Спорт-вики — википедия научного бодибилдинга

Список файлов

Перейти к: навигация, поиск

Эта служебная страница показывает все загруженные файлы.

Список файлов
 
Первая страницаПредыдущая страницаСледующая страницаПоследняя страница
Дата Имя файла Миниатюра Размер Описание Версий
20:51, 2 мая 2017 Proteliot Ris 8.jpg (файл) 36 КБ Изменения максимального вращающего момента под влиянием физической нагрузки в контрольной группе (синяя линия) и в группе с системной эн… 1
20:50, 2 мая 2017 Proteliot Ris 7.jpg (файл) 41 КБ Изменения максимального вращающего момента и показателей болезненности мышц под влиянием физической нагрузки в контрольной группе 1
20:49, 2 мая 2017 Proteliot Ris 6.jpg (файл) 15 КБ Влияние ПФ и эндогенных ферментов организма на высвобождение ВСАА из концентрата whey-протеина 1
20:48, 2 мая 2017 Proteliot Ris 5.jpg (файл) 12 КБ Влияние ПФ и эндогенных ферментов организма на высвобождение лейцина из концентрата whey-протеина 1
20:48, 2 мая 2017 Proteliot Ris 4.jpg (файл) 12 КБ Влияние ПФ и эндогенных ферментов организма на высвобождение L-глутамина из концентрата whey-протеина 1
20:45, 2 мая 2017 Proteliot Ris 3.jpg (файл) 21 КБ Динамика изменения концентрации бромелаина в плазме крови (по оси ординат) мужчин-добровольцев после перорального приема вещества (n=15, б… 1
20:44, 2 мая 2017 Proteliot Ris 2.jpg (файл) 15 КБ Динамика концентрации меченого изотопом йода-125 бромелаина в сыворотке крови (черные ромбы) и лимфе (черные квадраты) крыс после интрадуо… 1
20:34, 2 мая 2017 Proteliot Ris 1.jpg (файл) 27 КБ Динамика концентрации протеолитических ферментов (ПФ) в сыворотке крови крыс (метод меченых изотопов йода-123) после их перорального введе… 1
20:20, 2 мая 2017 Keto Ris 9.jpg (файл) 29 КБ Величины пика изокинетической производительности мышц (ось ординат) в различные фазы выполнения тренировочного задания 1
20:19, 2 мая 2017 Keto Ris 8.jpg (файл) 24 КБ Величины пика изометрического крутящего момента (ось ординат) в различные фазы выполнения тренировочного задания 1
20:18, 2 мая 2017 Keto Ris 7.jpg (файл) 32 КБ Суммарное время способности выполнения тренировочного задания 1
20:18, 2 мая 2017 Keto Ris 6.jpg (файл) 12 КБ Схема РДСПК-исследования Y.Liu и соавторов 1
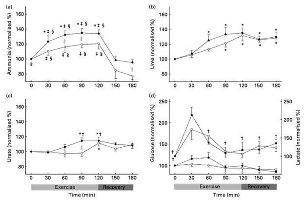
20:16, 2 мая 2017 Keto Ris 5.jpg (файл) 51 КБ Изменение концентрации аммиака (a), мочевины (b), уратов (с), глюкозы и лактата (d) 1
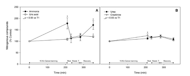
20:11, 2 мая 2017 Keto Ris 4.jpg (файл) 25 КБ Изменение концентрации нитрогенных веществ в плазме крови элитных каноистов 1
19:40, 2 мая 2017 Keto Ris 3.jpg (файл) 25 КБ Изменение концентрации ВСАА и ароматических АК в плазме крови элитных каноистов 1
