общем, дневной биологический ритм должен быть приспособлен к графику предстоящего соревнования, то есть самые важные тренировочные занятия должны быть запланированы на время выполнения пиковых нагрузок в течение предстоящих соревнований.
Пример. В 1984-2008 гг. заезды на олимпийских регатах байдарочников, каноистов и ака демистов планировались исключительно на утренние часы. Это отличалось от программ мировых и континентальных чемпионатов, в которых гонки проводились и в утреннее, и в дневное время. Следовательно, предолимпийская подготовка гребцов (академистов, байдарочников и каноистов) мирового класса планируется в соответствии с ожидаемым временем приложения максимальных усилий. Это особенно типично для предсоревновательных микроциклов, в которых спортсмены выполняют упражнения, моделирующие соревновательные, точно во время предстоящих соревновательных событий.
Общая схема предсоревновательного микроцикла, представленного здесь, составлялась для условий тренировочного сбора и учитывала, что пиковые соревновательные нагрузки запланированы на утренние часы (Рис. 7).
Стоит отметить специфическую роль силовых упражнений в планировании предсоревновательных микроциклов. С одной стороны, многие спортсмены сообщают, что выполнение упражнений с большим отягощением (высоким сопротивлением) перед началом соревнований отрицательно влияет на технический навык, что их количество должно быть уменьшено или даже сведено к нулю. Такая позиция особенно типична для пловцов (Pfeifer, 1987), но также имеет место и среди волейболистов, и среди теннисистов. С другой стороны, использование специфических по виду спорта упражнений для развития максимальной и/или взрывной силы позволяет спортсменам поддерживать силовую составляющую технического навыка на желательном уровне (Bompa, Carrera, 2003). Кроме того, упражнения, вызывающие мышечную гипертрофию, предотвращают неконтролируемое уменьшение мышечной массы, вызванное гормональным всплеском перед началом и во время участия в соревновании.
Микроцикл поддержания специфических кондиций в спортивных играх[править | править код]
Внутрисезонная подготовка высококвалифицированных спортсменов в игровых видах спорта предъявляет весьма специфические требования в случае применения блоковой периодизации. Спортивный сезон в футболе, хоккее, регби, волейболе и др. длится 20-35 недель, во время которых возможность применения высококонцентрированных тренировочных блоков очень ограничена. Обычно игроки поддерживают свои силовые способности около предсезонного уровня в течение 14-16 недель; затем силовые показатели существенно снижаются (Fleck и Kraemer, 1997). Обычный интервал между играми (одна неделя) не позволяет провести эффективную работу по достижению многих разрозненных целей типа совершенствования метаболических процессов, максимальной и взрывной силы, предотвращения травм, совершенствования технико-тактических навыков, специфической игровой выносливости и активного восстановления. Таким образом, должны быть чётко определены тренировочные приоритеты, и на их основании использованы некоторые БП-подходы. Они следующие:
- высокая концентрация специализированных тренировочных нагрузок в рамках миниблоков;
- разделение миниблоков по тренировочной направленности;
- определение ключевых тренировок.
Рисунок 10.8 представляет предложенный вариант микроцикла.
Стоит отметить следующие особенности схемы микроцикла, приведённой на Рис. 8:
- 1-й миниблок (с понедельника по среду) посвящён развитию в основном специфических по виду спорта силовых способностей, т.е. максимальной и взрывной силы как доминирующих целей тренировки. Миниблок начинается с тренировочного занятия для активного восстановления с использованием нагрузки среднего или низкого уровня, содержащей аэробные и общеподготовительные упражнения. Главная цель должна быть достигнута в двух ключевых тренировках, которые сочетаются с командной работой на среднем уровне нагрузки (во вторник днём) и восстановительной кондиционной тренировкой (в среду днём). Таким образом, за силовыми упражнениями как важными компонентами ключевых тренировок следуют 28—30 ч отдыха, которые облегчают анаболический процесс и восстановление перед 2-м миниблоком;
- 2-й миниблок (с четверга по субботу) предназначен для специфической по виду спорта командной работы и непосредственной подготовки к предстоящей игре. Он включает две обязательные командные тренировки. Одна из них предваряет день отдыха и предназначена для того, чтобы произвести отчётливое специфическое игровое воздействие. Вторая тренировка непосредственно предшествует игре и характеризуется сниженным уровнем нагрузки. Её содержание обычно связано с ожидаемыми особенностями предстоящего матча, а значит, представляет собой главным образом технико-тактические упражнения.
