Никотиновая кислота (витамин В3)
Содержание
Никотиновая кислота (витамин В3)[править | править код]
Историческая справка[править | править код]
В странах с высоким потреблением кукурузы, особенно в Италии и странах Северной Америки, столетиями известно заболевание, называемое пеллагрой (от итальянского реlie agra — «грубая кожа»). В 1914 г. Функ постулировал связь этой болезни с дефицитом каких-то пищевых веществ. Через несколько лет Гольдбергер и сотр. показали, что пеллагру можно предотвратить добавлением к рациону свежего мяса, яиц и молока. В дальнейшем Гольдбергер создал прекрасную экспериментальную модель пеллагры («черный язык»), содержа собак на неполноценном рационе. Вначале считалось, что причиной пеллагры служит нехватка незаменимых аминокислот, но вскоре было показано, что это заболевание предотвращается одним из термостабильных факторов, присутствующих в водорастворимых препаратах витаминов группы В.
В 1935 г. Варбург и сотр. из кофермента, выделенного из лошадиных эритроцитов, получили амид никотиновой кислоты (никотинамид). Это привлекло внимание к роли никотиновой кислоты в питании. Поскольку было известно, что пеллагра у человека и «черный язык» у собак излечиваются печеночными экстрактами, в 1937 г. Эльвегейм, анализируя такие экстракты, обнаружил в них никотинамид и показал, что именно он ответственен за лечебный эффект. Затем было установлено, что аналогичным эффектом обладают и синтетические производные никотиновой кислоты. Еще раньше Гольдбергер и Таннер нашли, что при пеллагре помогает прием триптофана. Позднее выяснилось, что это связано с превращением триптофана в никотиновую кислоту. Диета с малым содержанием никотиновой кислоты и триптофана вызывала пеллагру у человека (Goldsmith, 1958).
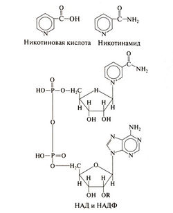
Чтобы не путать никотиновую кислоту с алкалоидом никотином, ее иногда называют также ниацином. В настоящее время пеллагра встречается в США очень редко, вероятно потому, что с 1939 г. никотиновую кислоту стали добавлять в муку. Строение. В организме никотиновая кислота превращается в НАД или в НАДФ. Важно отметить, что в обоих соединениях никотиновая кислота присутствует в форме никотинамида. Структурные формулы НАД и НАДФ показаны ниже; буквой R в структуре НАД обозначен водород (Н), а в структуре НАДФ —: группа Р03Н2. Синтезированы аналоги никотиновой кислоты, являющиеся ее антагонистами: пиридин-3-сульфоновая кислота и 3-ацетилпиридин.
Фармакологическое действие[править | править код]
Никотиновая кислота и никотинамид выполняют в организме одинаковые функции. Однако их фармакологические свойства не одинаковы, поскольку никотинамид образуется не прямо из никотиновой кислоты, а лишь при распаде НАД. Токсическое действие никотиновой кислоты у человека (приливы, зуд, нарушения функции ЖКТ и печени, обострение язвенной болезни) обычно проявляется лишь при применении больших доз (2—6 г/сут), которые иногда используют для лечения гиперлипопротеидемии (гл. 36). Физиологические функции. Биологически активные формы никотиновой кислоты, НАД и НАДФ, играют важнейшую роль в обмене веществ, являясь коферментами во множестве окислительно-восстановительных реакций тканевого дыхания. Связываясь с соответствующими дегидрогеназами, эти коферменты действуют как окислители: они принимают электроны и водород от субстратов и приобретают восстановленную форму — НАДН и НАДФН. Последние, в свою очередь, окисляются флавопротеидами. НАД служит также донором АДФ-рибозильной группы в реакциях ее переноса на белки.
Процесс превращения никотиновой кислоты в НАД был изучен в разных клетках, в том числе в эритроцитах человека. Он показан ниже (реакции 63.3—63.5). НАДФ образуется из НАД в реакции 63.6. Биосинтез НАД из триптофана более сложен. Путем нескольких ферментативных реакций триптофан превращается в хинолиновую кислоту, а последняя — в рибонуклеотид никотиновой кислоты, который и вступает в реакцию 63.4.
Никотиновая кислота +5-фосфорибозил-1 -пирофосфат —> рибонуклеотид никотиновой кислоты + пирофосфат, (63.3)
рибонуклеотид никотиновой кислоты + АТФ -> дезамидо-НАД + пирофосфат, (63.4)
дезамидо-НАД + глутамин + АТФ —> НАД + глутамат + АДФ + фосфат, (63.5)
НАД + АТФ -> НАДФ + АДФ. (63.6)
Симптомы дефицита[править | править код]
Дефицит никотиновой кислоты ведет к развитию пеллагры. При пеллагре страдают в основном кожа, ЖКТ и ЦНС. Триаду симптомов — дерматит, диарея и деменция — нередко называют синдромом трех Д. В настоящее время пеллагра чаще всего наблюдается при алкоголизме, белковоэнергетической недостаточности и дефиците многих витаминов. Вначале эритема, напоминающая солнечный ожог, появляется на тыльной стороне рук. Позднее поражаются другие открытые части тела (лоб, шея и ноги). Затем повреждения могут распространяться шире. Для пеллагры характерна симметричность очагов поражения кожи, которая иногда темнеет, слущивается и покрывается рубцами.