19:40, 2 мая 2017 Keto Ris 2.jpg (файл) 15 КБ Дизайн исследования метаболического ответа у элитных каноистов на интенсивную тренировочную сессию в процессе подготовки к выступлени… 1
19:38, 2 мая 2017 Keto Ris 1.jpg (файл) 29 КБ Метаболизм незаменимых аминокислот с разветвленной цепью 1
19:17, 30 марта 2017 Jumbo-Pack2.jpg (файл) 9 КБ Jumbo Pack (Scitec Nutrition) 1
19:13, 30 марта 2017 Jumbo-Pack.jpg (файл) 16 КБ Jumbo Pack (Scitec Nutrition) 1
16:38, 30 марта 2017 EMGScan.jpg (файл) 72 КБ   1
13:35, 30 марта 2017 BCAA Ris 7.jpg (файл) 15 КБ Уровень максимального произвольного сокращения мышц-разгибателей коленного сустава (MVC) в % от исходных значений (принятых за 100%, ось орди… 1
13:34, 30 марта 2017 BCAA Ris 6.jpg (файл) 13 КБ Уровень креатин-киназы (ось ординат) в сыворотке крови спортсменов до (pre) и после приема ВСАА (ось абсцисс, часы). 1
13:34, 30 марта 2017 BCAA Ris 5.jpg (файл) 15 КБ Уровень болевых ощущений спортсменов по 200 мм визуальной аналоговой шкале (VAS, ось ординат) при разгибании в коленном суставе на 90° до (pre) и… 1
13:14, 30 марта 2017 BCAA Ris 4.jpg (файл) 24 КБ Метаболизм незаменимых аминокислот с разветвленной цепью (ВСАА: лейцин, изолейцин и валин) в митохондриях клеток скелетных мышц. 1
13:08, 30 марта 2017 BCAA Ris 3.jpg (файл) 25 КБ А. Динамика концентрации всех аминокислот (АА) в плазме (мкг/мл) в течение 2-х часов после приема внутрь 500 мл WPI, BLG, H-WPI и контрольной жидкост… 1
13:07, 30 марта 2017 BCAA Ris 2.jpg (файл) 22 КБ А. Динамика концентрации ВСАА в плазме (мкг/мл) в течение 2-х часов после приема внутрь 500 мл WPI, BLG, H-WPI и контрольной жидкости (CON). В. Площади п… 1
13:07, 30 марта 2017 BCAA Ris 1.jpg (файл) 25 КБ А. Динамика концентрации лейцина в плазме (мкг/мл) в течение 2-х часов после приема внутрь 500 мл WPI, BLG, H-WPI и контрольной жидкости (CON). В. Площа… 1
22:19, 3 марта 2017 ATF Ris 7.jpg (файл) 37 КБ Изменение возбудимости мышц при выполнении последовательных циклов упражнений в плацебо-группе (А) и в группе с пероральным приемом АТФ (… 1
22:19, 3 марта 2017 ATF Ris 6.jpg (файл) 15 КБ ∆-изменений уровней АТФ (А), AДФ (В) и АМФ (С) от исходных значений (до тестировочного спринта) на 15-й день приема пищевых добавок АТФ к 30-ой ми… 1
22:15, 3 марта 2017 ATF Ris 5.jpg (файл) 27 КБ Эргогенные свойства высокодозной (400 мг/день) нутритивно-метаболической поддержки с помощью перорального приема АТФ у человека при физич… 1
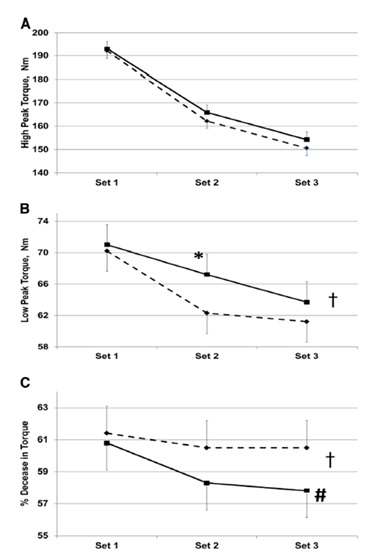
22:10, 3 марта 2017 ATF Ris 4.jpg (файл) 36 КБ А – высокий пик максимального крутящего момента; В – низкий пик максимального крутящего момента; С - % снижения максимального крутящего м… 1
22:09, 3 марта 2017 ATF Ris 3.jpg (файл) 63 КБ Динамика изменения концентрации мочевой кислоты (в % от исходных значений – ось ординат) в крови после однократного тестировочного введе… 1