Некоторые высокомотивированные игроки и команды выполняют такой внутрисезонный тренировочный микроцикл без дня отдыха. В этом случае дополнительная кондиционная или технико-тактическая тренировка может быть назначена на утро пятницы (это дополнительное занятие не обозначено на схеме). Возможные преимущества такого планирования очевидны. Оно облегчает совершенствование индивидуальных и/или коллективных технико-тактических навыков и поддерживает общий уровень физической подготовки. Недостатки такого микроцикла также очевидны: обычно игроки требуют один полный день на свои личные дела и психологическое восстановление;
- схема микроцикла, представленная выше, показывает приоритет развития максимальной силы, тогда как взрывная сила остаётся на втором плане. Такое акцентирование максимального силового компонента основывается на необходимости поддержания благоприятного соматического, функционального и анаболического состояния организма спортсмена. Однако существуют примеры применения классической тренировки с большим отягощением (высоким сопротивлением) вместе с микроциклами, содержащими баллистические упражнения взрывного типа, которые помогают улучшить результат в прыжках (Newton et al., 2006).
Короткий промежуток времени и эмоциональное и физическое напряжение, связанное с недельной соревновательной программой, ограничивают преимущества последовательного использования блоковых мезоциклов. Однако несмотря на разнообразие видов спорта и местных условий, можно добиться преимуществ, связанных с акцентированием доминирующих тренировочных целей, объединением миниблоков и планированием ключевых тренировок.
Правила построения микроцикла[править | править код]
Блоковая периодизация предлагает несколько специфических соображений относительно планирования микроцикла. Они касаются функции и важности ключевых тренировок, то есть, их определения и составления, облегчения выполнения нагрузки, контроля и т.д. Процесс восстановления также является весьма важным, так как является частью подготовки к выполнению высококонцентрированных нагрузок и последующего периода. В общем, весь процесс планирования микроцикла может быть представлен как последовательность определённых действий (табл. 6).
Таблица 6. Последовательность действий при планировании тренировочного микроцикла
|
№ п/п |
Действие |
Примечания |
|
1 |
Определение доминирующей и дополнительной тренировочной направленности |
Базируется на содержании годичного плана и специфике текущего мезоцикла |
|
2 |
Определение, расстановка и составление ключевых тренировок |
Такие тренировки должны обеспечить основное развивающее тренировочное воздействие |
|
3 |
Определение восстанавливающих тренировок и восстанавливающих «окон» |
Такие меры облегчают выполнение ключевых тренировок и предотвращают чрезмерное накопление утомления |
|
4 |
Определение, расстановка и составление других развивающих и поддерживающих тренировок |
Взаимодействие тренировочных нагрузок заслуживает особого внимания; предыдущие тренировки влияют на восприимчивость к последующим рабочим нагрузкам |
|
5 |
Выбор соответствующих средств контроля за тренировочным процессом |
Контролировать следует уровень качеств-мишеней и функций |
|
6 |
Планирование специальных мероприятий |
В них могут участвовать психолог, врач и другие специалисты |
В дополнение к приведённому выше алгоритму можно предложить некоторые общие правила для облегчения процесса планирования тренировочного микроцикла.
Первое правило - обеспечение приоритета ключевых тренировок. Содержание и направленность ключевых тренировок определяют основное воздействие и направленность всего микроцикла. Таким образом, когда качества-мишени микроцикла ясно определены, процесс планирования должен начинаться с составления ключевых тренировок.
Второе правило - организация ключевых тренировок. При планировании тренировочных занятий, смежных с ключевыми, нужно принимать во внимание их взаимодействие. Предыдущее тренировочное занятие влияет на восприимчивость спортсмена к развивающим нагрузкам, а последующее определяет накопление утомления и процесс восстановления.
Третье правило - разделение средств восстановления по времени их применения. Средства восстановления, то есть восстановительные тренировки, восстановительные упражнения (аэробные низкой интенсивности, растяжка, расслабление, встряхивание, дыхательные) и восстановительные процедуры (массаж, сауна, гидро- и физиотерапия, психологический тренинг) формируют обязательный компонент тренировочного процесса. Эти средства должны тщательно планироваться в структуре каждого микроцикла.
Четвёртое правило - введение в нагрузку и планирование пиковых нагрузок. Обычно день отдыха снижает готовность спортсменов к выполнению высоких тренировочных нагрузок. Таким образом, первое тренировочное занятие микроцикла не должно быть ключевой тренировкой. Количество и расстановка ключевых тренировок определяют время пиковых нагрузок и их количество в микроцикле, то есть, одно-, двух- и трёхпиковое планирование.
Пятое правило - контроль за тренировочным процессом. Результаты выполнения ключевой тренировки лучше всего характеризуют текущее состояние организма спортсменов: текущие достижения, показатели технических действий, выполняемых на требуемом уровне, реакция спортсменов (то есть, ЧСС, концентрация лактата в крови, уровень восприятия нагрузки и т.д.).
Читайте также[править | править код]
- Спортивная подготовка
- Цели и задачи спортивной тренировки
- Спортивная тренировка
- Методы спортивной тренировки
- Принципы спортивной тренировки
- Тренировочные циклы: микроцикл, мезоцикл, макроцикл
- Тренировочные эффекты
- Перенос тренированности
- Тренировочные циклы (периодизация нагрузки и отдыха)
- Планирование тренировочного процесса
Литература[править | править код]
- Astrand, P., Rodahl, K., Dahl, H.A., Stromme, S.B. (2003). Textbook of work physiology: Physiological bases of exercise. 4th Edition. New York: McGraw-Hill.