Поражения ЖКТ проявляются главным образом стоматитом, энтеритом и поносом. Язык приобретает ярко-красный цвет, распухает и иногда изъязвляется. Усиливается слюноотделение и увеличиваются слюнные железы. Часто возникают тошнота и рвота. Иногда, даже в отсутствие поноса, возникает стеаторея. Понос, если он есть, часто рецидивирует, и стул может быть водянистым и даже кровавым.
Поражение ЦНС проявляется головной болью, головокружением, бессонницей, депрессией и нарушением памяти. В тяжелых случаях могут наблюдаться бред, галлюцинации и деменция. Нарушается проводимость по двигательным и чувствительным нервам. При лабораторном исследовании обычно находят макроцитарную анемию, гипоальбуминемию и гиперурикемию.
О степени дефицита никотиновой кислоты пытались судить по экскреции ее метилированных производных (в частности, N-метилникотинамида) с мочой, однако этот показатель оказался ненадежным, как и уровень никотинамида в крови или моче. Основой для диагноза в большинстве случаев остаются клинические проявления в сочетании с эффектом экзогенного никотинамида.
Потребность[править | править код]
Как отмечалось выше, потребность в никотиновой кислоте может удовлетворить не только сама эта кислота, но и никотинамид, а также триптофан. Поэтому на потребность в никотиновой кислоте влияет количество и качество белка в рационе. Судя по экскреции метаболитов с мочой, 60 мг триптофана в среднем эквивалентны 1 мг никотиновой кислоты. Пероральные контрацептивы замедляют превращение триптофана в никотиновую кислоту. Минимальная потребность в никотиновой кислоте (с учетом образующейся из триптофана) составляет в среднем 4,4 мг/1000 ккал. Суточная потребность равна 14 мг для женщин и 16 мг для мужчин (табл. XIII.2).
Зависимость потребности в никотиновой кислоте от количества триптофана в пище объясняет давно известную связь между распространенностью пеллагры и содержанием кукурузы в рационе. Кукурузный белок беден триптофаном, а никотиновая кислота в кукурузе и других зерновых продуктах малодоступна. Если основная часть пищевого белка обеспечивается зерновыми продуктами, содержащими мало триптофана, то для предотвращения пеллагры необходимо больше никотиновой кислоты. Американцы потребляют много животного белка, и поэтому их суточная потребность в никотиновой кислоте в значительной мере покрывается триптофаном.
Пищевые источники[править | править код]
Источником никотиновой кислоты служат печень, мясо, рыба, птица, орехи и бобы, а также хлеб и крупы, в первую очередь обогащенные или грубого помола. Триптофаном особенно богат белок животного происхождения. Всасывание, обмен и экскреция. Как никотиновая кислота, так и никотинамид легко всасываются во всех отделах кишечника и поступают во все ткани. При введении терапевтических доз никотиновой кислоты или никотинамида лишь небольшие количества этих веществ появляются в моче в неизмененном виде, тогда как при введении очень больших доз оба соединения выводятся с мочой в основном в неизмененном виде. Никотиновая кислота и никотинамид превращаются в организме главным образом в N-метилникотинамид, который подвергается дальнейшим метаболическим превращениям. Применение. Никотиновая кислота, никотинамид и их производные применяются для профилактики и лечения пеллагры. Обострение пеллагры требует интенсивного лечения. Рекомендуется принимать эти препараты по 50 мг внутрь до десяти раз в сутки. При невозможности приема внутрь препарат вводят по 25 мг в/в 2 раза в сутки и чаше. Симптомы пеллагры могут появиться при двух видах нарушения обмена веществ. При хартнуповской болезни нарушен транспорт триптофана в кишечнике и почках. В некоторых случаях карциноидов большие количества триптофана расходуются опухолевыми клетками на синтез 5-гидрокситриптофана и серотонина.
Эффект от введения никотиновой кислоты и ее производных наблюдается очень быстро. Уже через 24 ч исчезают выраженная краснота и отечность языка, уменьшается стеаторея. Быстро заживают поражения рта и других слизистых. В течение суток могут прекратиться тошнота, рвота и понос, исчезают неприятные ощущения в эпигастрии. боль в животе и вздутие живота. Улучшается аппетит. Иногда за одну ночь ослабляются психические симптомы. Спутанное сознание проясняется, больные успокаиваются, начинают воспринимать окружающее и осознают свое состояние. Никотиновая кислота и ее производные оказывают в этом отношении столь специфическое действие, что их можно использовать в качестве диагностических средств при явных психозах в отсутствие других признаков пеллагры. Рекомендуется использовать большие дозы никотиновой кислоты, особенно при сочетании психоза с энцефалопатией. Кожные поражения, особенно мокнущие, гиперпигментированные и изъязвленные, поддаются лечению медленнее. Исчезает характерная для пеллагры порфиринурия.
Пеллагра может сочетаться с авитаминозом В1 проявляющимся нейропатией. Авитаминоз B1 не поддается лечению никотиновой кислотой и ее производными; в таких случаях следует применять тиамин. Состояние многих больных пеллагрой улучшает также дополнительное назначение рибофлавина и пиридоксина.
Никотиновая кислота в граммовых дозах снижает концентрации холестерина и триглицеридов ЛПНП, фибриногена и липопротеида(а) в плазме. Поэтому ее применяют при гиперлипопротеидемиях (гл. 36).
Многообещающие результаты получены при применении никотинамида с целью профилактики инсулинозависимого сахарного диабета в группе риска (Elliott et al., 1996; Lampeter et al., 1998). В настоящее время проводится масштабное исследование этой проблемы.