22:07, 3 марта 2017 ATF Ris 2.jpg (файл) 38 КБ Динамика изменения концентрации мочевой кислоты у здоровых добровольцев после перорального приема однократной дозы АТФ 5 г или плацебо… 1
22:05, 3 марта 2017 ATF Ris 1.jpg (файл) 14 КБ Химическая структура АТФ и его метаболитов 1
07:56, 8 февраля 2017 Sportline.jpg (файл) 18 КБ sportline nutrition динамика популярности 1
04:35, 6 февраля 2017 Karnitin Ris 7.jpg (файл) 68 КБ Соотношение вне- (плазма крови) и внутриклеточных (скелетные мышцы) компонентов пула карнитина в покое (REST) и при физических нагрузках (EXERCI… 1
04:34, 6 февраля 2017 Karnitin Ris 6.jpg (файл) 42 КБ Фармакодинамика L-карнитина в организме. Из Л.А.Балыкова и соавт. (2011). 1
04:32, 6 февраля 2017 Karnitin Ris 5.jpg (файл) 37 КБ Динамика концентрации карнитина в плазме крови (мкмол/л, ось ординат, графики слева) и почечная экскреция карнитина (мкмол карнитин/мкмол… 1
04:30, 6 февраля 2017 Karnitin Ris 4.jpg (файл) 59 КБ Аккумулированные показатели экскреция с мочой L-карнитина (A), ацетил-карнитина (B), пропионил-карнитина (С) и скорость экскреции L-карнитин… 1
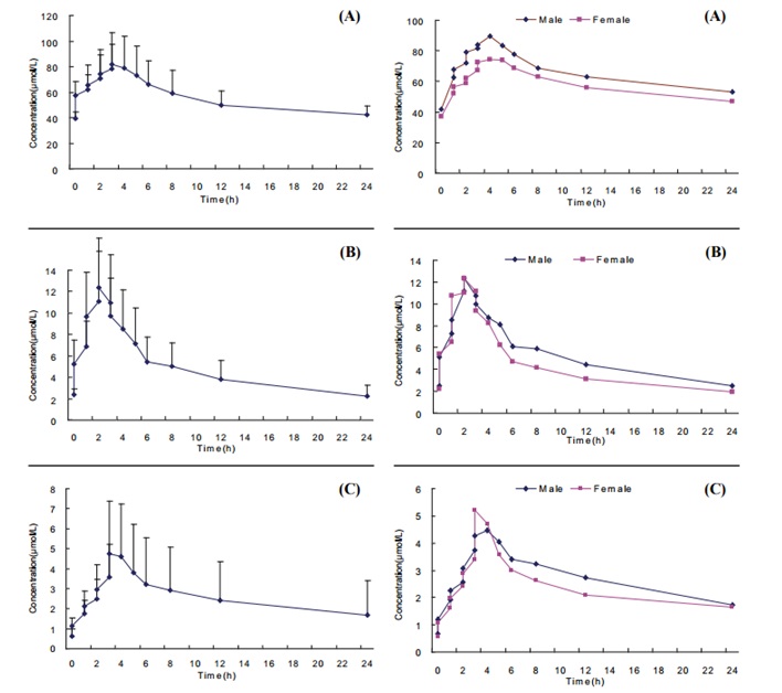
04:29, 6 февраля 2017 Karnitin Ris 2 i 3.jpg (файл) 79 КБ кривые средних концентраций L-карнитина (А), ацетил-L-карнитина (В) и пропионил-L-карнитина (С) после приема одиночной дозы 2 г L-карнитина 1
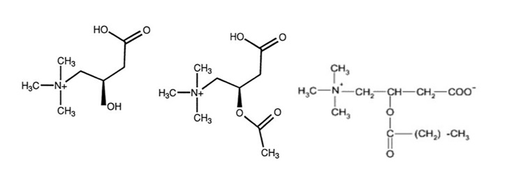
04:21, 6 февраля 2017 Karnitin Ris 1.jpg (файл) 20 КБ Химическая структура наиболее популярных пищевых добавок L-карнитина 1
18:01, 20 января 2017 Binasport.jpg (файл) 10 КБ Binasport 1
18:49, 15 января 2017 Legkaya atletika15.jpg (файл) 11 КБ Основные нарушения правил соревнований в толкании ядра 1
18:46, 15 января 2017 Legkaya atletika14.jpg (файл) 7 КБ Место приземления снаряда в секторе для метаний (изображен сектор для толкания ядра) 1
18:43, 15 января 2017 Legkaya atletika13.jpg (файл) 11 КБ Измерение результата в прыжках в длину и тройным в зависимости от точки приземления 1
18:41, 15 января 2017 Legkaya atletika12.jpg (файл) 11 КБ Положение эстафетной палочки в момент передачи 1
18:38, 15 января 2017 Legkaya atletika11.jpg (файл) 10 КБ Момент остановки секундомера при финишировании бегунов 1
16:16, 15 января 2017 Legkaya atletika31.jpg (файл) 32 КБ Упражнения, способствующие овладению техникой прыжка в длину 1
16:13, 15 января 2017 Legkaya atletika30.jpg (файл) 10 КБ Варианты приземления при прыжках в длину 1
16:12, 15 января 2017 Legkaya atletika29.jpg (файл) 24 КБ Техника прыжка в длину: А - способом «согнув ноги»; Б - способом «прогнувшись»; В - способом «ножницы» 1
Первая страницаПредыдущая страницаСледующая страницаПоследняя страница