- Baker, D. (2001). The effects of an in-season of concurrent training on the maintenance of maximal strength and power in professional and college-aged rugby league football players. J Strength Cond Res, 15(2): 172-177.
- Bompa, T., Carrera, M. (2003) Periodization Training for Spoils, 2nd Edition. Champaign, IL: Human Kinetics.
- Бондарчук А.П. (1986). Тренировка легкоатлетов. Киев: Здоровье.
- Bouchard, С. (1986). Genetics of aerobic power and capacity. In.: Malina RM and Bouchard C. (Editors) Sport and Human Genetics, Champaign, IL: Human Kinetics, pp. 59-88.
- Cardinale, M., Stone, M.H. (2006). Is testosterone influencing explosive performance? J Strength Cond Res, 20 (1): 103-107.
- Chesley, A., MacDougal, J.D., Tarnopolsky, M.A. et al. (1992). Changes in human muscle protein synthesis after resistance exercises. J Appl Physiol, 73: 1383-1389.
- Dick, F. (1980). Sport training principles. London: Lepus Books.
- Fleck, S.J., Kraemer, W.J. (1997). Designing resistance training programs (2nd edition). Champaign, IL: Human Kinetics.
- Issurin, V. (2003). Aspekte der kurzfristigen Planung im Konzept der Blockstruktur des Trainings. Leistungsport, 33: 41-44.
- Komi, P. (1988). The musculosceletal system. In: Dirix, A., Knuttgen, H.,G., Tittel, K.(Editors). The Olympic book of sports medicine. Vol. I of the Encyclopedia of Sports Medicine. Blackwell Scientific Publications, pp. 15—39.
- Kubukeli, Z., Noakes, T., Dennis, S. (2002). Training techniques to improve endurance exercise performances. Sports Med, 32: 489-509.
- Martin, D. (1980). Grundlagen der Trainingslehre. Verlag Karl Hoffmann, Schorndorf.
- Noakes, T. (2000). Physiological models to understand exercise fatigue and the adaptations that predict or enhance athletic performance. Scand J Med Sci Sports, 10:123-145.
- Newton, R., Rogers, R.A., Volek, J.S. et al. (2006). Four weeks of optimal load resistance training at the end of season attenuates declining jump performance of women volleyball players. J Strength Cond Res, 20(4): 955-961.
- Pfeifer, H. (1987). Zyklisirung und Akzetuierung zur Erzielung von Belastungssteigerungen und hoher Leistungsfahigkeiten fur geplante Zeitpunkte im Sportschwimmen. Theorie und Praxis Leistungssport. Berlin, 25(3): 49-61.
- Платонов, B.H. (1997). Общая теория подготовки спортсменов в олимпийском спорте. Киев, “Олимпийская литература».
- Saltin, B. (1986). Anaerobic capacity: past, present, and perspective. In: Saltin B. (Editor). Biochemistry of Exercise VI. Champaign, IL: Human Kinetics, pp. 387-398.
- Starischka, S. (1988). Trainingsplanung. Studienbrief der Trainerakademie Koeln, Schorndorf: Hoffmann.
- Viru, A. (1995). Adaptation in spo?ts training. Boca Raton, FL: CRC Press.
- Viru, A., Karelson, K. and Smirnova, T. (1992).Stability and variability in hormonal responses to prolonged exercises. Int J Sports Med, 13: 230-235.
- Viru, A., Viru, M. (2001). Biochemical monitoring of sport training. Champaign, IL: Human Kinetics.
- Viru, M., Viru, A. (2000). Hormonelle Verandeungen in der Taper-Phase unmittelbar vor einem Wettkampf. Leistungssport, 30:5: 4-8.
- Wilmore, J.H., Costill, D.L. (1993). Training for sport and activity. The physiological basis of the conditioning process. Champaign, IL: Human Kinetics.
- Yessis, M. (2006). Build a better athlete. Terre Haute, IN: Equilibrium Books.
- Zatsiorsky, V.M. (1995). Science and practice of strength training. Champaign, IL: Human Kinetics.
Источники[править | править код]
- ↑ Высота прыжка рассчитывается с использованием специального мата, позволяющего измерить время между отрывом ног от мата и приземлением. Спортсмен стоит в вертикальном положении в носках или босиком, при этом его вес должен быть равномерно распределён на обе ноги. Руки на бедрах и остаются там на протяжении всего испытания. Спортсмен приседает, сгибая колени под 90 градусов, и сразу выполняет прыжок вверх, приземляясь на мат на обе ноги одновременно. Толчок выполняется с обеих ног без переступаний, остановок или лишних движений. Обычно регистрируется лучший результат из трёх попыток.
